The hormonally active form of vitamin D is 1α,25-dihydroxyvitamin D3 [1,25(OH)2D3], which is a principal regulator of calcium homeostasis. It also affects hormone secretion, cell differentiation, and proliferation by a mode of action that involves stereospecific interaction with an intracellular vitamin D receptor (VDR). We recently found that retinoids, which are vitamin A derivatives, exert anticoagulant effects by upregulating thrombomodulin (TM) and downregulating tissue factor (TF) expression in acute promyelocytic leukemia cells and monoblastic leukemia cells. Both the VDR and retinoid receptors belong to the same family of receptors. A heterodimer consisting of the retinoid X receptor and the VDR binds to vitamin D responsive elements on genes regulated by vitamin D. To determine whether 1,25(OH)2D3 would exhibit anticoagulant effects similar to retinoids, we measured the antigen level, activity, and mRNA level of TM and TF in human leukemic cells, vascular endothelial cells, and monocytes treated with 1,25(OH)2D3. We found that 1,25(OH)2D3 upregulates antigen expression, activity, and mRNA levels of TM and downregulates antigen expression, activity, and mRNA levels of TF in human monocytic leukemia cells, some acute myelogenous leukemia cells, and monocytes, but not in umbilical vein endothelial cells. Transient transfection studies with reporter plasmids in monocytic leukemia cells and mobility gel-shift assay showed interaction with 1,25(OH)2D3 and functional retinoic acid responsive elements present in the 5′-flanking region of the TM gene. However, auxiliary factors or other elements in the TM gene may contribute to VDR specificity and transactivation of the gene in specific target cells. These findings indicate that 1,25(OH)2D3 resembles the retinoids in its control of the transcription of the TM and TF genes in human monocytic cells. Analogs of 1,25(OH)2D3with anticoagulant activity may serve as adjunctive antithrombotic agents in monocytic leukemia and atherosclerotic disease.
VITAMIN D METABOLITES are involved in many cellular processes, including calcium homeostasis, the immune response, cell differentiation, and the regulation of gene transcription.1,2 The hormonally active form of vitamin D, 1α,25-dihydroxyvitamin D3[1,25(OH)2D3], may generate biological responses via both the regulation of gene transcription and nongenomic pathways.1 2
The biological effects of 1,25(OH)2D3 are mediated mainly by intranuclear receptors, specifically, by the vitamin D receptors (VDRs), which belong to the same family as the steroid and retinoid receptors. However, receptor-independent effects have also been reported.1 VDRs are ligand-activated transcriptional factors that interact with their cognate responsive elements, called vitamin D responsive elements (VDREs), on vitamin D–regulated genes either as homodimers or as heterodimers with retinoid X receptors (RXRs). RXR/VDR heterodimers bind to VDREs with a much higher affinity than VDR homodimers and are thought to be a physiologically relevant form of the transcriptionally active complex. It is proposed that binding specificity can be conferred by nucleotide spacing between two half-sites of a VDRE. Spacer regions of 3, 4, and 5 nucleotides confer recognition for VDR, thyroid hormone (T3) receptor (T3R) and retinoic acid receptor (RAR).3
We recently found that several vitamin A derivatives, or retinoids, exert anticoagulant effects by upregulating the expression of thrombomodulin (TM) and downregulating that of tissue factor (TF) in acute promyelocytic leukemia (APL) and monoblastic leukemia cells.4-6 The anticoagulant action of retinoic acids (RAs) has been implicated in patients with APL.4 An RA-responsive element, RARE, was identified in the 5′-flanking region of the TM gene (-1537 TGGTCA- CTGC- AGGTCA -1522).7 The spacer region of this element consists of 4 nucleotides, which implicates the recognition of T3. However, in preliminary experiments, T3 has no effect on TM expression. To determine the effect of 1,25(OH)2D3 on the expression of TM and TF, we measured the antigen level, activity, and mRNA level of each TM and TF in human leukemic cells, monocytes, and umbilical vein endothelial cells (HUVECs) treated with 1,25(OH)2D3. Because the TM gene does not contain a consensus sequence of VDRE, which consists of two direct repeats separated by three nucleotides that would confer binding specificity of the VDR, we further evaluated whether 1,25(OH)2D3 combines with and transactivates RARE in the TM gene.
MATERIALS AND METHODS
Reagents.
Chemicals were purchased from the following suppliers. Thyroid hormone 3,5,3′-triiodothyronine (T3), 1,25(OH)2D3, and human thrombin (1,400 NIH U/mg protein) were obtained from Sigma (St Louis, MO). Recombinant human soluble TM, which possesses the entire extracellular TM domain, was a gift from Asahi Chemical Industry Co (Shizuoka, Japan). Human placenta-derived TF (Thromborel S) was from Behringwerke AG (Marburg, Germany). The chromogenic substrate S2266 was from Chromogenix (Stockholm, Sweden). Human protein C (inactivated and activated) was generously provided by the Chemo-Sero-Therapeutic Research Institute (Kumamoto, Japan). Recombinant human hirudin was from American Diagnostica Inc (Greenwich, CT). Monoclonal mouse anti-human TM IgG KA-4 and polyclonal rabbit anti-human TM antibody were from Teijin, Ltd (Tokyo, Japan). Monoclonal mouse anti-human TF IgG ADI 4509 was from American Diagnostica Inc (Greenwich, CT). Polyclonal rabbit anti-mouse RARα and polyclonal anti-human VDR antibodies were from BIOMOL Research Laboratories, Inc (Plymouth Meeting, PA) and Affinity BioReagents, Inc (Golden, CO), respectively. All other chemicals were reagent-grade products and were purchased from Wako Pure Chemicals (Osaka, Japan), unless otherwise indicated.
