Key Points
Preexisting autoimmune disease is associated with decreased risk of death in patients with MDS.
In low-risk MDS histologies, preexisting autoimmune disease is associated with increased risk of leukemia transformation.
Abstract
Preexisting autoimmune disease affects between 10% and 30% of patients with myelodysplastic syndromes (MDS). Studies comparing outcomes in patients with MDS with and without autoimmune disease show discordant results. Using the Surveillance, Epidemiology, and End Results Medicare database, we conducted a population analysis to define the impact of autoimmunity on MDS outcomes. Cases were ascertained between 2007 and 2017 and claim algorithms used to identify autoimmune disease, demographic characteristics, comorbidity scores, MDS histology, transfusion burden, treatment with hypomethylating agents, and hematopoietic stem cell transplantation. Cox regression models estimated the impact on survival, and competing-risk regression models defined the effect on leukemic transformation. We analyzed 15 277 patients with MDS, including 2442 (16%) with preexisting autoimmune disease. The epidemiologic profile was distinctive in cases with preexisting autoimmunity, who were younger, were predominantly female, and had higher transfusion burden without difference in MDS histologic distribution. Autoimmune disease was associated with 11% decreased risk of death (hazard ratio [HR], 0.89; 95% confidence interval [CI], 0.85-0.94; P < .001). The effect on risk of leukemic transformation differed based on MDS histology. In low-risk MDS histologies, autoimmunity was associated with a 1.9-fold increased risk of leukemia (HR, 1.87; 95% CI, 1.17-2.99; P = .008), whereas no significant effect was seen in other groups. These results suggest that autoimmune disease affects survival in MDS and is associated with decreased mortality. The survival effect was evident in low-risk histologies despite higher risk of progression to leukemia. This could represent inflammation-driven hematopoiesis, simultaneously favoring less aggressive phenotypes and clonal expansion, which warrants further investigation.
Introduction
Myelodysplastic syndromes (MDS) are a heterogeneous group of hematologic malignancies characterized by ineffective hematopoiesis and risk of evolution into acute myeloid leukemia (AML).1 MDS are driven by cytogenetic abnormalities and molecular mutations that alter gene expression and cell cycling in hematopoietic cells.2 Despite remarkable progress in understanding the disease biology resulting from these alterations, the clinical and prognostic implications of certain pathogenic pathway in MDS, such as immune dysregulation, remain unknown.
MDS has a complex interrelation with autoimmunity and immune disorders. Immune dysregulation is a pathogenic driver in MDS. Overly active immune responses within the hematopoietic niche cause activation of inflammatory pathways, promoting genetic alterations and triggering mutations in hematopoietic progenitors that result in malignant hematopoiesis.3,4 A newly defined entity connecting adult-onset inflammatory disorders, known as VEXAS (vacuoles, E1 enzyme, X-linked, autoinflammatory, somatic) syndrome, further highlights common pathogenic mechanisms between MDS and autoimmunity,5 with inflammation-induced genomic instability as the linking mechanism.6 In contrast, immunosuppressive therapies that inhibit these pathways and regulate immune-mediated inflammation can also induce genetic mutations and are associated with an increased risk of MDS.7 Additionally, shared environmental triggers may cause acquired genetic changes initiating both altered immunity and neoplasia.8,9
This diversity in the pathogenic pathways linking MDS and autoimmunity results in heterogeneous clinical presentations. Studies of people with immune dysregulation outside the hematopoietic niche manifesting as autoimmune diseases demonstrate that they have a higher risk of developing MDS.10 At the same time, population data show that treatment of autoimmune diseases with immunomodulating agents confers risk of therapy-related MDS.11 Furthermore, malignant myeloid clones can trigger inflammatory symptoms and a large proportion of patients with MDS have concurrent autoimmune manifestations, even in the absence of preexisting autoimmune disease.12 This divergency of clinical scenarios also complicates the study of the prognostic implications of autoimmunity in MDS.
An important gap in knowledge is understanding how preceding autoimmunity affects survival in patients with MDS. Few studies have assessed the prognostic impact of preexisting autoimmune disease and have found contradictory results. Two small, retrospective, single-center cohort studies reported an increased risk of death associated with preexisting autoimmunity.13,14 Another retrospective study showed no difference in survival attributable to autoimmune disease.9 Contrarily, a referral center case-control study and a single-center cohort analysis reported improved survival in patients with MDS with preexisting autoimmunity.15,16 The small sample sizes in these studies preclude definitive conclusions. We hypothesized that the true prognostic effect of autoimmunity on MDS can be ascertained with a larger sample study and we used a large population database to determine whether autoimmune disease was associated with adverse survival and leukemic transformation in MDS.
Methods
Data source and study design
We conducted a retrospective cohort analysis using the Surveillance, Epidemiology, and End Results (SEER) Medicare database. SEER is a cancer registry encompassing 28% of the US population from representative geographically diverse regions.17,18 Linkage to Medicare claims allows identification of demographic factors, clinical characteristics, comorbidity, and inpatient and outpatient treatments. The study was determined exempt by the institutional review board of the University of Vermont. This study was reviewed by the Larner College of Medicine’s institutional review board and determined to constitute research that does not involve human subjects under 45 CFR 46.102(f).
