Abstract
There is increasing interest in the role of blood polymorphonuclear leukocytes (PMNs) in the pathogenesis of sickle cell crisis. We studied the adherence of PMNs from 18 sickle cell patients in crisis, 25 out of crisis, and 43 healthy subjects (controls) to monolayers of human umbilical cord endothelium that were either untreated or pretreated with tumor necrosis factor α (TNFα). Overall, the PMNs from patients in crisis were more adherent than control PMNs to untreated endothelial monolayers (mean 53% increase; P < .001) and TNFα-treated monolayers (mean 41% increase; P < .002). Increased adhesiveness was not associated with an abnormal expression of CD11a, CD11b, CD11c, CD18, CD62L, or CD15. There was an increase in the number of PMNs expressing CD64 in patients in crisis (median value, 44%) compared with patients out of crisis (median, 21%; P = .025) and controls (median, 6.5%; P < .001). Sera from patients in crisis had normal levels of granulocyte colony-stimulating factor, granulocyte-macrophage colony-stimulating factor, interferon-γ, TNFα, interleukin-1 (IL-1), IL-6, or IL-8 and did not modify the adherence of PMNs or their expression of CD64. Only IFN-γ induced CD64 expression on PMNs, but this effect was not associated with enhanced binding to endothelium. Because PMNs bound to endothelial monolayers were CD64+ and CD64-enriched PMNs were 7 times more adherent to endothelial monolayers than CD64-depleted PMNs, it is likely that CD64 is a marker of adherent PMNs. Two of the three anti-CD64 antibodies used in our antibody blocking studies (clones 32.2 and 197) partially inhibited the binding of sickle cell PMNs to untreated endothelium (mean inhibitions of 33% [P = .01] and 21% [P = .03], respectively), whereas only one (clone 197) inhibited binding to TNFα-treated endothelium (mean inhibition, 29%; P = .004). In some patients with sickle cell disease, an enhanced PMN adhesion to vascular endothelium could contribute to the vascular occlusion that characterizes the acute crisis of the disease.
VASO-OCCLUSIVE crises of sickle cell disease are a major cause of morbidity and death.1,2 The pathogenetic mechanisms of vaso-occlusion remain controversial,3 although it is generally agreed that the increased binding of sickled erythrocytes to vascular endothelium is an important contributory factor.4,5 Despite contradictory reports of whether the percentage of circulating irreversibly sickled erythrocytes correlates with the severity and frequency of crisis,6,7 it appears that a combination of adhering, deformable sickle cells and trapping of nondeformable sickle cells participate in vaso-occlusion.8,9 The suggestion that polymorphonuclear leukocytes (PMNs) may play a copathogenic role arises from the association of sickle cell crises with infection,10 a polymorphonuclear leukocytosis related to increased risk of death1,11 and, in severe acute bone pain, marrow necrosis with PMN infiltration.12
Extravasation of PMNs into tissue is dependent on the cells binding to endothelial cells before active migration through vessel walls. Several adhesion molecules (eg, CD11a, CD11b, CD11c/CD18, L-selectin, and CD15) mediate PMN binding to endothelium through the recognition of complementary ligands (eg, intercellular adhesion molecule-1 [ICAM-1], E-selectin, and P-selectin) whose expression is induced or enhanced by the action of cytokines and other inflammatory factors.13,14 Additional leukocyte adhesion molecules recognize the R-G-D (arg-gly-asp) sequence within a number of extracellular matrix proteins.15 In sickle cell disease, binding of neutrophils to the endothelial surface, particularly at sites at which inflammatory cytokines are generated, could reduce blood flow and, in association with sickled erythrocytes, produce microvascular occlusion and crises. Evidence of an increased adhesiveness of blood PMNs in this disease comes from the demonstration that experimental vascular occlusion in patients with sickle disease produces increased PMN binding to vascular endothelium16and that laboratory-induced aggregation of PMNs is enhanced during crisis.17
The high-affinity Fc receptor, CD64, is considered as a marker of PMN activation,18,19 and increased numbers of CD64+PMNs are a feature of some bacterial infections.20 In this study, we report that PMNs from most patients in crisis were highly adherent to cultures of untreated and tumor necrosis factor-α (TNFα)-treated vascular endothelium. We also found that CD64+ PMNs were increased in the blood of patients with sickle cell disease, particularly during crisis, and evidence is presented to show that PMNs expressing CD64 are highly adherent to endothelial monolayers.
MATERIALS AND METHODS
Patients and controls.
A total of 97 homozygous (Hb S/S) patients (18 to 55 years of age) were studied. A clinical diagnosis of crisis was made on the following criteria: (1) widespread pain typically involving the limbs, vertebrae, or ribs that could be ascribed to vascular occlusion and/or ischaemic tissue damage; and (2) symptomatic relief after analgesia. Retrospective analysis of the medical records of the patients in crisis did not show the presence of a specific bacterial infection or reticulocytopenia. However, this does not exclude the possibility of viral or covert bacterial infection. Ethical Committee approval for the study was granted in advance. Age-matched healthy hospital and medical school staff acted as controls.
Culture of endothelial monolayers.
Endothelial cells were isolated from human umbilical cord veins using a standard method.21 Briefly, endothelial cells were removed with collagenase II (200 U/mL; Sigma Chemical Co, Poole, UK), washed, and resuspended in Dulbecco's modified Eagle's medium (DMEM; Sigma) supplemented with 20% fetal calf serum (FCS; Myclone; GIBCO, Paisley, UK), 4 mmol/L glutamine (Sigma), 1/50 vol/vol sodium pyruvate (GIBCO), 200 U/mL penicillin (Brittania Pharmaceuticals, Redhill, UK), 100 U/mL streptomycin (Sigma), and gentamycin (Roussel, Uxbridge, UK). Cells were grown in gelatin (1% wt/vol; Sigma)-coated flasks (Costar, Cambridge, MA) in a 10% CO2-humidified atmosphere at 37°C. When confluent, cells were detached with trypsin-EDTA (Sigma), seeded onto gelatin-coated 96-well microtiter plates (Costar), and again grown to confluence. Identification of endothelial cells was confirmed by immunofluorescence staining with antibody directed against von Willebrand factor (Nordic Laboratories, London, UK) and by their characteristic morphology using light microscopy. Confluent endothelial monolayers were pretreated for 4 hours at 37°C with either 10 U/mL recombinant human TNF (Amgen, Thousand Oaks, CA) or with DMEM/FCS only. Monolayers were washed twice with serum-free DMEM before the addition of PMNs.