Peripheral blood (PB) cells.
PB was drawn from 7 patients with acute myelogenous leukemia (AML), 1 patient with biphenotypic leukemia (Bi-1), and 2 patients with acute lymphocytic leukemia (ALL) (ALL-1, 2). PB samples were obtained at diagnosis, before the administration of chemotherapy, and the mononuclear fraction was isolated as already described.5Blood samples were selected for study only when they contained more than 85% blasts. Leukemic cell subtypes were classified according to French-American-British (FAB) classification. Whole blood was collected from healthy donors and anticoagulated with heparin (10 U/mL blood). Mature monocytes were isolated as previously described.8
Cell culture.
The following human leukemic and vascular endothelial cell lines were used in this study. A monoblastic leukemia cell line, U937, and an erythroleukemia cell line, K562, were provided by the Japanese Cancer Research Bank (Tokyo, Japan). Acute myelomonocytic leukemia (AML M4) cell lines, OCI-AML2 and OCI-AML3,9 and a B-lymphocytic leukemia cell line, TMD2,4 were generously provided by Dr S. Tohda (Tokyo Medical and Dental University, Tokyo, Japan). An APL cell line, NB4, was kindly provided by Dr M. Lanotte (Hôpital Saint Louis, Paris, France).10 An acute megakaryoblastic leukemia (AML M7) cell line, UT7,4 was a gift from Dr N. Komatsu (Jichi Medical School, Tochigi, Japan). Human vascular endothelial cell line ECV30411 was kindly provided by Dr K. Takahashi (Tokyo Medical College, Ibaraki, Japan). Cell lines, leukemia cells from patients, monocytes, and HUVECs were cultured as already described.5,6,8 11 The 1,25(OH)2D3was dissolved in absolute ethanol and further diluted into growth media to the desired concentration. The final concentration of ethanol in the culture media was less than 0.1%. Cells exhibited no damage at this concentration. The culture media without 1,25(OH)2D3 or T3, used for the control cells, contained the same concentration of ethanol as the culture media used for the treated cells. All of the procedures involving 1,25(OH)2D3 were performed under subdued light.
Measurement of TM and TF antigens.
Leukemic cells were incubated with 1,25(OH)2D3for 24 hours and then washed three times with phosphate-buffered saline (PBS). Cells were counted and their concentration was adjusted to 107 cells/mL. Cell lysates were prepared as described previously.4 Total TM and TF antigens in cell lysates were measured by enzyme-linked immunosorbent assay (ELISA) using an EIA TM kit Teijin (Teijin Inc, Tokyo, Japan) and IMUBIND Tissue Factor ELISA Kit (American Diagnostica Inc, Greenwich, CT) according to the manufacturer's instructions.
Cell-surface TM cofactor activity.
Cell-surface TM cofactor activity was measured as previously described.6,12 13 In this assay, exogenous protein C (0.16 μmol/L) was activated by intact cells in the presence of thrombin (3.3 NIH U/mL) and Ca2+ (1.3 mmol/L). Cleavage of the small molecular weight substrate S-2266 by activated protein C was measured with a spectrophotometer. The results were expressed as ΔOD405nm/minute or as the percentage of the initial velocity of activated protein C formation (with 100% considered as the rate of formation of activated protein C by cell-surface TM under basal conditions). No activation of protein C was observed in control cells in the absence of thrombin or protein C.
Cell-surface TF cofactor activity: Analysis of procoagulant activity in clotting assays.
Leukemic cell suspensions were adjusted to 1 × 107/mL in PBS. Normal plasma-based one-stage recalcification clotting time was determined as described previously.4 Our previous study showed that the procoagulant activity on the surface of U937 cells increases with the expression of TF,4 thus prolongation of recalcification time is mainly caused by the downregulation of TF expression by 1,25(OH)2D3. TF cofactor activity was quantitated by reference to standard curves (log-log plot) constructed using human placenta TF. TF activity with a 50-second recalcification time was defined as 1 U/mL.
Immunoblotting analysis.
Western blot analysis of TM and TF in cell lysates was performed essentially as previously described.6 Horseradish peroxidase–conjugated KA-4 anti-TM monoclonal antibody (MoAb) and anti-TF MoAb ADI 4509 were used for the detection of TM and TF, respectively. Equal amounts of lysates from 5 × 106cells were applied to each lane. Rabbit anti-human VDR antibody and horseradish peroxidase–conjugated goat antibody to rabbit IgG was used for detection of VDR. Equal amounts of lysates from 1 × 106 cells were applied to each lane.
Quantitative reverse transcription-polymerase chain reaction (RT-PCR).