Study population
A flow diagram is presented in supplemental Figure 1. The cohort included patients with incident MDS diagnosis between January 2007 and December 2017. Patients were eligible if they had histologically confirmed MDS by International Classification of Diseases for Oncology, Third Edition (ICD-O-3) morphology codes,19 and were aged ≥66 years, ensuring at least 1 year of claims to assess baseline comorbidity. Patients who lacked continuous Medicare parts A and B coverage, who were enrolled in plans not captured by Medicare (health maintenance organizations), or who lacked follow-up time (diagnosis relying solely on death certificate or autopsy), were excluded.
Variables
We identified 31 systemic and organ-specific autoimmune diseases using previously validated ICD-9 and ICD-10 codes20 (supplemental Table 1). Patients with preexisting autoimmunity required an established diagnosis of autoimmune disease preceding the MDS diagnosis date, defined as documentation of ≥1 autoimmune diseases in ≥1 inpatient claims or ≥2 outpatient claims at least 30 days apart from at least 12 months before MDS diagnosis.21 Treatment with immunosuppressive agents predating MDS diagnosis was defined as any exposure to monoclonal antibodies, disease modifying antirheumatic drugs, or systemic corticosteroids in claims before MDS index date, ascertained from Healthcare Common Procedure Coding System (HSCPS) codes and/or prescription records, as previously published (supplemental Table 2).22
ICD-O-3 codes were used to classify MDS histologic risk as low, intermediate or high, based on predicted overall survival (OS) by morphology subtype, as previously published (supplemental Table 3).23 Transfusion dependence for red blood cells and/or platelets was defined as ≥2 transfusions occurring within an 8-week period from MDS diagnosis, using the HCPCS, current procedural terminology, revenue center, or ICD-9 and ICD-10 procedure codes (supplemental Table 4), using previously reported definitions.24 Treatment with hypomethylating agents (HMAs) was defined as at least 1 cycle of azacitidine or decitabine. Cycles were identified as claims reflecting between 3 and 10 days of HMA therapy within a 28-day period, using HCPCS codes and published methods.25,26 Consecutive cycles were counted until therapy was stopped or a gap of ≥90 days was identified between cycles. Hematopoietic stem cell transplantation (HSCT) was defined as HCPCS, ICD-9, or ICD-10 transplant codes at any point after MDS diagnosis.27
Outcomes
The primary outcome was OS, defined as the time from MDS diagnosis to death from any cause or end of follow-up. The secondary outcome was progression to AML, identified from ICD-9 or ICD-10 codes in ≥1 inpatient or ≥2 outpatient claims at any point after MDS diagnosis (supplemental Table 1).
Statistical analysis
Standard descriptive statistics were used to report factors of interest, by the presence or absence of autoimmune disease. Kaplan-Meier estimation using the Log-rank test was used for unadjusted survival analysis. Multivariable Cox proportional hazard regression was used to estimate the association between autoimmune disease and risk of mortality. Models were adjusted for variables associated with survival or having a preexisting autoimmune disease, including sociodemographic factors, comorbidity burden, MDS histologic risk, transfusion burden, as well as HSCT and treatment with HMAs as time-varying covariates. Cause-specific hazards competing-risk regression models determined the association between autoimmune disease and risk of transformation to AML, with death from any cause as a competing risk. Models were adjusted for factors influencing the risk of AML, including histologic subtype and transfusion burden, and HMA therapy treated as a time-varying covariate. Models accounting for any HMA treatment (at least 1 cycle) and sustained HMA treatment (≥4 cycles) yielded comparable conclusions. Results for sustained treatment are presented to better account for meaningful exposure to HMAs.
Results
We identified a total of 15 227 patients with MDS who met selection criteria. Preexisting autoimmune disease was present in 2442 (16%) patients. The prevalence of individual autoimmune diseases is presented in supplemental Table 5. Rheumatoid arthritis was the most prevalent autoimmune disease, present in 23.7% of patients with MDS and preexisting autoimmunity, and 3.8% of all patients with MDS. Autoimmune diseases with a prevalence of >1% among patients diagnosed with MDS included pernicious anemia (3.4%), polymyalgia rheumatica (1.7%), immune thrombocytopenia purpura (1.6%), and psoriasis (1.2%).