Isolation of PMNs and adherence assay.
Blood samples from both patients and control subjects were processed within minutes (maximum delay, 35 minutes) of their provision. All samples were handled in an identical manner and PMNs were isolated by low-speed centrifugation of lysed blood.22 Briefly, 20 mL of heparinized blood was diluted with 50 mL of 9 parts 0.16 mol/L NH4Cl (BDH, Poole, UK):1 part 0.17 mol/L Tris (BDH), pH 7.4, and allowed to stand for 10 minutes at room temperature. Cells were centrifuged at 400g for 10 minutes, the supernatant was discarded, and the lysis stage was repeated three times. The PMN pellet was washed three times (50g for 10 minutes) in Hank's Balanced Salt Solution without calcium and magnesium (Sigma). The PMNs were radiolabeled by incubating with 51Cr (sodium chromate; Amersham International PLC, Amersham, UK) for 45 minutes at 37°C at a concentration of 3 μCi/106 cells, washed three times with DMEM-5% FCS, and adjusted to 2 × 106 cells/mL in DMEM with 10% autologous serum. Cells at 2 × 105 in 100 μL were added to each well for 1 hour at 37°C. Nonadherent PMNs were removed from the monolayers by washing five times with serum-free DMEM. Each monolayer was lysed by 200 μL 0.1 N NaOH (BDH) and radioactivity was counted in an auto-gamma scintillation counter (Wallac, Milton Keynes, UK). Tests were performed in quadruplicate. The percentage of PMNs adhering to endothelium was calculated as follows: Adherence = (Mean dpm in Lysate)/(Mean dpm of Overlaid PMN) × 100%. For each experiment, the adherent properties of PMNs from 1 patient were compared directly with PMNs from 1 normal subject using endothelial cells obtained from the same umbilical cord vein. This procedure ensured that any observed differences in adherence were the result of the intrinsic properties of PMNs rather than that of endothelial cell cultures. To ensure that only confluent monolayers were used for experiment, all wells were inspected by light microscopy immediately before assay and after incubation of PMNs with endothelial cells. Neither treatment of endothelial cells with TNFα nor incubation with PMNs resulted in disruption or damage of the monolayers.
Experiments were also performed to investigate whether cytokines, F-methionyl-leucyl-phenylalanine (FMLP), and sera modified the adherence of PMNs from control subjects and patients in and out of crisis. The PMNs were incubated with either 50 U/mL interferon-γ (IFN-γ), 10 U/mL granulocyte-macrophage colony-stimulating factor (GM-CSF), 10 U/mL granulocyte colony-stimulating factor (G-CSF), 10 U/mL TNF, 10 U/mL interleukin-1 (IL-1), 10 U/mL IL-6, or 10−11 mol/L IL-8 for 4 or 24 hours before the adherence assay. The PMNs were incubated with 10−7mol/L FMLP for 3 minutes. PMNs were also incubated with 100 μL sera from control subjects and patients for the same time periods.
Flow cytometric analysis of PMN surface markers.
Cells were prepared using the method of Hamblin et al.23Briefly, 1 mL of blood was immediately mixed with 1 mL of prewarmed 0.4% paraformaldehyde (BDH)/phosphate-buffered saline (PBS; Sigma) and incubated for 4 minutes at 37°C. Red blood cells were lysed with 20 mL of 0.16 mol/L NH4Cl/0.17 mol/L Tris buffer, pH 7.4, for 10 minutes at 37°C. The cells were washed twice with DMEM (400g for 5 minutes) and resuspended in PBS-1% bovine serum albumin (BSA; Sigma). Aliquots (25 μL) of the leukocyte-rich sample (1 × 106 cells) were incubated with 10 μL of unconjugated monoclonal antibodies directed against CD18, CD11a, CD11b, CD11c, CD15, L-selectin, and CD64 as well as isotype control antibodies for 30 minutes at 4°C. The cells were washed three times with PBS-1% BSA and incubated with 25 μL of fluorescein-conjugated rabbit antimouse Ig (DAKO, High Wycombe, UK) for 30 minutes at 4°C. After washing in PBS-1% BSA, the cells were resuspended in 0.3 mL paraformaldehyde/PBS for analysis on a FACScan flow cytometer (Becton Dickinson, Mountain View, CA). Results were recorded as the percentage of positive cells and the mean fluorescence intensity (MFI).
Monoclonal antibodies to the β2 integrin adhesion molecules were a gift from Prof A.J. McMichael (Oxford, UK; CD11a and CD11b) as well as from Dr N. Hogg (London, UK; CD11c) and Boehringer Mannheim (Mannheim, Germany; CD18). Antibodies against L-selectin (LAMI-3) and CD15 (C3D-1) were purchased from Coulter (Luton, UK) and Dako (Glostrup, Denmark), respectively, and an IgG1 monoclonal antibody to FcγR1 (CD64, clone 10.1) was purchased from Serotec (Oxford, UK). Isotype control antibodies (Dako) were used throughout the study and fluorescein isothiocyanate (FITC)-conjugated rabbit antimouse Ig (Dako) was used as the secondary antibody.
To determine whether CD64 expression on PMNs was increased by the activity of cytokines or patients' sera, the following experiments were performed. Preparations of PMNs from patients out of crisis and from healthy control subjects were mixed with either IFN-γ, GM-CSF, G-CSF, TNF, IL-1, IL-6, IL-8, or FMLP at the same concentration and incubation times as outlined in the description of the adherence assay. Also, PMNs were treated with 100 μL sera from control subjects and from patients in crisis and out of crisis.
CD64 and PMN adhesion to endothelium.