Levels of TM and TF mRNA in U937 cells were determined by quantitative RT-PCR assays using the SuperScript Preamplification system (Life Technologies, Inc, Gaithersburg, MD) as previously described.6 For mRNA quality control, glyceralde hyde-3-phosphate dehydrogenase (GAPDH) was amplified.
Northern blotting.
The levels of TM mRNA in U937 cells and monocytes were also measured by Northern blot analysis as reported previously.5 β-actin was used as an mRNA quality control.
Constructs and transfection.
The control plasmid pUC18tkLUC contains a thymidine kinase promoter andPhotinus pyralis luciferase (LUC) gene in pUC18 vector. OCI-AML3 cells were transfected with the plasmid, PTM-2RAREtkLUC, that contained two tandem copies of the RARE from the 5′-flanking region of the human TM gene upstream of the thymidine kinase promoter.7 The ability of 1,25(OH)2D3 or all-trans RA (ATRA) to induce LUC production was determined using PicaGene Dual Sea Pansy (Wako Pure Chemicals, Osaka, Japan). OCI-AML3 cells, grown in RPMI 1640 (Nissui Pharmaceutical Co, LTD, Tokyo, Japan) with 10% fetal calf serum (FCS), were washed twice in PBS, and the concentration of cells was adjusted to 2 × 107 cells/mL with PBS. A 250 μL aliquot of cells was transfected with 10 μg of the plasmids and 1 μg of a control reporter vector, pRL-tk, which encodedRenilla (Sea Pansy) LUC. The pRL-tk reporter vector was used for normalization of transfection efficiency. Electroporation was performed at 960 μF and 350 V using a Bio-Rad Genepulser (Bio-Rad, Hercules, CA). The mixtures were immediately diluted into RPMI 1640 with 10% FCS in the presence or absence of 1,25(OH)2D3 or ATRA. After incubation, cells were lysed according to the manufacturer's instructions. ECV304 cells were transfected with the plasmids using LipofectAMINE Reagent (Life Technologies, Inc, Gaithersburg, MD). LUC assays were sequentially analyzed in a Lumat (Berthold, Wildbad, Germany).
Gel mobility shift assay.
The electrophoretic gel-shift assay was performed as described previously14 using a digoxigenin (DIG)-labeled double-stranded 22-bp oligonucleotide probe containing RARE from the 5′-flanking region of the human TM gene. A DIG-labeled TM RARE probe was incubated with nuclear extracts from OCI-AML3 cells that had been incubated with or without 1,25(OH)2D3 for 24 hours. Gel-shift reaction, 0.25% polyacrylamide gel electrophoresis, contact blotting, and chemiluminescent detection were performed as indicated by the manufacturer using DIG Gel Shift Kit (Boehringer Mannheim, Mannheim, Germany). In competition experiments, increasing doses of unlabeled competitors were added to the reaction mixture. Polyclonal antibody against VDR or RARα was also included in the reaction mixture.
Statistical analysis.
The significance of differences between data of groups was determined with a two-group t-test. A P value of >.05 was considered to represent a statistically nonsignificant change.
RESULTS
Effects of 1,25(OH)2 D3 or T3 on TM and TF antigen levels in leukemic cell lines and PB cells.
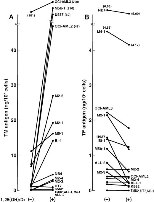
TM and TF antigen levels in untreated PB leukemic cells freshly isolated from patients with leukemia and untreated leukemic cell lines were between 0 and 101 ng TM protein, and 0 and 6.63 ng TF protein per 107 cells. After incubation with 1,25(OH)2D3, total TM antigen levels were increased in several AML cells including biphenotypic leukemia cells freshly isolated from patients, and AML cell lines, OCI-AML 2 and 3, and U937 (Fig 1A). Levels of TM antigen were increased more than 10-fold in two monocytic leukemia cell lines, U937 and OCI-AML2, as well as in cells from a patient with acute monocytic leukemia (M5b-1). A monocytic leukemia cell line, OCI-AML3, exhibited a high baseline expression of TM that was further increased by treatment with 1,25(OH)2D3. Although the increase of the TM expression by 1,25(OH)2D3was found in several types of AML and biphenotypic leukemia cells, high induction of the TM levels were found in a type of monocytic leukemia. In contrast, incubation with 1,25(OH)2D3resulted in a decrease in levels of TF antigen in four of seven AML cells freshly isolated from patients M2-1, M2-3, M4-1, and M5b-1; one of two ALL cells, ALL-2; and AML cell lines OCI-AML3, U937, and NB4 (Fig 1B). TM expression was not detected in the presence or in the absence of 1,25(OH)2D3 in three lymphocytic cells, ALL-1, ALL-2 or TMD2 cells. Levels of TM and TF antigen were not affected by incubating any of the leukemic cell lines with 0.1 to 10 μg/dL T3 (data not shown). Since the remarkable change in levels of TM and TF antigen was observed in the U937 cell line, we next examined the dose dependency of the effects of 1,25(OH)2D3 on levels of TM and TF antigen in these cells.
