Abstract
To promote bone marrow donation, both the safety and well-being of healthy unrelated volunteer donors must be protected. This prospective cohort study evaluated donors' health-related quality of life (HRQOL) and identified factors associated with it. Using the Medical Outcomes Study Short Form 36 Health Survey (SF-36) before bone marrow harvesting (BMH), and again 1 week and 3 months after the donors' discharge, we evaluated HRQOL of 565 donors (329 men, 236 women) registered with the Japan Marrow Donor Program (JMDP). We also examined the data routinely collected by the JMDP, such as BMH-related problems and other demographic and medical variables, to determine whether such data could be used to predict donors' HRQOL after discharge. Mean scores of all pre-BMH SF-36 subscales showed better functioning than the national norm. One week after discharge, mean scores on physical functioning (PF) and role-physical (RP) subscales, indicative of physical states, and bodily pain (BP) were approximately 1 SD lower than the national norm; however, mental health (MH) and general health perception (GH) remained above normal; the most frequent BMH-related problems were pain at the donation site and lower back pain, which were associated with lower PF, RP, and BP scores. Female gender and duration of procedure predicted lower PF, RP, and BP. Three months after discharge, mean scores of all SF-36 subscales had returned to baseline levels. These data show that the adverse effects of BMH on donors' HRQOL are transient and can be minimized by better management of pain.
Introduction
Allogenic bone marrow transplantation is now an established therapy for some hematologic disorders.1Although bone marrow harvesting (BMH) rarely results in death or serious adverse outcomes,2 most donors experience pain and fatigue after discharge; on average, more than 2 weeks are needed for complete recovery.3 Because bone marrow donors are selected from the healthy population, are active and productive members of society, and must soon return to normal life, it is important to hasten their recovery and alleviate whatever difficulties they encounter. It is equally important that potential donors receive accurate information about what to expect after BMH to ensure the continuation of donation programs relying on such donors' generosity.
The term health-related quality of life (HRQOL) refers to how a person feels and functions in everyday life and to the effects of ill health. The Medical Outcomes Study Short Form 36 (SF-36) is widely used to measure HRQOL.4 It consists of 8 multi-item scales that measure such dimensions of quality of life (QOL) as, for example, physical functioning, pain, social functioning, and mental health. In this study we evaluated post-BMH changes in donors' HRQOL using the SF-36. We also examined the data routinely collected by the Japan Marrow Donor Program (JMDP), such as BMH-related problems and other demographic and medical variables, to determine whether such data could be used to predict donors' HRQOL after discharge.
Patients and methods
Donors and BMH procedures in Japan
Donors chosen to undergo the BMH procedure met the following criteria: age from 20 to 50 years at the start of donor-recipient coordination; body weight at least 40 kg for women and at least 45 kg for men; body mass index less than 30; hemoglobin concentration at least 12 mg/dL for women and at least 13 mg/dL for men; systolic blood pressure 90 to 150 mm Hg; absence of medical treatment for any chronic conditions; absence of any history of malignant tumors, collagen diseases, myocardial infarction, angina pectoris, apoplexy, or malignant hyperthermia; and absence of any infectious diseases, especially viral hepatitis and syphilis. Donors were registered at 1 of 8 centers. Autologous blood was collected from most donors about 3 weeks before BMH, and marrow was harvested at one of the 107 JMDP-approved hospitals. The BMH procedure is described in detail elsewhere.5 In all cases, marrow was harvested from posterior iliac crests. The duration of anesthesia, the duration of the BMH procedure, and the amount of marrow harvested were defined as in Stroncek et al.3 Donors stayed in the hospital for at least 24 hours after the procedure. Discharge criteria were not defined strictly; donors were discharged after their doctors confirmed the absence of complications such as massive bleeding at the donation site or severe anemia. However, some of the donors stayed in the hospital for 1 or 2 more days, because of social reasons such as living far from the hospital or not having someone to assist them with daily physical activities after discharge. Hemoglobin concentration was measured at least 4 times: (1) before donation of autologous blood, (2) during pre-BMH hospitalization, (3) during post-BMH hospitalization, and (4) during a check-up about 10 days after discharge.
Although the JMDP has not set guidelines for post-BMH analgesia, donors received pain medication, usually a nonsteroidal anti-inflammatory drug, when they requested it during hospitalization.
Subjects and study design
The JMDP Planning and Administrative Committee approved this study, and approval was obtained from the institutional review board. All donors enrolled by the JMDP between April 1999 and March 2000, except those outside Japan, were eligible. Informed consent was provided according to the Declaration of Helsinki. After written informed consent for BMH was obtained, self-administered questionnaires were distributed. The questionnaires were distributed before BMH, 1 week after discharge, and 3 months after discharge.
Each donor received the first questionnaire from the donation coordinator, who at the same time delivered to the donor a letter of invitation to participate in the study. The letter assured the donor that private information would remain confidential and that the donor would suffer no disadvantage from refusing to participate. Donors were asked to return the questionnaire if they agreed to participate. The second and third questionnaires were mailed to the donors at their home address; the donors were asked to return them in the provided preaddressed envelopes. These follow-up questionnaires were sent to donors regardless of whether they had returned previous questionnaires.