To identify CD64+ PMNs bound to endothelial monolayers, adherence assays were performed in 16-well chamber slides (NUNC: Life Technologies Ltd, Paisley, UK). Formaldehyde-fixed cocultures of PMNs bound to endothelial cells were treated with the Serotec anti-CD64 antibody (1/50) or isotype control antibody followed by staining with biotinylated rabbit antimouse Ig (1/500; Dako) and avidin-peroxidase reagent (1/1,000; Sigma). Between each step, wells were washed with Tris buffer. The substrate 3,3′-diaminobenzidine (DAB; Sigma) was added for 5 minutes and washed off with water before counter-staining with haematoxylin and clearing in water. Slides were dehydrated and cleared in ethanol:xylene before mounting in DPEX (BDH Chemicals). The percentage of CD64+ cells in the wells was calculated by counting at least 100 adherent PMNs under light microscopy. Experiments were performed in triplicate.
To compare the adherence properties of CD64+ with CD64− PMNs, 4 × 106 cells from 4 normal subjects were treated with 1:50 dilutions of the anti-CD64 antibody in PBS-1% BSA for 30 minutes at 4°C. After washing, the cells were resuspended in a 1/500 FITC-conjugated rabbit antimouse IgG1 reagent and processed through a FACSorter (Becton Dickinson) at 300 to 400 cells/s. The CD64+ and CD64−fractions contained 78% and 1% mean CD64+ cells, respectively, and cell viability was greater than 87%. Enriched cells were added to the endothelium at 1 × 105 cells/well (200 μL). The number of PMNs bound to the monolayers after 1 hour of incubation was determined by counting the number of cells in 5 high power microscopic fields. All experiments were performed in triplicate and the results are expressed as the mean number of adherent PMNs per high power field.
To determine whether PMN adhesion was inhibited by anti-CD64 antibodies, PMNs (4 × 106 in 350 μL medium) were pretreated with a 1:50 dilution of anti-CD64 monoclonal antibodies from clones 22, 32.2, and 197 (Cambio, Cambridge, UK) and isotype antibody controls (IgG1 for clones 22 and 32; IgG2a for clone 197) for 30 minutes at 4°C. The cells were washed before adding to endothelial monolayers. Parallel blocking experiments were undertaken with anti-CD18 (R.15.7/H4; Dr R. Rothlein, Boehringer-Ingelheim, Ridgefield, CT) and anti–L-selectin antibodies (Becton Dickinson, Oxford, UK). Polymorphonuclear cells were also added to endothelial cells in the presence of 100 μmol/L of the RGD containing peptide, 1 Adamantaneacetyl-cys-gly-arg-gly-asp-ser-pro-cys (Sigma), which inhibits lymphocyte attachment to cytokine-treated endothelium.24 Blocking studies were also performed with antibodies against ICAM-1 (RR1/1.1.1; Dr R. Rothlein) and E-selectin [F(ab)2 fragments of ENA-2; Dr J. Leeuwenberg, Maastricht, Holland]; for immunocytochemistry, an antibody against P-selectin (IEA3; Dr A.-K. Ng, University of Maine) was included in the study.
Measurement of cytokines in sera.
The cytokines G-CSF, GM-CSF, TNFα, IL-1, IL-6, and IL-8 were measured by enzyme-linked immunoassay (ELISA) kits purchased from Boehringer Mannheim (Lewes, UK) and IFN-γ by an ELISA developed within the National Institute for Biological Standards and Control. Cytokine levels were also assessed by proliferative bioassays.25 IL-1 was quantitated using the murine T-helper cell line D10S; IL-6 and GM-CSF with the murine hybridomas B9 and MO7e, respectively; G-CSF by the murine myeloid leukaemic cell line GNFS-60; TNFα by the human fibrosarcoma WEH1-164; and IFN-γ by the human glioblastoma/encephalo-myocarditis virus line, 2DP + EMCV. Briefly, sera samples and titrations standard of cytokines were added to suspensions of the above-mentioned cell lines (1 × 105 cells/mL) for 48 hours at 37°C in a humidified 5% CO2 atmosphere. Tritiated thymidine (0.5 μCi) was added and the plates were incubated for 4 hours at 37°C. The contents of each well were harvested onto filter mats, and the radioactivity incorporated was determined by liquid scintillation counting.
Statistical analysis.
Differences in PMN adherence between patient and control groups were evaluated by means of a Wilcoxon paired signed rank test. Where data were approximately normally distributed, the Student's t-test was used to assess significance of differences. Prevalence of the CD64 marker in a patient's PMN population was considered exaggerated when greater than 26%; by analogy,26 27 this cut-off point was 3 multiples (MoMs) above the median value (6.5%) obtained for all PMN CD64 values in the 22 normal subjects. The significance of association between IFN-γ–induced expression and PMN adherence was examined using Spearman's correlation coefficient.
RESULTS
Adherence of PMNs to endothelial monolayers.
Forty-three comparative experiments were undertaken of the adherent properties of PMNs from 18 patients in crisis, 25 patients out of crisis, and 43 normal healthy subjects (controls), 38 of whom were of Afro-Caribbean descent. In each experiment shown in Fig1, the adherence of PMNs from a patient in crisis or from a patient out of crisis were compared with PMNs from a paired control using endothelial monolayers derived from the same umbilical cord vein (see the Materials and Methods). Variations in the adherence values of PMNs from healthy subjects are due to the intrinsic adhesive properties of endothelial cells isolated from different umbilical cord veins. Endothelial adhesiveness for both patient and control PMNs was enhanced by pretreating the endothelium with 10 U/mL TNFα. Figure 1A and B shows that, in general, PMNs from patients in crisis were more adherent than control cells to both untreated endothelium (mean increase, 53%; P < .001) and endothelium pretreated with 10 U/mL TNFα (mean increase, 41%; P = .002), although in 6 experiments the adhesive properties of patients' PMNs were less or similar to that of control PMNs. Comparable adhesion results were obtained with PMNs isolated by Ficoll hypaque density gradient centrifugation, showing that the enhanced binding of PMNs from patients in crisis to endothelial monolayers was not dependent on the method used to isolate PMNs from blood (data not shown). The PMNs from patients out of crisis did not differ from those of controls in binding to either untreated (Fig 1C) or TNFα-treated endothelium (Fig 1D).