Effects of 1,25(OH)2D3 on total TM and TF antigen in several leukemic cell lines and PB cells freshly isolated from patients with leukemia. Leukemic cells were incubated with 1,25(OH)2D3 (0.1 μmol/L) for 24 hours. Total TM (A) and TF (B) antigen levels are shown on ordinates. Data represent means of duplicate measurements.
Effects of 1,25(OH)2D3 on total TM and TF antigen in several leukemic cell lines and PB cells freshly isolated from patients with leukemia. Leukemic cells were incubated with 1,25(OH)2D3 (0.1 μmol/L) for 24 hours. Total TM (A) and TF (B) antigen levels are shown on ordinates. Data represent means of duplicate measurements.
Effects of 1,25(OH)2D3 on total TM and TF antigen in U937 cells.
U937 cells were incubated for 24 hours with various concentrations of 1,25(OH)2D3. Levels of TM antigen were increased dose dependently with up to 0.1 μmol/L 1,25(OH)2D3 (Fig 2A). In contrast, 1,25(OH)2D3 treatment led to a decrease in levels of TF antigen at concentrations of 1,25(OH)2D3 as low as 1 nmol/L (Fig 2B). The change in the levels of TM and TF antigen after treatment of the U937 cells with 1,25(OH)2D3 resembled those previously reported in NB4 cells treated with ATRA or 9-cisRA.4 5
Effects of 1,25(OH)2D3 on total TM and TF antigen in U937 cells. Dose-dependent effects of 1,25(OH)2D3 on TM (A) and TF (B) antigen expression in U937 cells. U937 cells were incubated with 1,25(OH)2D3 (0.1 nmol/L to 5 μmol/L) for 24 hours. These assays were repeated independently three times and the results are expressed as the mean ± SD (standard deviation).
Effects of 1,25(OH)2D3 on total TM and TF antigen in U937 cells. Dose-dependent effects of 1,25(OH)2D3 on TM (A) and TF (B) antigen expression in U937 cells. U937 cells were incubated with 1,25(OH)2D3 (0.1 nmol/L to 5 μmol/L) for 24 hours. These assays were repeated independently three times and the results are expressed as the mean ± SD (standard deviation).
Cell-surface TM and TF activities.
U937 cells or monocytes from PB treated for 24 hours with 1,25(OH)2D3 showed an increase in cell-surface TM activity. In contrast, treatment of HUVECs with 1,25(OH)2D3 had no effect on the cell-surface activity of TM (Fig 3A). Levels of TM cofactor activity were also unaffected by treating the HUVECs with T3 (data not shown). Treatment of U937 cells with 1,25(OH)2D3 decreased cell-surface TF activity (Fig 3B). The decrease of the cell-surface TF activity after 7 days' incubation with 1,25(OH)2D3 was more dramatic than that after 1 day of incubation.
Changes in TM cofactor activity for protein C activation and TF cofactor activity on U937 cells, monocytes, or HUVECs surfaces after exposure to 1,25(OH)2D3. Cells were exposed to 1,25(OH)2D3 (0.1 μmol/L) for 24 hours. Cell-surface TM activity was determined for suspended cells as described in Materials and Methods. Basal ▵OD405nm/min levels were 0.063 ± 0.002/min/5 × 106 U937 cells (61 ± 2 ng activated protein C/106 cells), 0.062 ± 0.005/min/106 monocytes (300 ± 24 ng activated protein C/106 cells), and 0.251 ± 0.027/min/106HUVECs (1,305 ± 235 ng activated protein C/106 cells). Cell-surface TF activity was determined by normal plasma-based one-stage recalcification clotting time and was quantitated by reference to standard curves constructed using human placenta TF as described in Materials and Methods. These assays were repeated independently three times and the results are expressed as the mean ± SD. The difference between TM cofactor activity on the surface of 1,25(OH)2D3-treated U937 cells or monocytes and that of untreated cells is statistically significant (P < .05). The difference between TF cofactor activity on the surface of U937 cells which had been 1,25(OH)2D3-treated for 7 days and that of untreated cells is also statistically significant (P < .05).
Changes in TM cofactor activity for protein C activation and TF cofactor activity on U937 cells, monocytes, or HUVECs surfaces after exposure to 1,25(OH)2D3. Cells were exposed to 1,25(OH)2D3 (0.1 μmol/L) for 24 hours. Cell-surface TM activity was determined for suspended cells as described in Materials and Methods. Basal ▵OD405nm/min levels were 0.063 ± 0.002/min/5 × 106 U937 cells (61 ± 2 ng activated protein C/106 cells), 0.062 ± 0.005/min/106 monocytes (300 ± 24 ng activated protein C/106 cells), and 0.251 ± 0.027/min/106HUVECs (1,305 ± 235 ng activated protein C/106 cells). Cell-surface TF activity was determined by normal plasma-based one-stage recalcification clotting time and was quantitated by reference to standard curves constructed using human placenta TF as described in Materials and Methods. These assays were repeated independently three times and the results are expressed as the mean ± SD. The difference between TM cofactor activity on the surface of 1,25(OH)2D3-treated U937 cells or monocytes and that of untreated cells is statistically significant (P < .05). The difference between TF cofactor activity on the surface of U937 cells which had been 1,25(OH)2D3-treated for 7 days and that of untreated cells is also statistically significant (P < .05).