The SF-36 health survey
The SF-36 was used to gather information on 8 dimensions of health4: physical functioning (PF), role-physical (RP), bodily pain (BP), general health perception (GH), vitality (VT), social functioning (SF), role-emotional (RE), and mental health (MH). The score on each scale ranges from 0 to 100, with lower scores indicating poorer health or greater disability. For example, the PF subscale asks how much the respondents' health limited their activities from vigorous activities such as strenuous sports to light (easy) activities such as bathing or dressing. The RP subscale asks how much the respondents were limited in performing their work or other regular daily activities due to health problems. The BP subscale asks how much bodily pain have the respondents had and how much the pain interfered with their normal work. The 2 versions of the SF-36 pose questions about the respondent's health status either during the past 4 weeks (standard version) or during the past week (acute version). The SF-36 had been previously translated into Japanese, adapted for use in Japan, and validated.6,7 Japanese general population norms are available for comparison with study samples.7
Donors answered the SF-36 questionnaire 3 times: before BMH (standard version), 1 week after discharge (acute version), and 3 months after discharge (standard version). Donors answered the second questionnaire 1 week after discharge, rather than 1 week after BMH, because the SF-36 addresses limitations in everyday life, not in inpatient life. Because the duration of post-BMH hospitalization differed among donors, the period covered by the second questionnaire also differed. The duration of post-BMH hospitalization was recorded and was analyzed as a potential explanatory variable.
BMH-related problems
When the donors filled out the SF-36 1 week after discharge, they also filled out a questionnaire on BMH-related problems covering the same period. These problems included pain at the donation site, lower back pain, difficulty sleeping, nausea or vomiting, light-headedness, fainting, bleeding at the donation site, infection at the donation site, and pain at the site of intravenous injection. All these problems had been noted in a previous study3 by donors 7 to 14 days after BMH, and the JMDP coordinators routinely ask about these problems during the postdischarge weekly follow-up telephone calls; we excluded fatigue and difficulty walking from this questionnaire because the SF-36 VT and PF scales included the same questions. Donors were asked how often they had experienced these problems during the first week after discharge. They were asked to quantify the frequency with which they experienced each problem from level 1 being “none of the time” to level 6 being “all of the time,” and they were asked to respond only with regard to problems resulting from BMH.
Demographic and medical measures
Demographic and medical data routinely collected by the JMDP were used as potential predictors of post-BMH HRQOL. They were age, gender, duration of BMH, volume of marrow harvested per unit weight, hemoglobin concentration during the post-BMH hospitalization, and duration of post-BMH hospitalization.
Statistical analysis
The data were analyzed with the JMP statistical package, version 4.0. Because some data from the follow-up surveys were missing, we used a mixed model with subject as random effect and time point as fixed effect. Changes in least-squares means (LS means) of the SF-36 scores were evaluated by the Tukey procedure. Each LS mean of the SF-36 scale score was expressed as the deviation from the Japanese national-norm score for the appropriate age-and-sex category.7 Differences between these deviation scores and zero were tested for significance with Student t test. PF, RP, and BP were selected for further analysis because the 1-week postdischarge data indicated that the greatest deviations from the national-norm scores were on these 3 scales.
Stepwise linear regression analyses were done for 3 reasons: (1) to study the associations of PF, RP, and BP scores with the frequency of each BMH-related problem during the first week after discharge, (2) to clarify whether frequency of BMH-related problems during the first week after discharge predict HRQOL at 3 months, and (3) to identify demographic and medical variables that could be used to predict donors' PF, RP, and BP scores during the first week after discharge. Because there were significant correlations among the potential explanatory variables, we used backward stepwise selection to decide which variables to retain in the model (forward selection may fail to identify significant independent variables when colinearity is present).8 Explanatory variables were retained in the model when α was less than or equal to 0.10. The variance inflation factor (VIF) was then computed. Colinearity was considered to be a problem if VIF was greater than 4.9
It is reasonable to expect that if marrow is difficult to harvest, then the donor will be subject to more bone puncture holes to attain the target marrow volume and will experience more pain. Although our study was not designed to evaluate that phenomenon, we divided the volume of marrow harvested by the duration of BMH, and used the quotient as an index of “difficulty of harvest”; we entered it as a potential explanatory variable before the stepwise elimination, in the models for the predictors of PF, RP, and BP scores during the first week after discharge.
Results of these analyses are reported according to the guidelines of Lang and Secic.10
Results
Donors and marrow collection
During the study period, 565 donors (329 men, 236 women, Table 1) were eligible. Their mean age was 34 (SD 8). The JMDP recommends general anesthesia; 561 donors (99%) received general anesthesia. Only 1 donor received regional anesthesia (data are missing for 3). During the BMH procedure, 91% of donors received at least 1 U autologous blood (data are missing for 6). The median volume of autologous blood transfused was 600 mL (range, 100-1200 mL). No donors received allogenic blood.