Increased adherence of blood PMNs to untreated and TNF-treated cultured endothelium in sickle cell crisis. Summary of results comparing the adherence of PMNs from 18 control subjects and 18 sickle cell patients in crisis to (A) untreated and (B) TNF-treated endothelium and of PMNs from 25 control subjects and 25 patients out of crisis to (C) untreated and (D) TNF-treated endothelium. Each line represents an experiment in which PMNs from 1 patient and 1 control subject were incubated with endothelial monolayers prepared from the same umbilical cord vein. Half of the monolayers had been pretreated with 10 U/mL TNF for 4 hours. 51Cr-labeled PMNs (2 × 105/100 μL) suspended in DMEM with 10% autologous serum were added to confluent monolayers in 96-well microtiter plates. After coculture for 1 hour at 37°C, the nonadherent PMNs were removed by washing, the monolayer was lysed by 0.1 N NaOH, and the radioactivity associated with adherent PMNs was counted. The results, which are the mean value of quadruplicate measurements, are expressed as the percentage of adherent PMNs in relation to the total number of PMNs added to the monolayers. Overall, the PMNs from patients in crisis were more adherent than control PMNs to untreated endothelial monolayers (P < .001) and to TNF-treated monolayers (P = .002).
Increased adherence of blood PMNs to untreated and TNF-treated cultured endothelium in sickle cell crisis. Summary of results comparing the adherence of PMNs from 18 control subjects and 18 sickle cell patients in crisis to (A) untreated and (B) TNF-treated endothelium and of PMNs from 25 control subjects and 25 patients out of crisis to (C) untreated and (D) TNF-treated endothelium. Each line represents an experiment in which PMNs from 1 patient and 1 control subject were incubated with endothelial monolayers prepared from the same umbilical cord vein. Half of the monolayers had been pretreated with 10 U/mL TNF for 4 hours. 51Cr-labeled PMNs (2 × 105/100 μL) suspended in DMEM with 10% autologous serum were added to confluent monolayers in 96-well microtiter plates. After coculture for 1 hour at 37°C, the nonadherent PMNs were removed by washing, the monolayer was lysed by 0.1 N NaOH, and the radioactivity associated with adherent PMNs was counted. The results, which are the mean value of quadruplicate measurements, are expressed as the percentage of adherent PMNs in relation to the total number of PMNs added to the monolayers. Overall, the PMNs from patients in crisis were more adherent than control PMNs to untreated endothelial monolayers (P < .001) and to TNF-treated monolayers (P = .002).
Four of the patients in crisis were also studied at subsequent visits to the clinic (2 attendances in 8 months). Attachment of PMNs from these patients, who were now out of crisis, to untreated and TNF-treated monolayers was similar to that of PMNs from age- and sex-matched healthy subjects. After 10 months, 1 patient was readmitted with a sickle cell crisis. Analysis of his PMNs showed that the adherence to resting and TNF-treated endothelial cells was greater than that of control blood PMNs (65% and 84% increase, respectively;P < .01).
Expression of CD64 and adhesion molecules on the surface of PMNs.
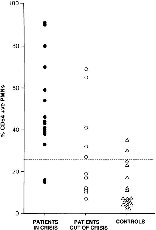
Figure 2 shows the distribution of PMNs possessing the high-affinity Fc receptor CD64 in the blood of 16 patients in crisis, 11 patients out of crisis, and 22 normal subjects. The median values (and 95% confidence intervals) for the prevalence of CD64+ PMNs in the crisis group was 44% (17% to 88%); in the out of crisis group was 21% (8% to 68%); and in the normal subjects was 6.5% (5% to 32%). χ2 analysis showed that patients in crisis had a significantly higher proportion of CD64+ PMNs than did patients out of crisis (P = .025). Both groups of patients had a significantly higher percentage of CD64+ PMNs than did the normal group (patients in crisis,P < .001; patients out of crisis, P = .02). The mean fluorescence intensity of CD64 expression on PMNs from patients in crisis (MFI = 16 ± 8) and out of crisis (MFI = 10 ± 4) did not differ from that of control PMNs (MFI = 11 ± 5). The distribution and surface expression of the β2 integrin family (CD11a, CD11b, CD11c, and CD18), L-selectin, and CD15 were similar for controls and patients either in or out of crisis.
Increased numbers of CD64+ PMNs in the blood of sickle cell patients in crisis. Scattergram showing flow cytometric analysis of the distribution of CD64+ PMNs in the blood of 16 patients in crisis (•), 11 patients out of crisis (○), and 22 normal healthy subjects (▵). The horizontal line (26%) represents a threefold value above the median percentage CD64+ PMNs of the 22 normal subjects. The figure shows that, whereas CD64+ PMNs both in and out of crisis were supranormal (in crisis, χ2 = 23.4, P < .001; out of crisis, χ2 = 5.8, P = .02), their proportion in crisis was significantly greater than that out of crisis (χ2 = 5.53, P = .025). PMNs (1 × 106 cells) were incubated with anti-CD64 antibody (10 μL) for 30 minutes at 4°C. Cells were washed and the FITC conjugated Ig (25 μL) was added for a further 30 minutes at 4°C. Cells were then washed twice, fixed with 1% paraformaldehyde-PBS, and analyzed using flow cytometry.
Increased numbers of CD64+ PMNs in the blood of sickle cell patients in crisis. Scattergram showing flow cytometric analysis of the distribution of CD64+ PMNs in the blood of 16 patients in crisis (•), 11 patients out of crisis (○), and 22 normal healthy subjects (▵). The horizontal line (26%) represents a threefold value above the median percentage CD64+ PMNs of the 22 normal subjects. The figure shows that, whereas CD64+ PMNs both in and out of crisis were supranormal (in crisis, χ2 = 23.4, P < .001; out of crisis, χ2 = 5.8, P = .02), their proportion in crisis was significantly greater than that out of crisis (χ2 = 5.53, P = .025). PMNs (1 × 106 cells) were incubated with anti-CD64 antibody (10 μL) for 30 minutes at 4°C. Cells were washed and the FITC conjugated Ig (25 μL) was added for a further 30 minutes at 4°C. Cells were then washed twice, fixed with 1% paraformaldehyde-PBS, and analyzed using flow cytometry.
