Abstract
Abstract 4103
The addition of IM to hyper-CVAD led to higher rates and longer duration of complete remissions in Ph+ ALL. The purpose of this study is to report single institution experience with IM-HCVAD followed by maintenance IM or allogeneic transplantation in newly diagnosed adult Ph+ ALL treated between 10/02 and 08/08.
IRB-approved retrospective analysis of the institutional hematological database.
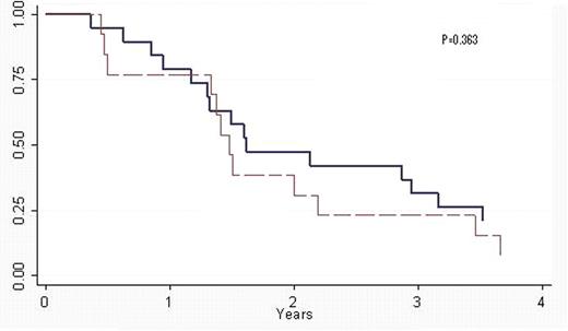
Thirty-three patients, median age 51 (22-72), with 8 (24%) older than 60, presented with a median WBC of 24,000/mm3 (range, 2-200) and LDH of 2.6 ULN (1.3-11). Four (12%) had extra-medullary/CSF leukemia. Patients received a median of 7 (range, 1-8) cycles of IM-HCVAD followed by maintenance IM +/- POMP as tolerated (Blood 2004;103:4396-4407). After 2 cycles, 1 patient had primary refractory disease and expired, and 32 (97%) achieved complete hematological and cytogenetic remission. Twenty-four of 32 (75%) subsequently achieved complete molecular remission (CMR). Among those who achieved CMR, 6/24 relapsed with preceding loss of CMR in 4. Four of 8 who did not achieve CMR relapsed. One patient in CR was lost to follow-up after induction. Thirteen (39%) were allografted in CR1 using TBI-based myeloablative (9) or non-myeloablative (4) conditioning and 18 received maintenance IM-based therapy. With a median follow-up of 18.3 months (range, 4.4-76), 10 patients (32%) relapsed (1 post-transplant and 9 during IM maintenance) and received salvage therapy leading to CR2 in 4, of which 1 was successfully allografted, and 3 remain in CR2 with a follow-up of 20, 36, and 60 months. Eleven patients died (6 from GVHD/infection, and 5 from relapsed refractory leukemia). For the 13 allograft recipients in CR1 disease-free (DFS) and overall survival (OS) were 15, and 18 months; and 15 months and 20 months for the 18 IM maintenance patients, respectively (Figure). WBC > 30,000/mm3 and residual disease detected by flow cytometry after 2 cycles were associated with decreased OS (p < 0.03). A trend for lower survival was noted among African American patients (p= 0.07).
The addition of IM to hyper-CVAD is associated with high rates of CR (97%) in newly diagnosed Ph+ ALL. In this relatively small cohort with a short follow-up, peripheral blood PCR did not predict outcomes. Ph+ALL patients are candidates for novel maintenance regimens.
Kaplan-Meier estimates of overall survival for patients transplanted in CR1 (solid line) and patients not transplanted in CR1 (dashed line)
Kaplan-Meier estimates of overall survival for patients transplanted in CR1 (solid line) and patients not transplanted in CR1 (dashed line)
Off Label Use: Imatinib combined with the hyper-CVAD chemotherapy. Khoury:Novartis Oncology: Honoraria.
Author notes
Asterisk with author names denotes non-ASH members.

This feature is available to Subscribers Only
Sign In or Create an Account Close Modal