Demographic details of donors
| . | No. . | % . |
|---|---|---|
| Sex | ||
| Men | 329 | 58 |
| Women | 236 | 42 |
| Total | 565 | 100 |
| Age | ||
| 20 to 29 | 207 | 37 |
| 30 to 39 | 199 | 35 |
| 40 to 51 | 157 | 28 |
| Total | 563 | 100 |
| Data not available | 2 |
| . | No. . | % . |
|---|---|---|
| Sex | ||
| Men | 329 | 58 |
| Women | 236 | 42 |
| Total | 565 | 100 |
| Age | ||
| 20 to 29 | 207 | 37 |
| 30 to 39 | 199 | 35 |
| 40 to 51 | 157 | 28 |
| Total | 563 | 100 |
| Data not available | 2 |
The mean duration of anesthesia was 127 minutes (SD 37), and the mean duration of BMH was 77 minutes (SD 28). The mean volume of marrow harvested was 805 mL (SD 237) and the mean marrow volume harvested per unit of donor's weight was 13.2 mL/kg (SD 3.8; Table2). The duration of anesthesia positively correlated with the duration of BMH (r = 0.70;P < .001). The duration of BMH correlated positively with the volume of marrow harvested (r = 0.43; P < .001) and with the volume of marrow harvested per unit weight (r = 0.36;P < .001). The median duration of hospitalization after BMH was 48 hours (range, 24 hours to 13 days); 84% of donors (467 of 558) were discharged within 48 hours, and 98% of donors (548 of 558) were discharged within 72 hours after BMH (data are missing for 7). For 6 of the 10 donors who stayed longer than 72 hours, the specific reason for their longer stay is known: prolonged bleeding at the donation site (1 donor), prolonged nausea and vomiting (1 donor), prolonged headache (1 donor), prolonged pain at the donation site (2 donors), and post-BMH development of acute pyelonephritis (1 donor).
Duration of anesthesia, duration of BMH, volume of marrow harvested, and volume of marrow harvested per unit of donor's weight
| . | No. . | % . |
|---|---|---|
| Duration of anesthesia (min) | ||
| Shorter than 120 | 222 | 40 |
| 120 to 180 | 282 | 51 |
| More than 180 | 47 | 9 |
| Total | 551 | 100 |
| Data not available | 14 | |
| Mean (SD) | 127 (37) | |
| Median (25%-75% range) | 120 (100-150) | |
| Duration of BMH (min) | ||
| Shorter than 60 | 132 | 24 |
| 60 to 90 | 239 | 43 |
| Longer than 90 | 187 | 34 |
| Total | 558 | 100 |
| Data not available | 7 | |
| Mean (SD) | 77 (28) | |
| Median (25%-75% range) | 72 (60-91) | |
| Marrow volume harvested (mL) | ||
| Less than 500 | 58 | 10 |
| 500 to 749 | 132 | 24 |
| 750 to 999 | 248 | 44 |
| 1000 to 1249 | 111 | 20 |
| Greater than 1250 | 12 | 2 |
| Total | 561 | 100 |
| Data not available | 4 | |
| Mean (SD) | 805 (237) | |
| Median (25%-75% range) | 820 (671-975) | |
| Marrow volume harvested per unit of donor's weight (mL/kg) | ||
| Less than 10 | 109 | 19 |
| 10 to 12.4 | 117 | 21 |
| 12.5 to 14.9 | 139 | 25 |
| 15.0 to 17.4 | 131 | 23 |
| 17.5 to 19.9 | 53 | 9 |
| Greater than 20 | 12 | 2 |
| Total | 561 | 100 |
| Data not available | 4 | |
| Mean (SD) | 13.2 (3.8) | |
| Median (25%-75% range) | 13.4 (10.9-15.9) | |
| . | No. . | % . |
|---|---|---|
| Duration of anesthesia (min) | ||
| Shorter than 120 | 222 | 40 |
| 120 to 180 | 282 | 51 |
| More than 180 | 47 | 9 |
| Total | 551 | 100 |
| Data not available | 14 | |
| Mean (SD) | 127 (37) | |
| Median (25%-75% range) | 120 (100-150) | |
| Duration of BMH (min) | ||
| Shorter than 60 | 132 | 24 |
| 60 to 90 | 239 | 43 |
| Longer than 90 | 187 | 34 |
| Total | 558 | 100 |
| Data not available | 7 | |
| Mean (SD) | 77 (28) | |
| Median (25%-75% range) | 72 (60-91) | |
| Marrow volume harvested (mL) | ||
| Less than 500 | 58 | 10 |
| 500 to 749 | 132 | 24 |
| 750 to 999 | 248 | 44 |
| 1000 to 1249 | 111 | 20 |
| Greater than 1250 | 12 | 2 |
| Total | 561 | 100 |
| Data not available | 4 | |
| Mean (SD) | 805 (237) | |
| Median (25%-75% range) | 820 (671-975) | |
| Marrow volume harvested per unit of donor's weight (mL/kg) | ||
| Less than 10 | 109 | 19 |
| 10 to 12.4 | 117 | 21 |
| 12.5 to 14.9 | 139 | 25 |
| 15.0 to 17.4 | 131 | 23 |
| 17.5 to 19.9 | 53 | 9 |
| Greater than 20 | 12 | 2 |
| Total | 561 | 100 |
| Data not available | 4 | |
| Mean (SD) | 13.2 (3.8) | |
| Median (25%-75% range) | 13.4 (10.9-15.9) | |
Hemoglobin concentration was significantly lower after donation of autologous blood than before, and it was even lower after BMH (men, 15.0 ± 0.9 mg/dL to 13.9 ± 1.0 mg/dL to 12.5 ± 1.0 mg/dL; women, 13.1 ± 0.9 mg/dL to 12.1 ± 1.0 mg/dL to 10.8 ± 0.9 mg/dL; P < .001, ANOVA with the Dunnett posthoc procedure). Hemoglobin concentration during the post-BMH hospitalization correlated negatively with the marrow volume harvested per unit weight (men, −0.25, P < .001; women, −0.27,P < .001) and with the duration of BMH (men, −0.23,P < .001; women, −0.23, P < .001). By the time of the postdonation health check-up, hemoglobin concentration had recovered to the pre-BMH level (men, 14.0 ± 1.1 mg/dL; women, 12.1 ± 1.0 mg/dL), but not to its level before donation of autologous blood (P < .001, ANOVA with the Dunnett posthoc procedure).