Effect of patients' serum, cytokines, and FMLP on the distribution of CD64+ PMNs and on the binding of PMNs to endothelial monolayers.
All of the above-noted adherence studies were performed in the presence of autologous serum. Thus, the abnormal adherence properties of PMNs from patients in crisis and their high prevalence of CD64 positivity may have arisen from the activity of soluble, adherence-promoting factors. To test this possibility, PMNs from healthy subjects and sickle cell patients out of crisis were incubated for 24 hours in serum from patients in crisis before assay. Such treatments did not modify CD64 expression or the binding of PMNs to untreated endothelial monolayers (Fig 3). IFN-γ is known to increase the number of PMNs expressing CD6415 and Fig 3A shows that, after 24 hours of incubation, this cytokine expanded the CD64 population of PMNs from control subjects and patients out of crisis. However, IFN-γ failed to increase the attachment of normal blood PMNs to endothelium and a dose-dependent increase in CD64 expression by IFN-γ did not produce a parallel change in PMN attachment to endothelium (Table 1). Incubation of PMNs with the cytokines G-CSF, GM-CSF, TNFα, IL-1, IL-6, or IL-8 for 24 hours had no effect on CD64 expression or adherence (Fig 3B). When the above-mentioned experiments were repeated using 4 hours of incubation, neither the cytokines, including IFN-γ, nor the sera modified CD64 expression or PMN binding to endothelium (data not shown). An increase in binding was only recorded after treatment with the PMN agonist FMLP, which itself did not modify the distribution of CD64. Ten sera from patients in crisis and 10 from patients out of crisis and controls were also screened for their levels of G-CSF, GM-CSF, IFN-γ, TNFα, IL-1, IL-6, and IL-8. Analysis by immunoassay and bioassay showed that all of the patient sera samples had levels of cytokines within normal limits.
Effects of cytokines and serum (A) on the expression of CD64 on PMNs and (B) on the binding of PMNs to untreated endothelium. (A) Blood PMNs (1 × 106 cells) from 5 patients out of crisis (▪) and from 5 normal healthy subjects (▧) were incubated with cytokines (10 U/mL except for IFN-γ, which was 50 U/mL) or 100 μL patient and control serum for 24 hours and with FMLP for 3 minutes before flow cytometric analysis. Only IFN-γ significantly increased the number of CD64+ PMNs (9 experiments) by comparison with the untreated samples (normal controls, P = .02; patients, P = .03). (B) PMNs from the 5 control subjects were also examined in the adherence assay. The cells were incubated with cytokines or serum for 24 hours or with FMLP for 3 minutes and overlaid onto untreated endothelial cells. A significant increase of PMN adherence was only seen after FMLP treatment (P = .008). In both (A) and (B), data are expressed as the mean result ± SD.
Effects of cytokines and serum (A) on the expression of CD64 on PMNs and (B) on the binding of PMNs to untreated endothelium. (A) Blood PMNs (1 × 106 cells) from 5 patients out of crisis (▪) and from 5 normal healthy subjects (▧) were incubated with cytokines (10 U/mL except for IFN-γ, which was 50 U/mL) or 100 μL patient and control serum for 24 hours and with FMLP for 3 minutes before flow cytometric analysis. Only IFN-γ significantly increased the number of CD64+ PMNs (9 experiments) by comparison with the untreated samples (normal controls, P = .02; patients, P = .03). (B) PMNs from the 5 control subjects were also examined in the adherence assay. The cells were incubated with cytokines or serum for 24 hours or with FMLP for 3 minutes and overlaid onto untreated endothelial cells. A significant increase of PMN adherence was only seen after FMLP treatment (P = .008). In both (A) and (B), data are expressed as the mean result ± SD.
Relationship Between PMN Adhesion and CD64 Expression After Activation by IFN-γ
| Concentration of IFN-γ (U/mL) . | Experiment No. 1 . | Experiment No. 2 . | Experiment No. 3 . | Experiment No. 4 . | ||||
|---|---|---|---|---|---|---|---|---|
| % CD64 . | % Adhesion . | % CD64 . | % Adhesion . | % CD64 . | % Adhesion . | % CD64 . | % Adhesion . | |
| 0 | 24 | 10 | 7 | 11 | 1 | 9 | 3 | 18 |
| 0.5 | 21 | 14 | 31 | 7 | 3 | 12 | 12 | 19 |
| 5 | 31 | 12 | 56 | 8 | 7 | 14 | 39 | 20 |
| 50 | 73 | 14 | 68 | 6 | 14 | 17 | 70 | 24 |
| 250 | 70 | 7 | 83 | 10 | 10 | 11 | 77 | 26 |
| Concentration of IFN-γ (U/mL) . | Experiment No. 1 . | Experiment No. 2 . | Experiment No. 3 . | Experiment No. 4 . | ||||
|---|---|---|---|---|---|---|---|---|
| % CD64 . | % Adhesion . | % CD64 . | % Adhesion . | % CD64 . | % Adhesion . | % CD64 . | % Adhesion . | |
| 0 | 24 | 10 | 7 | 11 | 1 | 9 | 3 | 18 |
| 0.5 | 21 | 14 | 31 | 7 | 3 | 12 | 12 | 19 |
| 5 | 31 | 12 | 56 | 8 | 7 | 14 | 39 | 20 |
| 50 | 73 | 14 | 68 | 6 | 14 | 17 | 70 | 24 |
| 250 | 70 | 7 | 83 | 10 | 10 | 11 | 77 | 26 |
In each experiment, blood PMNs from a different normal subject were incubated with IFN-γ for 24 hours at 37°C. Aliquots of the PMNs were assessed by flow cytometry for the expression of CD64 antigen and other samples applied to monolayers of untreated endothelial cells. Results are expressed as the percentage of cells expressing CD64 (% CD64) and as the percentage of PMNs adhering to endothelial monolayers (4 experiments). IFN-γ induced a dose-dependent increase in CD64 expression, but this effect was not related to an enhanced binding to untreated monolayers of endothelial cells as judged by Spearman's correlation coefficient.
CD64 expression and PMN adhesion to endothelium.