Patients with MDS and autoimmune disease were younger (median age 81 years; interquartile range [IQR], 77-86; compared with 82 years [IQR, 77-87] in those without autoimmune disease; P < .001) and were predominantly female (54.5% vs 44.6%, P < .001) and non-Hispanic White (88.6% vs 86.3%, P = .013). Distribution of MDS histologic subtypes was not different between patients with or without autoimmune disease, with similar histologic risk allocation between cohorts. Intermediate risk was predominant and accounted for 73% of cases in both groups. Systemic immunosuppressive treatment preceding MDS diagnosis was identified in 6.9% of patients and was not different between histologic risk categories: 6.1%, 7.2%, and 6.5% for low-, intermediate-, and high-risk groups, respectively (P = .126). Similarly, the proportion of patients who were treated with HMAs or received HSCT were similar between cohorts (Table 1). Transfusion-dependent status was more common among patients with preexisting autoimmune disease, both for red blood cells (26.2% vs 23.5%, P = .004) and platelets (6.5% vs 4.6%, P = .004).
Baseline characteristics of patients with MDS
| Characteristic . | No autoimmune disease . | Autoimmune disease . | P value . |
|---|---|---|---|
| 12 785 (84%) . | 2442 (16%) . | ||
| Age group, y, n (%) | <.001 | ||
| 65-70 | 237 (1.9%) | 51 (2.1%) | |
| 70-75 | 1382 (10.8%) | 306 (12.5%) | |
| 75-80 | 2963 (23.2%) | 627 (25.7%) | |
| >80 | 8203 (64.1%) | 1458 (59.7%) | |
| Female sex, n (%) | 5705 (44.6%) | 1331 (54.5%) | <.001 |
| Race/ethnicity∗, n (%) | .013 | ||
| Non-Hispanic White | 11 027 (86.3%) | 2164 (88.6%) | |
| Non-Hispanic Black | 679 (5.3%) | 113 (4.6%) | |
| Hispanic | 216 (1.7%) | 37 (1.5%) | |
| Other† | 863 (6.8%) | 128 (5.2%) | |
| Rural residence, n (%) | 1779 (14%) | 299 (12%) | .027 |
| CCI, n (%) | <.001 | ||
| 0-1 | 6375 (49.9%) | 785 (32.2%) | |
| 2-4 | 4700 (36.7%) | 1094 (44.8%) | |
| >4 | 1710 (13.4%) | 563 (23%) | |
| Morphology subtype, n (%) | .192 | ||
| Refractory anemia | 1008 (7.9%) | 233 (9.5%) | |
| Refractory anemia with ring sideroblasts | 877 (6.9%) | 128 (5.2%) | |
| Refractory cytopenia with multilineage dysplasia | 842 (6.6%) | 165 (6.8%) | |
| MDS with isolated deletion del(5q) | 417 (3.3%) | 101 (4.1%) | |
| MDS, unclassifiable | 8061 (63%) | 1512 (61.9%) | |
| Refractory anemia with excess blasts | 1566 (12.2%) | 299 (12.3%) | |
| Refractory anemia with excess blasts in transformation | 14 (0.1%) | 4 (0.2%) | |
| MDS histologic risk, n (%) | .99 | ||
| Low | 1885 (14.7%) | 361 (14.8%) | |
| Intermediate | 9320 (72.9%) | 1778 (72.8%) | |
| High | 1580 (12.4%) | 303 (12.4%) | |
| Transfusion dependence, n (%) | |||
| Any product | 3600 (28.2%) | 798 (32.7%) | <.001 |
| Red blood cells | 3008 (23.5%) | 640 (26.2%) | .004 |
| Platelets | 592 (4.6%) | 158 (6.5%) | .001 |
| HMA treatment (≥4 cycles) | |||
| Azacitidine | 1542 (12%) | 292 (12%) | .165 |
| Decitabine | 582 (4.5%) | 105 (4.3%) | .241 |
| Either agent | 2124 (16.5) | 397 (16.3%) | .178 |
| HSCT, n (%) | 29 (0.2%) | 2 (0.08%) | .145 |
| Characteristic . | No autoimmune disease . | Autoimmune disease . | P value . |
|---|---|---|---|
| 12 785 (84%) . | 2442 (16%) . | ||
| Age group, y, n (%) | <.001 | ||
| 65-70 | 237 (1.9%) | 51 (2.1%) | |
| 70-75 | 1382 (10.8%) | 306 (12.5%) | |
| 75-80 | 2963 (23.2%) | 627 (25.7%) | |
| >80 | 8203 (64.1%) | 1458 (59.7%) | |
| Female sex, n (%) | 5705 (44.6%) | 1331 (54.5%) | <.001 |
| Race/ethnicity∗, n (%) | .013 | ||
| Non-Hispanic White | 11 027 (86.3%) | 2164 (88.6%) | |
| Non-Hispanic Black | 679 (5.3%) | 113 (4.6%) | |
| Hispanic | 216 (1.7%) | 37 (1.5%) | |