The response rates for the questionnaires before BMH, 1 week after discharge, and 3 months after discharge were 88% (499 of 565), 80% (454 of 565), and 75% (424 of 565), respectively. About two thirds (65%, 367 of 565) returned all 3 questionnaires. There were no significant differences in age, sex, duration of BMH, or volume of marrow harvested between those who returned all 3 questionnaires and those who returned fewer than 3 questionnaires, nor between respondents and nonrespondents at each time point (Table3). There were no significant differences between respondents and nonrespondents at the1-week assessment in their baseline (pre-BMH) SF-36 scores (data not shown).
Age, sex, duration of BMH, and volume of marrow harvested per unit weight in respondents and nonrespondents
| Measurement . | Age3-150 . | Sex (% male) . | Duration of BMH (min)3-150 . | Marrow harvested per unit of donor's weight (mL/kg)3-150 . | Mean SF-36 deviation scores3-151 . | ||
|---|---|---|---|---|---|---|---|
| PF . | RP . | BP . | |||||
| Pre-BMH | |||||||
| Respondents3-152(n = 499) | 33.8 (8.0) | 59 | 76 (29) | 13.1 (3.9) | 0.47 | 0.37 | 0.67 |
| Nonrespondents3-153 (n = 66) | 33.6 (9.2) | 55 | 82 (26) | 13.8 (3.5) | |||
| P | .79 | .52 | .15 | .13 | |||
| 1 wk after discharge | |||||||
| Respondents3-152 (n = 448) | 33.8 (8.0) | 66 | 77 (29) | 13.0 (3.8) | − 1.25 | − 1.40 | − 0.78 |
| Nonrespondents3-153 (n = 117) | 33.8 (8.8) | 56 | 78 (28) | 13.7 (3.8) | |||
| P | .96 | .06 | .70 | .12 | |||
| 3 mo after discharge | |||||||
| Respondents3-152 (n = 423) | 34.0 (8.1) | 62 | 77 (29) | 13.1 (3.8) | 0.50 | 0.40 | 0.74 |
| Nonrespondents3-153 (n = 142) | 33.3 (8.4) | 57 | 78 (28) | 13.4 (3.8) | |||
| P | .44 | .30 | .73 | .47 | |||
| All 3 questionnaires | |||||||
| Respondents3-155(n = 367) | 34.0 (8.0) | 56 | 76 (29) | 13.0 (3.8) | |||
| Nonrespondents3-154 (n = 198) | 33.5 (8.3) | 63 | 78 (28) | 13.5 (3.9) | |||
| P | .52 | .08 | .46 | .09 | |||
| Measurement . | Age3-150 . | Sex (% male) . | Duration of BMH (min)3-150 . | Marrow harvested per unit of donor's weight (mL/kg)3-150 . | Mean SF-36 deviation scores3-151 . | ||
|---|---|---|---|---|---|---|---|
| PF . | RP . | BP . | |||||
| Pre-BMH | |||||||
| Respondents3-152(n = 499) | 33.8 (8.0) | 59 | 76 (29) | 13.1 (3.9) | 0.47 | 0.37 | 0.67 |
| Nonrespondents3-153 (n = 66) | 33.6 (9.2) | 55 | 82 (26) | 13.8 (3.5) | |||
| P | .79 | .52 | .15 | .13 | |||
| 1 wk after discharge | |||||||
| Respondents3-152 (n = 448) | 33.8 (8.0) | 66 | 77 (29) | 13.0 (3.8) | − 1.25 | − 1.40 | − 0.78 |
| Nonrespondents3-153 (n = 117) | 33.8 (8.8) | 56 | 78 (28) | 13.7 (3.8) | |||
| P | .96 | .06 | .70 | .12 | |||
| 3 mo after discharge | |||||||
| Respondents3-152 (n = 423) | 34.0 (8.1) | 62 | 77 (29) | 13.1 (3.8) | 0.50 | 0.40 | 0.74 |
| Nonrespondents3-153 (n = 142) | 33.3 (8.4) | 57 | 78 (28) | 13.4 (3.8) | |||
| P | .44 | .30 | .73 | .47 | |||
| All 3 questionnaires | |||||||
| Respondents3-155(n = 367) | 34.0 (8.0) | 56 | 76 (29) | 13.0 (3.8) | |||
| Nonrespondents3-154 (n = 198) | 33.5 (8.3) | 63 | 78 (28) | 13.5 (3.9) | |||
| P | .52 | .08 | .46 | .09 | |||
Mean (SD).