Western blot analysis for TM, TF, and VDR.
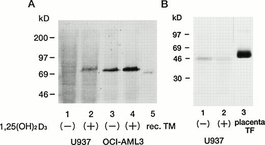
After treatment with 1,25(OH)2D3, the nonreduced form of TM was identified as a prominent band at approximately 75 kD in U937 and OCI-AML3 cells using the MoAb KA-4 (Fig 4A). This size resembled that of placental and HUVEC-derived TM. Recombinant soluble TM exhibited a band at 65 kD. In contrast, a marked reduction in the strength of the TF band at 45 kD in U937 cells was observed after treatment with 1,25(OH)2D3 (Fig 4B). A VDR of 48 kD was expressed in all leukemic cell lines studied (data not shown). The expression of VDR was higher in the K562 cells than in the U937 cells. The VDR protein levels appeared to be unaffected by stimulation of 1,25(OH)2D3. The levels of VDR expression were not correlated with the anticoagulant activities of 1,25(OH)2D3 in the leukemic cell lines.
Western blot analysis of TM and TF in leukemic cell lines treated with 1,25(OH)2D3. Cell lysates were subjected to immunoblotting analysis using a monoclonal anti-TM antibody (A), and a monoclonal anti-TF antibody (B). Sodium dodecyl sulfate-polyacrylamide gel electrophoresis (SDS-PAGE) was performed under nonreducing conditions. All cell lines were incubated either with (+) or without (−) 0.1 μmol/L 1,25(OH)2D3for 24 hours. Molecular-weight markers are shown along the left margin. Soluble recombinant TM (A, lane 5) and placenta TF (B, lane 3) were used as controls.
Western blot analysis of TM and TF in leukemic cell lines treated with 1,25(OH)2D3. Cell lysates were subjected to immunoblotting analysis using a monoclonal anti-TM antibody (A), and a monoclonal anti-TF antibody (B). Sodium dodecyl sulfate-polyacrylamide gel electrophoresis (SDS-PAGE) was performed under nonreducing conditions. All cell lines were incubated either with (+) or without (−) 0.1 μmol/L 1,25(OH)2D3for 24 hours. Molecular-weight markers are shown along the left margin. Soluble recombinant TM (A, lane 5) and placenta TF (B, lane 3) were used as controls.
RT-PCR and Northern blot analyses of TM mRNA in U937 cells and monocytes.
An increased expression of specific mRNA for TM was detected when U937 cells were treated with 0.1 μmol/L 1,25(OH)2D3 for 5 hours (Fig 5A and C). A similar induction of TM mRNA was found in monocytes obtained from the PB of a normal subject (Fig 5C).
RT-PCR and Northern blot analyses of TM and TF mRNA in U937 cells and monocytes treated with 1,25(OH)2D3. Total RNA was extracted from cultured U937 cells and monocytes after exposure to 0.1 μmol/L of 1,25(OH)2D3 (lane 2) for 5 hours. RT-PCR analysis of TM (A) or TF (B) mRNA and Northern blot analysis of TM mRNA (C) were performed as described in Materials and Methods. Base-pair markers are shown to the left. GAPDH and β-actin were used as quality controls of mRNA.
RT-PCR and Northern blot analyses of TM and TF mRNA in U937 cells and monocytes treated with 1,25(OH)2D3. Total RNA was extracted from cultured U937 cells and monocytes after exposure to 0.1 μmol/L of 1,25(OH)2D3 (lane 2) for 5 hours. RT-PCR analysis of TM (A) or TF (B) mRNA and Northern blot analysis of TM mRNA (C) were performed as described in Materials and Methods. Base-pair markers are shown to the left. GAPDH and β-actin were used as quality controls of mRNA.
RT-PCR analysis of TF mRNA in U937 cells.
Treatment with 1,25(OH)2D3 (0.1 μmol/L) for 5 hours markedly reduced the expression of TF mRNA in U937 cells (Fig5B).
Transfections.
Because U937 cells had a low transfection efficiency, we used the acute myelomonocytic cell line, OCI-AML3, in the transfection studies. We chose these cells because they showed more monocytic character than did the OCI-AML2 cell line. Suspended OCI-AML3 cells that were transfected with a plasmid containing the RARE of the human TM gene resulted in a dose-dependent induction of LUC activity when treated with various concentrations of ATRA. When treated with 1,25(OH)2D3, the transfection with the constructs containing the RARE resulted in modest induction of LUC activity in OCI-AML3 cells (Fig 6A). The same plasmids were also transfected into a HUVEC line, adherent ECV304 cells, by using LipofectAMINE. ATRA induced LUC activity up to twofold in these cells, whereas 1,25(OH)2D3 did not increase the LUC activity (Fig 6B).
1,25(OH)2D3 and ATRA responsiveness of the TM RARE in OCI-AML3 cells and ECV304. OCI-AML3 and ECV304 cells were transfected with pTM-2RAREtkLUC containing two copies of the RARE from the TM gene, thymidine kinase promotor and LUC gene, and internal control plasmids. After 48 hours, ATRA (•) or 1,25(OH)2D3 (▪) were added and the cells were incubated for an additional 24 hours. Cells were procured, and cell extracts were assayed for LUC activity. Experiments were repeated independently four times. Values are means ± SD. *Significantly different from untreated controls (P < .05).