| Other† | 863 (6.8%) | 128 (5.2%) | |
| Rural residence, n (%) | 1779 (14%) | 299 (12%) | .027 |
| CCI, n (%) | <.001 | ||
| 0-1 | 6375 (49.9%) | 785 (32.2%) | |
| 2-4 | 4700 (36.7%) | 1094 (44.8%) | |
| >4 | 1710 (13.4%) | 563 (23%) | |
| Morphology subtype, n (%) | .192 | ||
| Refractory anemia | 1008 (7.9%) | 233 (9.5%) | |
| Refractory anemia with ring sideroblasts | 877 (6.9%) | 128 (5.2%) | |
| Refractory cytopenia with multilineage dysplasia | 842 (6.6%) | 165 (6.8%) | |
| MDS with isolated deletion del(5q) | 417 (3.3%) | 101 (4.1%) | |
| MDS, unclassifiable | 8061 (63%) | 1512 (61.9%) | |
| Refractory anemia with excess blasts | 1566 (12.2%) | 299 (12.3%) | |
| Refractory anemia with excess blasts in transformation | 14 (0.1%) | 4 (0.2%) | |
| MDS histologic risk, n (%) | .99 | ||
| Low | 1885 (14.7%) | 361 (14.8%) | |
| Intermediate | 9320 (72.9%) | 1778 (72.8%) | |
| High | 1580 (12.4%) | 303 (12.4%) | |
| Transfusion dependence, n (%) | |||
| Any product | 3600 (28.2%) | 798 (32.7%) | <.001 |
| Red blood cells | 3008 (23.5%) | 640 (26.2%) | .004 |
| Platelets | 592 (4.6%) | 158 (6.5%) | .001 |
| HMA treatment (≥4 cycles) | |||
| Azacitidine | 1542 (12%) | 292 (12%) | .165 |
| Decitabine | 582 (4.5%) | 105 (4.3%) | .241 |
| Either agent | 2124 (16.5) | 397 (16.3%) | .178 |
| HSCT, n (%) | 29 (0.2%) | 2 (0.08%) | .145 |
Not documented in 11 patients.
Includes Asian/Native Hawaiian/Pacific Islander and American Indian/Alaska Native.
The median follow-up time for the entire cohort was 19 months (IQR, 5.7-44.3). Overall, 12 608 (82.8%) patients died and 1871 (12.3%) transformed to AML during follow-up. Unadjusted survival analysis showed no difference between patients with or without autoimmune disease, with median OS of 22 months in both cohorts (not shown). Given that the cohorts significantly differed with respect to important variables affecting OS, including age, sex, and comorbidity burden (Table 1), adjusted regression models were developed to identify the true association between autoimmune disease and survival.
Increasing age, male sex, higher CCI scores, rural residence, immunosuppressive therapy, higher MDS histologic risk, and transfusion dependence were factors associated with shorter survival, whereas non-Hispanic Black race/ethnicity and treatment with HMAs were associated with decreased mortality. In a model adjusting for these factors, preexisting autoimmune disease at MDS diagnosis was associated with an 11% decreased risk of death (hazard ratio [HR], 0.89; 95% confidence interval [CI], 0.85-0.94; P < .001). Cumulative survival functions stratified by presence or absence of autoimmune disease are shown in Figure 1. Details of the OS model are presented in Table 2. MDS histologic risk had the largest effect on OS: compared with low risk, intermediate and high risk were associated with 1.5-fold (95% CI, 1.42-1.59; P < .001) and 3.2-fold (95% CI, 3.02-3.49; P < .001) increased risk of death, respectively. Exposure to systemic immunosuppressive treatment before MDS diagnosis was associated with 10% increased risk of death (HR, 1.10; 95% CI, 1.02-1.18; P = .009). HMA treatment was the strongest protective factor associated with longer OS: 25% mortality hazard reduction (HR, 0.75; 95% CI, 0.70-0.81; P < .001).
Cumulative survival for patients with MDS with and without autoimmune disease.
Multivariable regression for OS in patients with MDS
| Characteristic . | HR . | 95% CI . | P value . |
|---|---|---|---|
| Autoimmune disease∗ | 0.89 | 0.85-0.94 | <.001 |
| Immunosuppressive treatment† | 1.10 | 1.02-1.18 | .009 |
| Age group, y | |||
| 65-70 | Reference | ||
| 70-75 | 1.27 | 1.09-1.47 | .001 |