“Deviation” means deviation from the national norm value for the donor's age and sex.
Donors who returned the questionnaire.
Donors who did not return the questionnaire.
Donors who returned all 3 questionnaires.
Donors who returned fewer than 3 of the questionnaires.
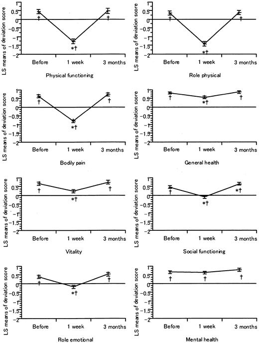
Figure 1 shows LS means of the SF-36 deviation scores at different time points. Before BMH, mean scores on all subscales were significantly higher than the Japanese national norms. One week after discharge, all mean scores except MH were significantly lower than the pre-BMH value; PF, RP, and BP were approximately 1 SD lower than the national norm (P < .001). GH and MH remained more than 0.5 SD higher than the national norm (P < .001), although GH was significantly lower than its pre-BMH value. By 3 months after discharge, all mean scores had returned to their pre-BMH levels. These LS means were very similar to the sample means (data for PF, RP, and BP are shown in Table 3).
Changes in LS means of the SF-36 deviation scores.
The estimated LS means and 95% confidence limits are shown for the deviation scores on all 8 SF-36 scales, for different time points (before BMH, and 1 week and 3 months after discharge). The reference line “zero” indicates the Japanese national norm. Before BMH, all LS means were significantly higher than the Japanese national norms. One week after discharge, LS means of PF, RP, and BP were approximately 1 SD lower than the national norm (P < .001). However, LS means of GH and MH remained more than 0.5 SD higher than the national norm (P < .001). By 3 months after discharge, all LS means had returned to their pre-BMH levels. The number of donors who did not return to pre-BMH levels at 3 months was 36 for PF, 38 for RP, and 82 for BP. *P < .001 (compared with pre-BMH value; Tukey procedure). †P < .001 (compared with the Japanese national norm; Student's t test).
Changes in LS means of the SF-36 deviation scores.
The estimated LS means and 95% confidence limits are shown for the deviation scores on all 8 SF-36 scales, for different time points (before BMH, and 1 week and 3 months after discharge). The reference line “zero” indicates the Japanese national norm. Before BMH, all LS means were significantly higher than the Japanese national norms. One week after discharge, LS means of PF, RP, and BP were approximately 1 SD lower than the national norm (P < .001). However, LS means of GH and MH remained more than 0.5 SD higher than the national norm (P < .001). By 3 months after discharge, all LS means had returned to their pre-BMH levels. The number of donors who did not return to pre-BMH levels at 3 months was 36 for PF, 38 for RP, and 82 for BP. *P < .001 (compared with pre-BMH value; Tukey procedure). †P < .001 (compared with the Japanese national norm; Student's t test).
Table 4 shows the frequency of BMH-related problems during the first week after discharge. Pain at the donation site and lower back pain were the most frequently encountered problems.
Number of donors who reported BMH-related problems during the first week after discharge
| . | All/most of the time . | Some of the time/occasionally . | A little/none of the time . | Missing . |
|---|---|---|---|---|
| Pain at donation site | 112 | 194 | 146 | 113 |
| Lower back pain | 106 | 163 | 183 | 113 |
| Difficulty sleeping | 14 | 51 | 388 | 112 |
| Pain at injection site | 10 | 42 | 393 | 111 |
| Bleeding | 6 | 29 | 418 | 112 |
| Light-headedness | 4 | 42 | 406 | 113 |
| Infection | 3 | 10 | 439 | 113 |
| Nausea or vomiting | 1 | 8 | 444 | 112 |
| Fainting | 0 | 0 | 452 | 113 |
| . | All/most of the time . | Some of the time/occasionally . | A little/none of the time . | Missing . |
|---|---|---|---|---|
| Pain at donation site | 112 | 194 | 146 | 113 |
| Lower back pain | 106 | 163 | 183 | 113 |
| Difficulty sleeping | 14 | 51 | 388 | 112 |
| Pain at injection site | 10 | 42 | 393 | 111 |
| Bleeding | 6 | 29 | 418 | 112 |
| Light-headedness | 4 | 42 | 406 | 113 |
| Infection | 3 | 10 | 439 | 113 |
| Nausea or vomiting | 1 | 8 | 444 | 112 |
| Fainting | 0 | 0 | 452 | 113 |
Table 5 shows the association between frequency of each BMH-related problem and SF-36 RP score 1 week after discharge. Higher frequency of pain at the donation site, lower back pain, difficulty sleeping, light-headedness, nausea or vomiting, and bleeding at the donation site were significantly associated with lower RP, and explained 45% of its total variance. Similar results were obtained from analyses with PF and BP as outcome variables (data not shown).