To determine whether PMNs bound to endothelial monolayers were CD64+, adherent PMNs from patients in crisis and normal healthy controls were stained with the anti-CD64 (10.1) antibody (see the Materials and Methods). The anti-CD64 antibody did not stain cultured endothelium. Table 2 shows that, before introduction into the adherence assay, the mean percentages of CD64+ PMNs in the patient and control samples were 46% and 10%, respectively. Examination of the monolayers with bound PMNs showed that the majority of adherent PMNs from both patients (mean, 71%) and controls (mean, 68%) expressed the CD64 phenotype.
Selective Adherence of CD64+ PMNs to Endothelial Monolayers
| Experiment No. . | % CD64+ PMNs . | |||
|---|---|---|---|---|
| Patients in Crisis . | Normal Healthy Subjects . | |||
| Added to Monolayers . | Bound to Monolayers . | Added to Monolayers . | Bound to Monolayers . | |
| 1 | 23 | 52 | 7 | 81 |
| 2 | 91 | 82 | 25 | 47 |
| 3 | 44 | 80 | 6 | 65 |
| 4 | 39 | 72 | 11 | 68 |
| 5 | 40 | 65 | 6 | 64 |
| 6 | 39 | 76 | 7 | 85 |
| Mean ± SD | 46 ± 23* | 71 ± 11* | 10 ± 7† | 68 ± 13† |
| Experiment No. . | % CD64+ PMNs . | |||
|---|---|---|---|---|
| Patients in Crisis . | Normal Healthy Subjects . | |||
| Added to Monolayers . | Bound to Monolayers . | Added to Monolayers . | Bound to Monolayers . | |
| 1 | 23 | 52 | 7 | 81 |
| 2 | 91 | 82 | 25 | 47 |
| 3 | 44 | 80 | 6 | 65 |
| 4 | 39 | 72 | 11 | 68 |
| 5 | 40 | 65 | 6 | 64 |
| 6 | 39 | 76 | 7 | 85 |
| Mean ± SD | 46 ± 23* | 71 ± 11* | 10 ± 7† | 68 ± 13† |
Results were obtained from 6 patients in crisis and 6 healthy controls. The table shows the distribution of CD64+ cells in PMN preparations before addition to endothelial monolayers and also in PMNs bound to the monolayers. The percentage of PMNs expressing CD64 before and after coculture with endothelium was determined by flow cytometry and immunochemistry, respectively. For the latter technique, PMNs were incubated with endothelial cells grown in 16-well chamber slides. After incubation for 1 hour at 37°C followed by washing, the monolayers were fixed with formaldehyde, stained with anti-CD64 antibody, and then developed by avidin-peroxidase. The number of CD64+ cells in the wells was calculated by counting 100 adherent PMNs under light microscopy. Each reading is the mean value obtained from triplicate wells. Endothelial-bound PMNs from both patients in crisis and normal subjects were found to be predominantly CD64+ cells.
P < .02 by the unpaired Student's t-test.
P < .001 by the unpaired Student's t-test.
Further adhesion experiments were undertaken with PMN fractions enriched for CD64+ and CD64− cells from normal blood by preparative flow cytometry. Because fewer cells were available for experiment, in comparison with the above-mentioned studies, the adherence assay was modified and results expressed as the number of PMNs bound per high power field (see the Materials and Methods). Table 3 shows that, in four experiments, the mean number of CD64+ PMNs bound to endothelium was 61 cells/high power field in contrast to only 8 cells/high power field with the CD64-depleted fractions (P = .004).
Enriched CD64+ PMNs Are Highly Adherent to Endothelial Monolayers
| Experiment No. . | No. of Adherent Cells/High Power Field . | |
|---|---|---|
| CD64+ . | CD64− . | |
| 1 | 89 ± 25 | 6 ± 4 |
| 2 | 33 ± 11 | 12 ± 3 |
| 3 | 56 ± 6 | 6 ± 1 |
| 4 | 65 ± 10 | 8 ± 4 |
| Mean ± SD | 61 ± 23* | 8 ± 3 |
| Experiment No. . | No. of Adherent Cells/High Power Field . | |
|---|---|---|
| CD64+ . | CD64− . | |
| 1 | 89 ± 25 | 6 ± 4 |
| 2 | 33 ± 11 | 12 ± 3 |
| 3 | 56 ± 6 | 6 ± 1 |
| 4 | 65 ± 10 | 8 ± 4 |
| Mean ± SD | 61 ± 23* | 8 ± 3 |
PMNs from healthy control subjects were separated into CD64+ and CD64− cells on a FACSorter (see Materials and Methods), and both populations were applied to untreated endothelial monolayers. Data are expressed as the mean ± SD number of adherent cells counted per high power field in triplicate assays. Results show that CD64+ PMNs are far more adherent than CD64− PMNs to endothelial monolayers prepared from the same umbilical cord vein.
P = .004 by the unpaired Student's t-test.
Finally, to ascertain whether CD64 had a role in promoting adhesion, PMNs from sickle cell patients were treated with anti-CD64 antibodies of three different clones (22, 32.2, and 197) for 30 minutes at 4°C before overlaying onto endothelial monolayers. Aliquots of PMNs were also incubated with anti-CD18 and anti–L-selectin antibodies and the RGD peptide. Table 4 shows that PMN adhesion to untreated endothelium was significantly impaired by anti-CD64 antibodies of clone 32.2 (mean inhibition, 33%; P = .01) and clone 197 (mean inhibition, 21%; P = .03) but not by those of clone 22. Only antibodies of clone 197 inhibited the attachment of PMNs to TNF-treated endothelium (mean inhibition, 29%;P = .004). Binding of PMNs from 6 healthy subjects to untreated and TNF-treated endothelial monolayers was not modified by any of the anti-CD64 antibodies. The anti-CD18 antibody inhibited the adhesion of patients' PMNs to untreated (mean inhibition, 45%; P = .02) and TNF-treated endothelium (mean inhibition, 43%; P = .01), and similar results were obtained with PMNs from normal healthy subjects. The adherence of PMNs from sickle cell patients to resting and activated endothelium was not impeded by isotype control antibodies, an RGD containing peptide, or anti–L-selectin antibodies (Table 4). When PMNs from 4 patients in crisis and 4 healthy controls were suspended in normal serum and added to TNF-activated endothelial cells that were pretreated for 1 hour with anti–ICAM-1 antibody, there was a mean 27% ± 6% (P < .05) and 19% ± 15% (P < .05) inhibition of adhesion, respectively. Anti–E-selectin antibodies did not significantly alter the adhesion of PMNs from patients in crisis or control subjects to TNF-treated endothelium, and immunocytochemical analysis28 showed that neither sera nor PMNs from 6 patients in crisis induced the expression of E- or P-selectin on endothelial monolayers.