| 75-80 | 1.51 | 1.31-1.73 | <.001 |
| >80 | 2.22 | 1.93-2.54 | <.001 |
| Female sex‡ | 0.87 | 0.84-0.90 | <.001 |
| Race/ethnicity | |||
| Non-Hispanic White | Reference | ||
| Non-Hispanic Black | 0.85 | 0.78-0.92 | <.001 |
| Hispanic | 0.98 | 0.85-1.13 | .980 |
| Other§ | 0.89 | 0.82-0.96 | .002 |
| Rural residence‖ | 1.07 | 1.02-1.13 | .008 |
| CCI | |||
| 0-1 | Reference | ||
| 2-4 | 1.28 | 1.23-1.33 | <.001 |
| >4 | 1.51 | 1.43-1.60 | <.001 |
| MDS histologic risk | |||
| Low | Reference | ||
| Intermediate | 1.50 | 1.43-1.59 | <.001 |
| High | 3.24 | 3.01-3.48 | <.001 |
| Transfusion dependence¶ | |||
| Red blood cells | 1.71 | 1.64-1.79 | <.001 |
| Platelets | 2.58 | 2.38-2.81 | <.001 |
| Therapies | |||
| HMA (≥4 cycles)# | 0.75 | 0.70-0.81 | <.001 |
| HSCT∗∗ | 0.74 | 0.49-1.09 | .131 |
| Characteristic . | HR . | 95% CI . | P value . |
|---|---|---|---|
| Autoimmune disease∗ | 0.89 | 0.85-0.94 | <.001 |
| Immunosuppressive treatment† | 1.10 | 1.02-1.18 | .009 |
| Age group, y | |||
| 65-70 | Reference | ||
| 70-75 | 1.27 | 1.09-1.47 | .001 |
| 75-80 | 1.51 | 1.31-1.73 | <.001 |
| >80 | 2.22 | 1.93-2.54 | <.001 |
| Female sex‡ | 0.87 | 0.84-0.90 | <.001 |
| Race/ethnicity | |||
| Non-Hispanic White | Reference | ||
| Non-Hispanic Black | 0.85 | 0.78-0.92 | <.001 |
| Hispanic | 0.98 | 0.85-1.13 | .980 |
| Other§ | 0.89 | 0.82-0.96 | .002 |
| Rural residence‖ | 1.07 | 1.02-1.13 | .008 |
| CCI | |||
| 0-1 | Reference | ||
| 2-4 | 1.28 | 1.23-1.33 | <.001 |
| >4 | 1.51 | 1.43-1.60 | <.001 |
| MDS histologic risk | |||
| Low | Reference | ||
| Intermediate | 1.50 | 1.43-1.59 | <.001 |
| High | 3.24 | 3.01-3.48 | <.001 |
| Transfusion dependence¶ | |||
| Red blood cells | 1.71 | 1.64-1.79 | <.001 |
| Platelets | 2.58 | 2.38-2.81 | <.001 |
| Therapies | |||
| HMA (≥4 cycles)# | 0.75 | 0.70-0.81 | <.001 |
| HSCT∗∗ | 0.74 | 0.49-1.09 | .131 |
Reference group comprises those with absence of autoimmune disease.
Reference group comprises those with absent exposure to immunosuppressive treatment before MDS diagnosis.
Reference group comprises those with male sex.
Includes Asian/Native Hawaiian/Pacific Islander and American Indian/Alaska Native.
Reference group comprises those with urban residence.
Reference group comprises those with absence of transfusion dependence.
Reference group comprises those with absence of sustained HMA treatment for at least 4 cycles.
Reference group comprises those with no HSCT at any point in follow-up.
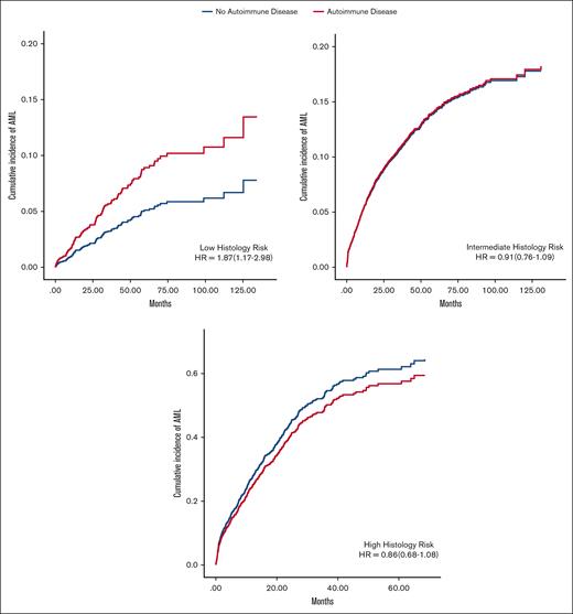
Older age and higher comorbidity burden were associated with decreased AML transformation because they were linked to lower survival time. Histologic risk, transfusion dependence, and HMA therapy were associated with progression to leukemia as a result of their link to higher-risk MDS disease. Exposure to systemic immunosuppressive treatment before MDS diagnosis had no significant effect of risk of AML. The model adjusting for these factors and accounting for competing risk of death from other causes is presented in Table 3. A significant interaction was identified between autoimmune disease and MDS histology such that the effect of preexisting autoimmune disease on the risk of developing AML differed depending on histologic risk category (P = .009). Autoimmune disease was associated with 1.9-fold increased risk of leukemia transformation in patients with low-risk histology (HR, 1.87; 95% CI, 1.17-2.99), whereas no significant effect was found in patients with intermediate- or high-risk histology (Table 4). Cumulative incidence of AML transformation in patients with MDS with and without autoimmune disease, stratified by histologic risk, is shown in Figure 2.