Associations between BMH-related problems at 1 week and SF-36 RP score at 1 week
| Explanatory variable5-150 . | Coefficient (β) . | SE . | 95% CI . | t ratio . | P . | VIF . |
|---|---|---|---|---|---|---|
| Intercept | 124.10 | 3.37 | ||||
| Pain at donation site | − 2.29 | 0.97 | − 4.19 to − 0.39 | − 2.37 | .018 | 2.03 |
| Lower back pain | − 5.92 | 0.91 | − 7.71 to − 4.13 | − 6.50 | < .001 | 2.14 |
| Difficulty sleeping | − 5.41 | 1.14 | − 7.65 to − 3.17 | − 4.74 | < .001 | 1.30 |
| Light-headedness | − 3.71 | 1.28 | − 6.23 to − 1.19 | − 2.89 | .0040 | 1.23 |
| Nausea or vomiting | − 6.04 | 2.30 | − 10.56 to − 1.52 | − 2.63 | .0089 | 1.10 |
| Bleeding at donation site | − 4.48 | 1.32 | − 7.07 to − 1.88 | − 3.39 | < .001 | 1.14 |
| Explanatory variable5-150 . | Coefficient (β) . | SE . | 95% CI . | t ratio . | P . | VIF . |
|---|---|---|---|---|---|---|
| Intercept | 124.10 | 3.37 | ||||
| Pain at donation site | − 2.29 | 0.97 | − 4.19 to − 0.39 | − 2.37 | .018 | 2.03 |
| Lower back pain | − 5.92 | 0.91 | − 7.71 to − 4.13 | − 6.50 | < .001 | 2.14 |
| Difficulty sleeping | − 5.41 | 1.14 | − 7.65 to − 3.17 | − 4.74 | < .001 | 1.30 |
| Light-headedness | − 3.71 | 1.28 | − 6.23 to − 1.19 | − 2.89 | .0040 | 1.23 |
| Nausea or vomiting | − 6.04 | 2.30 | − 10.56 to − 1.52 | − 2.63 | .0089 | 1.10 |
| Bleeding at donation site | − 4.48 | 1.32 | − 7.07 to − 1.88 | − 3.39 | < .001 | 1.14 |
Adjusted R2 = 0.46.
VIF indicates variance inflation factor.
Potential explanatory variables included pain at the donation site, lower back pain, difficulty sleeping, nausea or vomiting, light-headedness, fainting, bleeding at the donation site, infection at the donation site, and pain at the site of intravenous injection.
Backward stepwise variable selection was used to decide which variables to retain in the model. Explanatory variables were retained in the model when α was less than or equal to 0.10.
Table 6 shows BMH-related problems at 1 week that predict RP at 3 months. Higher frequency of difficulty sleeping, nausea or vomiting, and light-headedness at 1 week were associated with lower RP at 3 months. Similar results were obtained for PF and BP (data not shown). Pain at the donation site and lower back pain, the most frequently encountered problems at 1 week, were not associated with PF, RP, and BP at 3 months.
Associations between BMH-related problems at 1 week and SF-36 RP score at 3 months
| Explanatory variable6-150 . | Coefficient (β) . | SE . | 95% CI . | t ratio . | P . | VIF . |
|---|---|---|---|---|---|---|
| Intercept | 110.35 | 1.70 | ||||
| Difficulty sleeping | − 1.50 | 0.46 | − 2.40 to − 0.58 | − 3.22 | .001 | 1.17 |
| Light-headedness | − 1.95 | 0.57 | − 3.10 to − 0.82 | − 3.40 | < .001 | 1.15 |
| Nausea or vomiting | − 5.94 | 1.31 | − 8.52 to − 3.36 | − 4.53 | < .001 | 1.11 |
| Explanatory variable6-150 . | Coefficient (β) . | SE . | 95% CI . | t ratio . | P . | VIF . |
|---|---|---|---|---|---|---|
| Intercept | 110.35 | 1.70 | ||||
| Difficulty sleeping | − 1.50 | 0.46 | − 2.40 to − 0.58 | − 3.22 | .001 | 1.17 |
| Light-headedness | − 1.95 | 0.57 | − 3.10 to − 0.82 | − 3.40 | < .001 | 1.15 |
| Nausea or vomiting | − 5.94 | 1.31 | − 8.52 to − 3.36 | − 4.53 | < .001 | 1.11 |
Adjusted R2 = 0.17.
Potential explanatory variables included pain at the donation site, lower back pain, difficulty sleeping, nausea or vomiting, light-headedness, fainting, bleeding at the donation site, infection at the donation site, and pain at the site of intravenous injection.
Backward stepwise variable selection was used to decide which variables to retain in the model. Explanatory variables were retained in the model when α was less than or equal to 0.10.