Effect of Antibodies Against CD64, CD18, L-Selectin, and an RGD-Containing Peptide on the Binding of Sickle Cell PMNs to Endothelial Monolayers
| . | % Inhibition of Adhesion . | |||||||
|---|---|---|---|---|---|---|---|---|
| Anti-CD64 Antibodies . | Control Antibodies . | Anti-CD18 . | Anti–L-Selectin . | RGD Peptide . | ||||
| Clone 22 . | Clone 32.2 . | Clone 197 . | IgG1 . | IgG2 . | ||||
| Untreated endothelial monolayers | 42 ± 28 P = .053 (n = 6) | 33 ± 26* P = .01 (n = 7) | 21 ± 24* P = .03 (n = 14) | −7 ± 15 P ≥ .1 (n = 7) | −2 ± 9 P ≥ .1 (n = 14) | 45 ± 19* P > .1 (n = 6) | −4 ± 18 P > .1 (n = 6) | −2 ± 8 P ≥ .1 (n = 6) |
| TNF-treated endothelial monolayers | 36 ± 24 P = .052 (n = 6) | 26 ± 29 P = .068 (n = 7) | 29 ± 18* P = .004 (n = 14) | 3 ± 11 P ≥ .1 (n = 7) | −4 ± 13 P ≥ .1 (n = 14) | 43 ± 16* P > .1 (n = 6) | 19 ± 14 P > .1 (n = 6) | 6 ± 11 P ≥ .1 (n = 6) |
| . | % Inhibition of Adhesion . | |||||||
|---|---|---|---|---|---|---|---|---|
| Anti-CD64 Antibodies . | Control Antibodies . | Anti-CD18 . | Anti–L-Selectin . | RGD Peptide . | ||||
| Clone 22 . | Clone 32.2 . | Clone 197 . | IgG1 . | IgG2 . | ||||
| Untreated endothelial monolayers | 42 ± 28 P = .053 (n = 6) | 33 ± 26* P = .01 (n = 7) | 21 ± 24* P = .03 (n = 14) | −7 ± 15 P ≥ .1 (n = 7) | −2 ± 9 P ≥ .1 (n = 14) | 45 ± 19* P > .1 (n = 6) | −4 ± 18 P > .1 (n = 6) | −2 ± 8 P ≥ .1 (n = 6) |
| TNF-treated endothelial monolayers | 36 ± 24 P = .052 (n = 6) | 26 ± 29 P = .068 (n = 7) | 29 ± 18* P = .004 (n = 14) | 3 ± 11 P ≥ .1 (n = 7) | −4 ± 13 P ≥ .1 (n = 14) | 43 ± 16* P > .1 (n = 6) | 19 ± 14 P > .1 (n = 6) | 6 ± 11 P ≥ .1 (n = 6) |
Results are expressed as the mean percentage ± SD inhibition of PMN adherence to endothelium. Isotype control antibodies were IgG1 for clones 22 and 32.2 and IgG2a for clone 197. Adherence of PMNs to untreated endothelium was inhibited by two of the anti-CD64 antibodies (clones 32.2 and 197) and by the anti-CD18 antibody. Binding to TNF-treated endothelium was inhibited by antibodies of clone 197 and anti-CD18.
Abbreviation: n, number of patients studied.
P < .05 was considered to be a significant inhibition of adhesion.
DISCUSSION
The results demonstrate that peripheral blood PMNs from the majority of sickle cell patients in crisis were more adherent to cultured endothelial monolayers than PMNs from patients out of crisis and healthy control subjects. We also found that CD64 was more prevalent on PMNs from patients in crisis. An association of CD64 with adherence was suggested by the finding that anti-CD64 antibodies partially inhibited the binding of PMNs to endothelial cells and that most of the PMNs from the sickle cell patients and control subjects that bound to endothelial monolayers expressed the CD64 antigen. It is unlikely that endothelial interaction accounts for CD64 induction, because the adherence to endothelial monolayers of CD64-enriched PMNs, prepared by flow cytometry, was several fold greater than that of CD64-depleted PMNs. IFN-γ selectively increased the number of CD64+ PMNs from healthy subjects as well as from sickle cell patients, extending published work.18,29 Although IFN-γ induction of CD64 expression on PMNs is associated with enhanced phagocytic capacity,29 the cytokine did not further increase PMN attachment to endothelial cells.