Competing-risk regression for transformation to AML in patients with MDS
| Characteristic . | HR . | 95% CI . | P value . |
|---|---|---|---|
| Autoimmune disease∗ | 1.04 | 0.90-1.19 | .631 |
| Immunosuppressive treatment† | 0.99 | 0.80-1.21 | .892 |
| Age group, y | |||
| 65-70 | Reference | ||
| 70-75 | 0.86 | 0.65-1.13 | .278 |
| 75-80 | 0.71 | 0.54-0.93 | .013 |
| >80 | 0.55 | 0.42-0.72 | <.001 |
| Female sex‡ | 0.83 | 0.75-0.922 | .001 |
| Race/ethnicity | |||
| Non-Hispanic White | Reference | ||
| Non-Hispanic Black | 0.81 | 0.62-1.06 | .116 |
| Hispanic | 1.03 | 0.65-1.62 | .901 |
| Other§ | 1.02 | 0.83-1.24 | .868 |
| Rural residence‖ | 0.85 | 0.73-1.01 | .06 |
| CCI | |||
| 0-1 | Reference | ||
| 2-4 | 0.92 | 0.82-1.03 | .125 |
| >4 | 0.67 | 0.56-0.81 | <.001 |
| MDS histologic risk | |||
| Low | Reference | ||
| Intermediate | 2.61 | 2.09-3.24 | <.001 |
| High | 9.49 | 7.52-11.98 | <.001 |
| Transfusion dependence¶ | |||
| Red blood cells | 1.71 | 1.51-1.93 | <.001 |
| Platelets | 4.46 | 3.81-5.21 | <.001 |
| HMA (≥4 cycles)# | 2.37 | 2.06-2.73 | <.001 |
| Characteristic . | HR . | 95% CI . | P value . |
|---|---|---|---|
| Autoimmune disease∗ | 1.04 | 0.90-1.19 | .631 |
| Immunosuppressive treatment† | 0.99 | 0.80-1.21 | .892 |
| Age group, y | |||
| 65-70 | Reference | ||
| 70-75 | 0.86 | 0.65-1.13 | .278 |
| 75-80 | 0.71 | 0.54-0.93 | .013 |
| >80 | 0.55 | 0.42-0.72 | <.001 |
| Female sex‡ | 0.83 | 0.75-0.922 | .001 |
| Race/ethnicity | |||
| Non-Hispanic White | Reference | ||
| Non-Hispanic Black | 0.81 | 0.62-1.06 | .116 |
| Hispanic | 1.03 | 0.65-1.62 | .901 |
| Other§ | 1.02 | 0.83-1.24 | .868 |
| Rural residence‖ | 0.85 | 0.73-1.01 | .06 |
| CCI | |||
| 0-1 | Reference | ||
| 2-4 | 0.92 | 0.82-1.03 | .125 |
| >4 | 0.67 | 0.56-0.81 | <.001 |
| MDS histologic risk | |||
| Low | Reference | ||
| Intermediate | 2.61 | 2.09-3.24 | <.001 |
| High | 9.49 | 7.52-11.98 | <.001 |
| Transfusion dependence¶ | |||
| Red blood cells | 1.71 | 1.51-1.93 | <.001 |
| Platelets | 4.46 | 3.81-5.21 | <.001 |
| HMA (≥4 cycles)# | 2.37 | 2.06-2.73 | <.001 |
Reference group comprises those with absence of autoimmune disease.
Reference group comprises those with absent exposure to immunosuppressive treatment before MDS diagnosis.
Reference group comprises those with male sex.
Includes Asian/Native Hawaiian/Pacific Islander and American Indian/Alaska Native.
Reference group comprises those with urban residence.
Reference group comprises those with absence of transfusion dependence.
Reference group comprises those with absence of sustained HMA treatment for at least 4 cycles.
Risk of transformation to AML associated with autoimmune disease
| MDS group . | HR∗ . | 95% CI† . | P interaction‡ . |
|---|---|---|---|
| Low histologic risk | 1.87 | 1.17-2.99 | |
| Intermediate histologic risk | 0.93 | 0.77-1.11 | .009 |
| High histologic risk | 1.11 | 0.87-1.41 |
| MDS group . | HR∗ . | 95% CI† . | P interaction‡ . |
|---|---|---|---|
| Low histologic risk | 1.87 | 1.17-2.99 | |
| Intermediate histologic risk | 0.93 | 0.77-1.11 | .009 |
| High histologic risk | 1.11 | 0.87-1.41 |
Results are adjusted for all factors included in the regression model for leukemic transformation (Table 3).
Results indicate the risk of AML transformation associated with preexisting autoimmune disease (reference group comprises those with absence of preexisting autoimmunity).
Value for the interaction term (interaction between presence or absence of autoimmune disease and histologic risk category).
The subset of 2246 patients with low histology risk, including 349 (15.5%) with autoimmune disease, were further analyzed. Distribution of age, sex, race/ethnicity, CCI score, prior exposure to immunosuppression, and transfusion dependence was similar to that seen in the entire cohort. In congruence with the model, the unadjusted rate of AML transformation was higher in patients with preexisting autoimmunity (8% vs 4.5%, P = .009). Rate of HMA treatment was similar between patients with and without preexisting autoimmune disease (9.5% vs 9.8%) and subgroup analysis of 219 patients at low risk treated with HMAs showed similar median OS for patients with and without autoimmune disease (49 vs 48 months). Accordingly, the findings in our mortality model are unlikely to be explained by risk mitigation from HMA treatment.