Table 7 shows the demographic and medical variables that could be used to predict RP score 1 week after discharge. After adjustment for the pre-BMH RP scores, which predict RP at 1 week, female gender and longer duration of BMH were found to be associated with lower RP at 1 week. The “difficulty of harvest” (the quotient of the volume of marrow harvested divided by the duration of BMH) was not associated with RP at 1 week. Neither the volume of marrow harvested nor the hemoglobin concentration was associated with RP at 1 week. Similar results were obtained with PF and BP (data not shown).
Predictors of SF-36 RP score at 1 week
| Explanatory variable7-150 . | Coefficient (β) . | SE . | 95% CI . | t ratio . | P . | VIF . |
|---|---|---|---|---|---|---|
| Intercept | 42.03 | 13.56 | ||||
| Female sex | − 6.77 | 1.32 | − 9.38 to − 4.16 | − 5.10 | < .001 | 1.02 |
| Duration of BMH (min) | − 0.26 | 0.05 | − 0.35 to − 0.17 | − 5.73 | < .001 | 1.02 |
| Pre-BMH RP score | 0.51 | 0.13 | 0.24 to 0.77 | 3.77 | < .001 | 1.00 |
| Explanatory variable7-150 . | Coefficient (β) . | SE . | 95% CI . | t ratio . | P . | VIF . |
|---|---|---|---|---|---|---|
| Intercept | 42.03 | 13.56 | ||||
| Female sex | − 6.77 | 1.32 | − 9.38 to − 4.16 | − 5.10 | < .001 | 1.02 |
| Duration of BMH (min) | − 0.26 | 0.05 | − 0.35 to − 0.17 | − 5.73 | < .001 | 1.02 |
| Pre-BMH RP score | 0.51 | 0.13 | 0.24 to 0.77 | 3.77 | < .001 | 1.00 |
Adjusted R2 = 0.13.
Potential explanatory variables included baseline (pre-BMH) RP score, age, sex, duration of BMH, volume of marrow harvested per unit weight, hemoglobin concentration during the post-BMH hospitalization, and duration of post-BMH hospitalization (≤ 48 hours versus > 48 hours). The volume of marrow harvested/duration of BMH was also entered as an index of “difficulty of harvest.”
Backward stepwise variable selection was used to decide which variables to retain in the model. Explanatory variables were retained in the model when α was less than or equal to 0.10.
Discussion
Although the effects of bone marrow donation on recipients, including the effects on recipients' QOL,11 12 have been evaluated extensively, much less attention has been paid to the effects on donors, because donors are healthy and BMH is a relatively simple procedure that rarely results in serious complications. Nonetheless, the effects of BMH on donors still deserve attention for both ethical and practical reasons.
Whereas surgical procedures involve both benefits and risks for the vast majority of surgical patients, bone marrow donors receive none of the normal benefits, which include regained health. They are, on the other hand, exposed to the risks, which include anxiety, pain, absence from work, and potential complications. Surgery patients usually decide to undergo surgery because they expect the benefits to outweigh the risks. In the case of bone marrow donors, however, the physical benefits of the BMH procedure go entirely to the marrow recipient. Donors enjoy only such intangible benefits as satisfaction from their altruism.
Given that bone marrow transplantation programs depend entirely on the goodwill of donors, it is vital to evaluate and to enhance donors' well-being after the donation, both to protect donors from the risks of BMH and to facilitate the recruitment of more donors. Using the SF-36, we described donors' recovery status and identified problems that must be better dealt with to protect donors' well-being.
The high response rate and the absence of significant differences in demographic and medical variables between respondents and nonrespondents at each time point indicate that the results can be generalized to all bone marrow donors in Japan, and presumably also to donors elsewhere. The absence of significant differences in demographic and medical variables between donors who returned all 3 questionnaires and donors who did not suggests that there was no systematic reason for not responding. Before BMH, scores were above normal on all SF-36 scales. This may be attributed to the strict health requirements imposed on potential donors. During recovery, the most apparent changes were the drops in the PF, RP, and BP scores, which fell far below the population norm. The BP deviation was −0.8 SD. One way of better understanding this result is by comparing it to results in patients with chronic diseases: 1 week after discharge, the pain reported by donors was about as severe as that reported by patients with chronic arthritis.13 PF and RP were more than 1 SD lower than the population norm and were significantly associated with BMH-related problems (most frequently with pain at the donation site and lower back pain). PF measures the difficulty of such physical activities as walking, running, climbing stairs, carrying groceries, and participating in sports. RP measures limitations in doing work or other daily activities (eg, housework) as a result of poor physical health. These findings suggest that, during the first week after discharge, donors experience considerable pain, which interferes with their regular daily physical activities. Stroncek et al3 also report that pain is the main symptom after BMH, although they did not report the impact of that pain on donors' daily life or well-being.
If the pain were slight and did not interfere with donors' daily activities, it would be of little or no concern, even if experienced frequently. However, because the pain seriously disturbed donors' daily activities, it demands our attention. By determining the association between the frequency of BMH-related problems and SF-36 scores during recovery, we described the effects of pain and other BMH-related problems on donors' daily lives soon after discharge. We found that the pain was frequent and was significantly associated with changes in donors' HRQOL. Other problems were rare, but whenever they occurred, they, too, were significantly associated with HRQOL.