1,25(OH)2D3 and ATRA responsiveness of the TM RARE in OCI-AML3 cells and ECV304. OCI-AML3 and ECV304 cells were transfected with pTM-2RAREtkLUC containing two copies of the RARE from the TM gene, thymidine kinase promotor and LUC gene, and internal control plasmids. After 48 hours, ATRA (•) or 1,25(OH)2D3 (▪) were added and the cells were incubated for an additional 24 hours. Cells were procured, and cell extracts were assayed for LUC activity. Experiments were repeated independently four times. Values are means ± SD. *Significantly different from untreated controls (P < .05).
Gel mobility shift assay.
Gel-shift assay was used to test if VDR binds specifically to TM RARE. Two shifted bands were observed when a TM RARE probe was incubated with OCI-AML3 nuclear extracts (Fig 7, lanes 2 and 3). Sixteen- and 69-fold molar excess of an unlabeled TM-RARE oligonucleotide efficiently competed only for the upper band formation (Fig7, lanes 4 and 5), which suggests that the lower band may be nonspecific. Anti-VDR (Fig 7, lanes 6 through 8) and anti-RARα (Fig 7, lanes 9 through 11) antibodies supershifted the upper band, while an irrelevant antibody did not affect the band (data not shown).
Gel mobility shift assay with a DIG-labeled oligonucleotide probe containing TM RARE. Gel-shift assay was performed as described in Materials and Methods. Lane 1 corresponds to the DIG-labeled TM RARE probe incubated in the absence of nuclear extracts. One microgram of nuclear extracts of OCI-AML3 cells was incubated with the DIG-labeled probe in the absence (lanes 2, 3, and 6 through 11) or in the presence of 16- and 69-fold molar excess amount of unlabeled TM RARE (lanes 4 and 5). Increasing amounts of anti-VDR (lanes 6 through 8) or anti-RARα (lanes 9 through 11) antibody was included in the reaction mixture. The position of the specific complex is indicated by the closed arrow and the supershifted band is indicated by the open arrow.
Gel mobility shift assay with a DIG-labeled oligonucleotide probe containing TM RARE. Gel-shift assay was performed as described in Materials and Methods. Lane 1 corresponds to the DIG-labeled TM RARE probe incubated in the absence of nuclear extracts. One microgram of nuclear extracts of OCI-AML3 cells was incubated with the DIG-labeled probe in the absence (lanes 2, 3, and 6 through 11) or in the presence of 16- and 69-fold molar excess amount of unlabeled TM RARE (lanes 4 and 5). Increasing amounts of anti-VDR (lanes 6 through 8) or anti-RARα (lanes 9 through 11) antibody was included in the reaction mixture. The position of the specific complex is indicated by the closed arrow and the supershifted band is indicated by the open arrow.
Influence of 1,25(OH)2D3 on TM upregulation by ATRA.
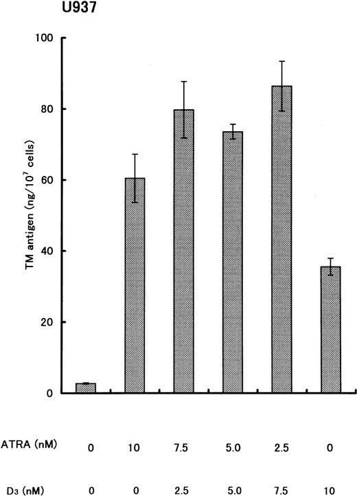
We have also examined if 1,25(OH)2D3 influences TM upregulation by ATRA and vice versa with various concentrations of both reagents, as indicated in Fig 8. When both 1,25(OH)2D3 and ATRA were included as stimulants for U937 cells, moderate synergism was observed in TM upregulation (Fig 8).
The influence of 1,25(OH)2D3 on TM upregulation by ATRA. The various combinations of 1,25(OH)2D3 and ATRA were incubated with U937 cells for 24 hours. TM upregulation was expressed as increase of TM antigen levels in the cell lysate. Experiments were repeated independently three times. Values are means ± SD.
The influence of 1,25(OH)2D3 on TM upregulation by ATRA. The various combinations of 1,25(OH)2D3 and ATRA were incubated with U937 cells for 24 hours. TM upregulation was expressed as increase of TM antigen levels in the cell lysate. Experiments were repeated independently three times. Values are means ± SD.
DISCUSSION
The present study showed that the expression of TM was upregulated by 1,25(OH)2D3 in several myelogenous leukemia cells and mature monocytes from the PB but not in HUVECs. We have shown that the induction of TM by 1,25(OH)2D3 was most marked in monocytic leukemia cells and mature monocytes, and mediated by the TM RARE. A downregulation of TF was observed in the most of the monocytic leukemia cells. 1,25(OH)2D3 exerted its anticoagulant effects in the monocytic leukemia cells by upregulating TM and downregulating TF. In contrast, the induction of TM and the reduction of TF by ATRA were marked in APL and monocytic leukemia cells.5
An upregulated expression of TM by 1,25(OH)2D3has been reported in osteoblasts.15 Functional TM expression was also observed in human blood monocytes and in the human synovial tissue lining macrophages.16 When the AML M2 cell line, HL-60, was differentiated into a monocytic lineage, the induction of TM was also observed.17 As previously reported,4 the induction of TM and the reduction of TF by ATRA create a favorable environment for the improvement of the disseminated intravascular coagulation syndrome (DIC) in patients with APL. Because there is a relatively high incidence of DIC complications in patients with acute monocytic leukemia, the induction of TM and the reduction of TF in monocytic cells may improve DIC in these patients.