Discussion
Our study reveals a distinct epidemiologic profile of patients with preexisting MDS and autoimmune disease; they are younger, predominantly female, and White; and demonstrates that autoimmune disease significantly affects MDS outcomes. The presence of preexisting autoimmune disease was a positive prognostic factor, associated with an 11% decreased risk of mortality. The impact on the risk of secondary AML differed depending on histologic risk. In low-risk histologies, it was associated with a 1.9-fold increased risk of AML, whereas there was no effect in other subgroups.
Immune dysregulation has long been recognized to coexist with MDS.31,32 Systemic inflammation resulting from autoimmunity is a risk factor for MDS.6 Similarly, MDS is linked to excess inflammatory activity, which promotes autoimmunity.3 In agreement with prior reports,33 we demonstrate a high prevalence of autoimmune disease in patients with MDS, accounting for 16% of the SEER MDS population. The frequency and distribution of individual autoimmune diseases in our cohort was as expected based on the population’s age and existing reports on preexisting autoimmune disease in MDS.16,34 Defining the impact of autoimmune disease on MDS outcomes is important, given the sizable proportion of patients affected. Previous studies have shown discordant results; some suggest a favorable impact on survival,15,16 whereas others found an adverse effect13,14 or no effect.9 Our epidemiological analysis aimed at overcoming the small sample limitation in these studies and providing definitive conclusions.
Our results confirm the favorable impact of autoimmune disease on MDS survival reported in a retrospective cohort study and a case-control study, which included 391 and 89 patients with MDS and autoimmune disease, respectively.15,16 As in our cohort, these studies found no difference in MDS subtype or risk distribution that could result in survival differences. Our results further suggest that the effect of autoimmune disease on survival is independent of exposure to monoclonal antibodies, disease modifying antirheumatic drugs, or systemic corticosteroids, which previous reports did not account for but that can affect MDS outcomes.35 It is likely that baseline differences in MDS risk between groups masked the effect on survival in studies showing contradicting results. For example, patients with autoimmune disease were disparately categorized as being at intermediate or high risk in a study linking autoimmune disease with worse prognosis,13 and as having low or intermediate risk disease in a study reporting no effect on survival.9 It has also been speculated that autoimmune or inflammatory cytopenia alters the perception of MDS severity and results in differential treatment.35 Although we found that patients with autoimmune disease were more likely to be transfusion dependent, the effect on survival was notable in a model adjusting for transfusion burden. Furthermore, the effect was not explained by more frequent use of disease-modifying therapy. Use of HMAs was similar between groups and we explored models adjusting for any exposure to HMAs and sustained HMA treatment (≥4 cycles), which rendered similar results regarding the effect of autoimmunity on risk of death. This is consistent with the only existing study reporting HMA treatment in patients with and without autoimmune disease, which found no difference in HMA use between groups.16
Studies on the effect of autoimmune disease on leukemic transformation are scarce. In agreement with a recent report, we found no effect of autoimmunity or exposure to immunosuppressive treatment on the risk of AML in the entire cohort.9 However, a strong interaction was identified, demonstrating that the effect of autoimmune disease depended on the histologic risk category, with autoimmunity being associated with increased risk of AML in patients with lower risk histologies (refractory cytopenia and cytopenia with ringed sideroblasts). Because of small sample sizes, previous studies were not stratified by risk or histology9 or had few AML events,13 which could have obscured this effect. In addition, a small study, which showed the opposite association, included a disproportionally high number of patients at high risk, accounting for 26% of the cohort.16 Because MDS risk is the highest predictor of AML transformation, the impact of autoimmunity could have been masked in this analysis. Shared pathophysiology mechanisms between autoimmunity and myeloid malignancy support the notion of autoimmune disease as risk factor for leukemic transformation. Immune dysregulation and systemic inflammation could foster leukemic transformation by promoting clonal selection.36,37 Moreover, an inflammatory microenvironment in the bone marrow alters epigenetic signaling and enhances expansion of malignant hematopoietic stem cells.38 The differential effect of autoimmunity based on histologic risk could represent a time-dependent effect of these pathogenic pathways. Slow-moving processes of clonal selection and expansion from underlying inflammation may be clinically evident in lower-risk histologies with longer survival, whereas it is not obvious in higher-risk histologies with shorter follow-up.