The expression of CD64 is increased on PMNs from subjects of Afro-Caribbean descent30 and such individuals were almost exclusively the main population of our control group. Administration of G-CSF to neutropenic patients leads to an increase in the number of circulating CD64+ PMNs by an effect on myeloid precursors in the bone marrow.31,32 An increase in CD64 expression has recently been proposed to be a reliable indicator of a systemic inflammatory response.33 Circulating CD64+ PMNs are raised during the leukocytosis accompanying bacterial infections,20 and some of these patients have high serum levels of G-CSF.34 In the present study, sera from patients in crisis and out of crisis were found to contain normal levels of G-CSF, GM-CSF, IFN-γ, and other cytokines. High titers of anti-endothelial cell antibodies as measured by ELISA35were not detected in any of the patient samples and incubation of PMNs in patients sera did not enhance adherence or increase CD64 expression. Because the abnormal adhesiveness and increased CD64 distribution of PMNs from patients in crisis does not appear to be due to the activity of soluble factors in the circulation, they could be induced by contact of the cells with blood vessel walls in distinct areas of the vasculature or by the microenvironment of the bone marrow. Alternatively, PMN activation could result from interaction with erythrocytes since sickle erythrocytes are capable of binding to and stimulating the respiratory burst of PMNs.36
The relationship between CD64 expression and adherence was investigated further by blocking studies using three clones of anti-CD64 antibodies. Antibodies of clone 197 block Ig binding to CD64 and recognize a non-Fc binding domain of the molecule, whereas clones 22 and 32.2 do not inhibit IgG binding but are directed against CD64 epitopes that are distinct from one another and those recognized by clone 197.37 Clones 32.2 and 197 partially impaired the attachment of PMNs from sickle cell patients to untreated endothelium, but only clone 197 inhibited adhesion to TNF-treated endothelium. These findings introduce the consideration that, on sickle cell PMNs, determinants on the CD64 molecule might be recognizing unidentified endothelial ligands or that the 32.2 and 197 clones are interfering with the recognition of adhesion-promoting determinants associated with CD64. Although labeling of sickle cell PMNs with anti-CD64 antibodies (clone 10.1) did not impair CD11a or CD18 expression, these observations do not preclude the possibility that anti-CD64 antibodies are modifying the expression of active forms of these or other adhesion molecules present on the PMN surface. Occupancy of the high-affinity receptors by monomeric IgG could promote binding to Fc receptors expressed on endothelium, but this seems improbable because the introduction of monomeric IgG into the assay did not modify adherence and our studies with radiolabeled IgG aggregates showed that Fc receptors were not present on cultures of untreated or TNFα-treated endothelium (unpublished data). It is most likely that CD64 has only a passive role in adhesion and that it is a marker for adherent PMNs. Binding of normal blood PMNs to endothelial monolayers was not impaired by anti-CD64 antibodies and increasing the percentage of CD64+ cells in samples of normal blood PMNs activated by IFN-γ did not enhance binding to endothelial cells. Further investigations are warranted to establish whether the CD64 antigen is contributing in some way to the adhesion of PMNs in the crisis phase of sickle cell disease or whether it is simply a surrogate marker for a subpopulation of PMNs that preferentially bind to endothelium.
The demonstration that PMNs from some patients in crisis did not exhibit a supernormal binding for endothelial monolayers shows the variable nature of PMN adhesiveness. Such heterogeneity in adhesion could reflect the number and functional status of circulating PMNs available for attachment to vessel walls, which, in turn, depends on the stage and/or intensity of the painful crisis. Binding of PMNs to endothelial cells is controlled by the expression of surface adhesion molecules, which include the CD11/CD18 family and L-selectin,13 and our antibody blocking studies showed that CD18 was responsible for promoting the endothelial binding of nearly one half of the PMNs derived from patients and control subjects. Flow cytometric analysis showed that the adhesion molecules (CD11a, CD11b, CD11c, CD18, CD15, and CD62L) were normally expressed on PMNs of sickle cell patients in or out of crisis. Further investigations will clarify whether changes in conformation or phosphorylation of these molecules underlie the increased PMN adhesion in sickle cell crisis. The RGD-containing peptide did not impede PMN interaction, possibly because several endothelial adhesion molecules, including ICAM-1, do not contain or recognize an RGD sequence.15
The highest levels of PMN adherence occurred when cells from some of the patients in crisis were added to TNFα-treated endothelium. Inflammatory cytokines such as TNFα are generated by stress, by trauma, and at sites of infection and, because crises may be precipitated by these events,10 a role for such cytokines is implicated in the pathogenesis of vaso-occlusion. TNF acts on endothelial cells to enhance the expression of ICAM-1, which is recognized by members of the β2 leukocyte integrins. Our finding that antibodies directed against the β chain of this integrin family and against ICAM-1 inhibited to a similar extent the binding of PMNs from patients in crisis and controls to TNF-treated endothelium suggests that adhesion molecules other than the β2 integrins are responsible for the increased adhesiveness of sickle cell PMNs. Before margination, PMNs roll along vessel walls by binding to E- and P-selectins on the endothelial surface, and these vascular adhesion molecules are involved in the initial tethering of the cells to endothelium rather than their firm adhesion.13 38 Indirect support for this view comes from the demonstration that, in the static adherence assay of the current investigation, which measures strong leukocyte attachment, antibodies against E-selectin did not inhibit PMN adhesion and that incubation of endothelial cells with sera or PMNs from sickle cell patients in crisis did not generate either E- or P-selectin expression. However, it is conceivable that, under conditions of physiologic stress, these selectins could preferentially promote the rolling of sickle cell PMNs to inflammatory endothelium. Accordingly, experiments are planned to examine this consideration by introducing PMNs from sickle cell patients in crisis into a flow adhesion assay.
An enhanced adhesiveness of patient PMNs may relate to an increased susceptibility to FMLP-induced aggregation during crisis16and binding to blood vessel walls after experimentally induced vascular occlusion.17 Neutrophils from sickle cell patients were recently shown to exhibit an increased adherence to fibronectin39; it was postulated that this effect would promote adhesion to vascular endothelium or to the subendothelial matrix. Activation of PMNs enhances endothelial attachment40 and evidence of PMN activation in sickle cell disease is provided by low Fc receptor III expression and high intracellular levels of F-actin.41 The adherence of sickle PMNs to serum-coated glass was reported to be reduced during the crisis stage of the disease.42 Discrepancies between that study and the present investigation could arise from differences in experimental design or, alternatively, that during crisis PMNs are predisposed to endothelial attachment and downregulate surface moieties that govern interactions with serum components.
In conclusion, this study suggests that, in certain patients, PMNs may contribute to the vaso-occlusive crises of sickle cell disease. This could be envisaged in terms of aberrant PMN:endothelial interactions or of aberrant PMN interactions operating via the cytokine network.2 Unravelling the events governing pathophysiologic interactions of PMNs with endothelial cells in this disease may yield a more selective approach to the understanding and management of painful crises.
Supported by The Medical Research Council (UK), The Dunhill Medical Trust, and the Special Trustees of St Thomas' Hospital.
Address reprint requests to K. Alun Brown, PhD, Department of Immunology, The Rayne Institute, St Thomas' Hospital, London SE1 7EH, UK.
The publication costs of this article were defrayed in part by page charge payment. This article must therefore be hereby marked “advertisement” in accordance with 18 U.S.C. section 1734 solely to indicate this fact.



This feature is available to Subscribers Only
Sign In or Create an Account Close Modal