The activities of 1,25(OH)2D3 are mediated by the specific nuclear receptor VDR, which is widely distributed in mammalian tissues including intestine, bone, and kidney.1,2 The receptor has been found also in such blood cells as stimulated lymphocytes, promyelocytes, and precursors of monocytes.2 The expression levels of VDR in different cell types may affect the function of 1,25(OH)2D3. However, VDR levels in the cell lines, U937 and NB4, responsive to 1,25(OH)2D3, resembled those of unresponsive cell line K562. The treatment with 1,25(OH)2D3did not increase the VDR expression in all of those cell lines. We suggest that the presence of coactivator(s) or repressor(s) is also important for the function of 1,25(OH)2D3 in leukemia cells. The activities of 1,25(OH)2D3are mediated principally via the RXR/VDR heterodimers, not the VDR/VDR homodimers.1 Coactivator(s) and repressor(s) are involved in the function of the RXR/RAR heterodimer.18 A selective cascade of interactions between receptor dimers, cofactors, silencing mediators for VDR, and members of the transcriptional machinery, such as TATA-binding proteins and TATA-associated factors, may be required for the induction of TM. These interactions may result from a specific change in conformation within the RXR/VDR heterodimer which binds to its ligand. In addition, multifunctional regulators such as YY119 interfere with interactions of the VDR with VDRE and transcription factor IIB, thereby regulating the enhancement of TM gene transcription by 1,25(OH)2D3.
Retinoids induce the transcriptional activation of TM expression via a specific ligand-RAR binding site, RARE, in the 5′-flanking region of the TM gene.7 The TM gene does not contain a typical VDRE, which is a direct repeat sequence with a spacer of 3 bp. Therefore, a reporter gene that contained two copies of the RARE of the TM gene was transfected into OCI-AML3 and ECV304 cells to determine whether the RARE with a spacer of 4 bp mediates the activity of 1,25(OH)2D3. Treatment with 1,25(OH)2D3 increased the activity of LUC in OCI-AML3 cells, but not in ECV304 cells. The responsiveness of the RARE to 1,25(OH)2D3 indicates that strict adherence to a spacer region of 3 bp for VDR is questioned. In fact, VDR and RAR recognize a common response element in the osteocalcin gene.20 To strengthen the data of transfection, we have also performed a gel-shift assay using antibodies to VDR and RARα. The assay has shown that VDR in addition to RARα binds to the TM RARE with similar mobility (Fig 7) because VDR and RARα have similar molecular weights, 48 kD and 45 kD, respectively. We have used anti-RARα antibody as well as anti-VDR antibody to observe the supershift of the complex band, because we have already found that retinoids mediate TM upregulation via RARα subtype.6While RXR-RAR heterodimers bind to the RARE sequence even in the absence of retinoids,18 RXR-VDR heterodimers may also bind to the TM RARE without stimulation of 1,25(OH)2D3, as shown in Fig 7, lane 2. These results adequately support our hypothesis that both 1,25(OH)2D3 and ATRA mediate upregulation of TM via the similar response element. Although TM was induced by both 1,25(OH)2D3 and ATRA through an interaction with the RARE of the TM gene, there may be different degrees of binding of 1,25(OH)2D3 and ATRA to the TM RARE. In addition, other additional factor(s), corepressors, and coactivators may be involved in TM induction. A recent report showed that the biological activities of potent vitamin D3 analogs did not correspond to the ability of these cells to bind to VDR and to transactivate a VDRE.21 Therefore, the anticoagulant activities of 1,25(OH)2D3 may not correlate to its ability to interact with the RARE of the TM gene, which is VDRE. Further studies are necessary to elucidate mechanism of TM upregulation mediated via 1,25(OH)2D3.