It is noteworthy that donors who had difficulty sleeping, nausea or vomiting, or light-headedness during the first week after discharge generally had lower PF, RP, and BP scores at 3 months. These problems were very rare, but may need more attention during follow-up.
Longer duration of BMH was associated with lower PF, RP, and BP scores. A previous study also reported longer duration of BMH to be a predictor of prolonged recovery time.3 To improve the donors' well-being, it is important to understand this relationship. Is a procedure's duration per se truly the most important predictor of donors' QOL during recovery? Considering that volume of marrow harvested, which was positively correlated with duration of BMH, did not predict donors' QOL during recovery, duration of BMH may reflect the total number of bone puncture holes. We further analyzed the volume of marrow harvested per unit time as an index of the “difficulty of harvest” and found no evidence that it was associated with post-BMH HRQOL. Although our study was not designed to address those issues, duration of BMH per se may simply reflect the number of bone punctures, which caused lower pain-related QOL scores during recovery. Further effort should be directed to recording the number of bone punctures, developing a valid measure of “difficulty of harvest,” and studying whether they affect donors' post-BMH HRQOL.
If time is truly the most important variable, it would be best for donors' well-being if the marrow were harvested as rapidly as is safely possible. Harvesting simultaneously from both sides of the body could reduce the operation time.14 If the most important factor is the number of puncture holes, however, the present findings could further complicate the ethical issues involved in bone marrow donation. We must remember that the ultimate purpose of BMH is to attain high stem cell counts to improve the recipient outcomes. Small-volume marrow aspirations and frequent repositioning of the needle within the marrow cavity have been recommended to maximize the yield of marrow cells.15 This could result in more bone punctures. Further effort should be directed to enable a higher yield of marrow cells per aspiration. This could reduce both the number of puncture holes and the procedure duration. As a minimum, to balance the recipients' needs with the donors' HRQOL, we believe that donors should be informed of the likely length of the procedure, and also of the likelihood that undergoing a long procedure will result in a longer recovery and more physical limitations. We should also consider reducing the severity of pain and physical limitations by closer monitoring after discharge to allow for early intervention with prescription-strength analgesics. In some cases, one effective approach could be preemptive analgesia.16
Donors became anemic after BMH, but neither the volume of marrow harvested nor the hemoglobin concentration was associated with HRQOL after discharge. In 98% (553 of 565) of donors, the volume of marrow harvested per unit weight was 20 mL/kg or less, because the JMDP has set an upper limit on volume of marrow harvested at 20 mL/kg per unit weight. Our results indicate that the JMDP-approved hospitals adhered to this limitation well, and within this limit, the volume of marrow harvested per se did not affect donors' HRQOL after discharge.
This is the first study that evaluated differences in HRQOL between men and women as they recovered from BMH. During recovery, women reported more pain and physical limitations than men. This might reflect a gender difference in the perception of pain17-19 and of physical functioning.18 It might also be because female gender is associated with lower back pain.20 21 Further studies should be done to evaluate gender differences in the incidence and the severity of pain after BMH.
Despite considerable pain and physical limitations, MH and GH scores remained high, and VT decreased only slightly. In Japan, VT scores are more indicative of mental status than physical status.7The high MH scores suggest that the donors did not feel distressed by the pain and physical limitations. This may be because of their satisfaction in having done a good deed that will save a person's life. GH is a self-rating of one's own health. The high GH scores indicate that, despite considerable pain and physical limitations, donors did not consider themselves to have poor health. This may be because they understood that their physical impairment was transient. The combination of high MH and GH scores and low PF, RP, and BP scores is quite different from the pattern in patients with chronic conditions,13 who usually have low GH scores.
By the third measurement, mean scores of all subscales of the SF-36 had returned to their baseline level, indicating that the time required for complete recovery of HRQOL is not longer than 3 months. This information can be used to reassure prospective donors of their long-term well-being; it can also be used in donor recruiting campaigns to encourage more potential donors to enroll.
In conclusion, although bone marrow donors tolerate the procedure well and there are no adverse effects on their HRQOL 3 months after discharge, they do experience considerable pain and physical limitations, at least during the first week after discharge. Therefore, to promote donors' well-being and to encourage donations, more should be done to prevent and relieve pain during BMH procedures.
We thank Joseph Green for his comments and advice and Christopher Holmes for his editing assistance.
The publication costs of this article were defrayed in part by page charge payment. Therefore, and solely to indicate this fact, this article is hereby marked “advertisement” in accordance with 18 U.S.C. section 1734.
References
Author notes
Yoshitsugu Yamada, Department of Anesthesiology, Yokohama City University School of Medicine, 3-9 Fukuura, Kanazawa-ku, Yokohama 236-0004, Japan; e-mail: yamaday@med.yokohama-cu.ac.jp.

This feature is available to Subscribers Only
Sign In or Create an Account Close Modal