We acknowledge several limitations of this study. First, there is the possibility of MDS or autoimmune disease misclassification, inherent to a retrospective analysis and use of administrative claim data. To account for this, our analysis focused on histologically confirmed cases in a time period after MDS became consistently reportable in SEER registries after 2001.39 Furthermore, we implemented a claim-based strategy to identify a selected group of autoimmune disorders with systemic impact and/or link to inflammation.20 Although this strategy could lead to an underestimation of the prevalence of autoimmune disease, it averts the concealment of an association that may occur by including broad conditions with limited link to systemic inflammation. Second, by studying autoimmunity that precedes MDS diagnosis, our study does not account for autoimmune phenomena resulting from MDS or development of clones linked to autoimmune bone marrow failure phenotype. Our results for preexisting autoimmune disease cannot be extrapolated to other clinical scenarios within the complex association between MDS and autoimmunity. Third, although we implemented a design that effectively identifies patients with autoimmunity established before MDS, we cannot fully determine the proportion of patients who has a prolonged exposure to immunosuppressive therapy or those for which this therapy contributed to MDS etiology, which could have been considered therapy-related MDS. However, our models were adjusted for exposure to immunosuppressive therapy within 1 year from MDS diagnosis. Fourth, the SEER Medicare database does not provide laboratory data, including cytogenetics or molecular mutations. These factors are known to be strongly correlated with MDS-related mortality. To minimize this limitation, our models identified and adjusted for transfusion dependence using validated claim-based approaches,40 as well as a previously reported histology-based MDS risk classification based on histology codes.23 Although we cannot exclude that survival differences are caused by differential mutational distribution between patients with and without autoimmune disease, this strategy has been successfully used in other epidemiologic MDS studies.41 Fifth, although we accounted for comorbidity burden in our models, unmeasured confounding cannot be excluded in a population-based analysis. Differential distribution of comorbidities such as obesity and smoking, which are not measured in the CCI but could have important consequences in mortality, cannot be ruled out.
Despite these limitations, our study has several strengths. The SEER Medicare database provides access to a diverse sample of patients representative of the US population and permits large-scale real-world data analysis.18 As such, it is an authoritative source for high quality survival analysis in patients with MDS. Our study, to our knowledge, represents the largest population analysis to date exploring the effects of autoimmune disease in MDS, and the external validity of our findings is higher than those reported from smaller studies. The strong effect on survival in a population >6 times the size of the largest cohort available to date settles previous discordant reports about the prognostic effect of preexisting autoimmune disease in MDS.16 In addition, we implemented detailed multivariable regression models to control for confounders and confirm our findings through various methods. Finally, our findings have important clinical implications, particularly emphasizing the need for additional research to understand the pathogenic pathways of inflammation and myeloid clonal evolution. Clonal dynamics of certain mutations, such as those in EZH2, ETV6, RUNX1, or ASXL genes, known to be associated with an increased risk of MDS progression and leukemic transformation,42,43 may be altered in the context of underlying autoimmunity and inflammatory bone marrow microenvironment.
In summary, using a large population based cohort, we found that preexisting autoimmune disease was associated with decreased risk of death in patients with MDS. The effect on risk of leukemia transformation differed by risk stratum. In patients with low histologic risk, autoimmune disease was associated with increased risk of AML but decreased risk of mortality, not explained by differences in comorbidity burden, transfusion dependence, or HMA therapy. These seemingly contradicting results merit further investigation and suggest that the mechanisms linking systemic inflammation and malignant hematopoiesis remain to be fully elucidated. Inflammation-driven clonal dynamics may promote clonal evolution and leukemogenesis whereas neoplastic clones driven by autoimmunity could have less aggressive phenotypes owing to a distinct mutational or cytogenetic risk profile. Future studies should examine molecular changes in depth among patients with autoimmune disease, as well as the potential influence of immunosuppressive or anti-inflammatory medications on MDS prognosis.
Acknowledgments
The authors appreciate the support and guidance of investigators from the Study Design and Molecular Epidemiology Core of the Vermont Center for Cardiovascular and Brain Health, funded by grant P20 GM135007 from the National Institute of General Medical Sciences of the National Institutes of Health.
D.A.-H. is funded by a 2022 Research Award Grant from the University of Vermont Health Network Medical Group and by a 2022 Mentored Research Award from the Hemostasis and Thrombosis Research Society, which was supported by an educational grant from Takeda.
Authorship
Contribution: D.A.-H. was responsible for study conception and design, methodology, formal analysis, data curation, original draft preparation, and funding acquisition; A.D.S. was responsible for software, validation, formal analysis, data curation, and reviewing and editing the manuscript; R.S. was responsible for data curation and original draft preparation; D.A.C., A.B., and S.G.-S were responsible for data curation; K.P. was responsible for data curation and software; A.S. and N.A.Z. were responsible for supervision and reviewing and editing the manuscript; and all authors reviewed and approved the final version of the manuscript.
Conflict-of-interest disclosure: The authors declare no competing financial interests.
Correspondence: Diego Adrianzen-Herrera, Larner College of Medicine at the University of Vermont, 89 Beaumont Ave, Given Bldg, Suite E-214, Burlington, VT 05405; e-mail: dadrianz@med.uvm.edu.
References
Author notes
∗D.A.-H., A.D.S., and R.S. contributed equally to this study.
Data are available on request from the corresponding author, Diego Adrianzen-Herrera (dadrianz@med.uvm.edu).
The full-text version of this article contains a data supplement.