TF is constitutively expressed by several types of cells present outside the vessels and induced in monocytes and endothelial cells within the vasculature by cytokines such as tumor necrosis factor and interleukin-1 (IL-1). The levels of TF in the monocytic leukemia cells were decreased by 1,25(OH)2D3. Treatment of these cells with 1,25(OH)2D3 may repress the expression of TF through the binding of activated VDRs to the transcriptional activation factor AP-1 (Jun/Fos) in a mechanism similar to that observed in retinoids.22 In addition, sterical competition23 for the binding sites of AP-1 on the TF gene may occur due to the formation of complexes between RXR/VDR heterodimer, auxiliary factor(s), and their binding sites on the TF gene. The RXR-VDR heterodimer blocks NFATp (a T-cell–specific transcription factor)/AP-1 complex formation and then stably associates with the NFAT-1 element in the IL-2 gene, thereby 1,25(OH)2D3 transcriptionally represses the IL-2 gene.24 The mode of direct or indirect, genomic or nongenomic control of TF expression by 1,25(OH)2D3 has yet to be determined. TF expression initiates thrombotic episodes associated with various diseases, including atherosclerosis, septic shock, and malignancy. ATRA is an effective downregulator of TF in monocytes25 and of TF and cancer procoagulant in APL cells.4-6,26 The administration of retinoids in the clinical setting is expected to result in the differentiation of APL cells. In addition, retinoids may be useful in a new form of anticoagulant therapy which changes the procoagulant character of cells, including malignant cells, diseased endothelial cells, and diseased monocytes, by regulating TM and TF expression at the level of transcription. Similar regulation of TM and TF in monocytic leukemia cells by 1,25(OH)2D3may be effective for the control of DIC in the patients with monocytic leukemia. Furthermore, the differentiation effect of monocytic leukemia cells by 1,25(OH)2D3 has also been reported.1
It is suggested that hyperactive monocytes with a high expression of TF and a low expression of TM favor the development of atherosclerosis.27 Platelets may also play a primary role in the pathogenesis of atherosclerosis where platelet activation is a pivotal risk factor for the development of thrombotic episodes. Antiplatelet action is induced when 1,25(OH)2D3and its analog 22-oxa-1,25(OH)2D3 stimulate the production of prostacyclin by vascular tissues.28 In addition to the treatment of DIC and cell differentiation therapy in patients with monocytic leukemia, anticoagulant and antiplatelet effects of 1,25(OH)2D3 may be useful for preventing and treating atherosclerotic thrombotic disease.
Physiological concentration of 1,25(OH)2D3 in serum is less than 0.1 nmol/L. Pharmacological concentration of 1,25(OH)2D3 in serum is around 0.2 nmol/L.29 It has been shown that side effects related to hypercalcemia may occur when concentrations of 1,25(OH)2D3 in serum exceed 0.2 nmol/L.2,29 Therefore, it may not be possible to administer either 1,25(OH)2D3 or 1α(OH)D3 at doses sufficient to produce an anticoagulant effect without inducing hypercalcemia. One resolution may be to synthesize analogs that are especially effective in inducing cell differentiation, anti-osteoporosis, and anticoagulation without inducing side effects related to hypercalcemia. Both 1,25(OH)2D3 and its analogs are promising differentiation-inducing agents and are important modulators of cellular proliferation for a number of malignant cell types.30 1,25(OH)2D3is capable of inducing differentiation of human myeloid leukemia cells from both patients and cell lines.31 A 20-epi-vitamin D3 analog induces differentiation and potentially inhibits clonal growth of human breast cancer cell lines.32 Although studies in vivo suggest that 1,25(OH)2D3 can prolong the survival of mice injected with myeloid leukemia cells, oral administration of 1,25(OH)2D3 to preleukemic patients did not have an enduring therapeutic effect.33 The reason may also be that the concentration of 1,25(OH)2D3 in the serum of patients is too low to affect differentiation and growth of leukemia cells. The growing information on VDRs and the signaling pathways of 1,25(OH)2D3 activity will ultimately permit the synthesis of 1,25(OH)2D3 analogs for treating medical conditions, including those requiring anticoagulant therapy. Another strategy may be to identify agents that are synergistic with 1,25(OH)2D3 so that lower serum concentrations of 1,25(OH)2D3 can be used in the therapy. As shown in Fig 8, there appeared to be a modest synergism between 1,25(OH)2D3 and ATRA in TM upregulation. It reminds us of similar synergism between 20-epi-vitamin D3analog and 9-cis RA on inhibition of clonal growth and induction of apoptosis in NB4 cells.30 The mechanism is still unclear but the investigators have suggested that the combination may cause the activation of RXR/VDR, RXR/RAR, and VDR/RAR heterodimers, as well as VDR/VDR, RAR/RAR, and RXR/RXR homodimers.30
Our present study has linked vitamin D3 and retinoid signaling pathway in the regulation of TM and TF, and outlined the profundity of nature's anticoagulant system.
ACKNOWLEDGMENT
The authors thank Dr Keiko Yamamoto and Prof Sachiko Yamada, Institute for Medical and Dental Engineering of Tokyo Medical and Dental University for helpful discussions.
Supported in part by a research grant from the Ministry of Education, Science, Sports and Culture, and a grant for intractable diseases from the Ministry of Health and Welfare of Japan.
Presented in part at the XVIth Congress of International Society on Thrombosis and Haemostasis, Florence, Italy, June 8, 1997.
Address reprint requests to Takatoshi Koyama, MD, The First Department of Internal Medicine, Tokyo Medical and Dental University, 1-5-45 Yushima Bunkyo-ku, Tokyo, 113-8519 Japan; e-mail:int1koya.mtec@med.tmd.ac.jp.
The publication costs of this article were defrayed in part by page charge payment. This article must therefore be hereby marked "advertisement" is accordance with 18 U.S.C. section 1734 solely to indicate this fact.









This feature is available to Subscribers Only
Sign In or Create an Account Close Modal