Introduction: CAR T-cell therapy has dramatically improved outcomes for patients (pts) with relapsed/refractory (r/r) DLBCL, with some achieving durable response. Still, the majority of pts have poor outcomes with CAR-T due to progressive disease, while inherent characteristics may predispose pts to CAR-T toxicities. Tools quantifying frailty and comorbidities have not been verified in large patient cohorts. The Cumulative Illness Rating Scale (CIRS) is a comprehensive tool that has been found to predict outcomes in various B cell malignancies. Here we use a machine learning algorithm to rank the prognostic impact of specific comorbidities, as measured by CIRS, and then assess survival and toxicities in pts treated with commercially available CAR T-cell products for DLBCL.

Methods: We conducted a retrospective RWE analysis of pts with r/r DLBCL who underwent leukapheresis for CART at 9 academic centers. CIRS was assessed at the time of T-cell collection and calculated as in Salvi et al, 2008. High comorbidity burden was defined using a published cutoff of CIRS score ≥7.

Progression-free survival (PFS) and overall survival (OS) were measured from T-cell collection. Repeated subsampling and random survival forest (RSF) modeling of PFS were used to determine the most prognostic CIRS categories in the presence of covariates. Cox proportional hazards models were fit to quantify the association between survival and the following patient features: IPI at diagnosis, concurrent indolent lymphoma, age, ECOG performance status, number of prior therapies, prior transplant, number of medications, cell of origin subtype, complex karyotype, MYC rearrangement by FISH, and MYC+BCL2/BCL6 rearrangement (double-hit). Associations between comorbidities and CAR-T adverse events were evaluated with Fisher's exact test.

Results: We analyzed data from 577 pts, with a median age of 63 (range, 19-90); 90% had ECOG 0-1. Median number of prior therapies was 3 (range, 1-11) and 25% of pts (n=143) had prior autologous stem cell transplant. GCB subtype was found in 54% of pts (n=312), with 38% (n=218) non-GCB and 8% (n=47) unknown (Hahn's algorithm). MYC gene rearrangement was present in 21% and double-hit in 16% with 9% lacking FISH. Twenty-seven pts (4.7%) died before CAR-T infusion (progressive disease in 24 and infection in 3). Of the 550 pts who received CAR-T, 71% (n=393) got axicabtagene ciloleucel, 22% (n=120) tisagenlecleucel, and 7% (n=37) lisocabtagene maraleucel. The median CIRS score was 7 (range, 0-25) with 54% (n=309) having CIRS ≥7. The most frequent comorbidities were seen in the vascular (51%), endocrine (45%), and hypertension (43%) organ system categories.

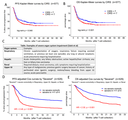
PFS event was observed in 56% of pts and 41% died, while survivors had a median follow-up time of 20 months. Median survival estimates were 11 months (95% CI: 8 - 15) for PFS and 30 months (95% CI: 23 - NA) for OS. CIRS ≥7 was significantly associated with PFS (HR=1.26, Fig 1A) and OS (HR=1.35, Fig 1B) in univariable analysis. According to RSF variable importance and node splits, key CIRS categories were respiratory, upper GI, renal, and hepatic (Fig 1C).

Multivariable analysis showed higher ECOG (2/3 vs 1 vs 0) and 3 or more prior lines of treatment predicted shorter PFS and OS. Non-GCB subtype was related to reduced PFS but not OS, while double-hit status did not correlate with either outcome. Interestingly, CIRS ≥7 was not a significant predictor of outcomes in multivariable models. However, a severe comorbidity in any of the above four systems (denoted "Severe4", 9% of pts) was independently associated with inferior PFS (HR=2.45, Fig 1D) and OS (HR=2.30, Fig 1E).

Although CIRS ≥7 was not associated with the development of CRS, pts with "Severe4" had a higher rate of grade ≥3 CRS (16% vs 6%; p=0.013). In addition, development of grade ≥3 ICANS was associated with CIRS ≥7 (26% vs 12%; p<0.001).

Conclusions: In this large RWE study, we demonstrate that CIRS is predictive of outcomes and identify a composite index comprising four CIRS organ systems (respiratory, upper GI, renal and hepatic; "Severe4") that had prognostic significance in CAR-T recipients for r/r DLBCL. "Severe4" is predictive of severe CRS and CIRS ≥7 is predictive of severe ICANS. The underlying mechanism leading to this observation is an area of active ongoing investigation. Given these results, CIRS evaluation and "Severe4" should be considered prior to CAR-T in DLBCL.

GS & AK contributed equally

Disclosures

Shouse:Beigene Pharmaceuticals: Honoraria; Kite Pharmaceuticals: Speakers Bureau. Jaglowski:Novartis: Consultancy, Research Funding; Kite, a Gilead Company: Consultancy, Research Funding; Juno: Consultancy; Takeda: Consultancy; CRISPR Therapeutics: Consultancy. Shadman:Abbvie, Genentech, AstraZeneca, Sound Biologics, Pharmacyclics, Beigene, Bristol Myers Squibb, Morphosys, TG Therapeutics, Innate Pharma, Kite Pharma, Adaptive Biotechnologies, Epizyme, Eli Lilly, Adaptimmune , Mustang Bio and Atara Biotherapeutics: Consultancy; Mustang Bio, Celgene, Bristol Myers Squibb, Pharmacyclics, Gilead, Genentech, Abbvie, TG Therapeutics, Beigene, AstraZeneca, Sunesis, Atara Biotherapeutics, GenMab: Research Funding. Patel:Kite Pharma: Consultancy, Speakers Bureau; Morphosys: Consultancy; Janssen: Consultancy; Genentech: Consultancy; Bristol Myers Squibb: Consultancy, Speakers Bureau; Pharmacyclics: Consultancy; Abbvie: Consultancy; TG Therapeutics: Consultancy, Speakers Bureau; MEI Pharma: Consultancy; BeiGene: Consultancy; AstraZeneca: Consultancy, Research Funding, Speakers Bureau; ADC Therapeutics: Consultancy; Lilly: Consultancy. Stephens:CSL Behring: Consultancy; Celgene: Consultancy; AstraZeneca: Consultancy; Abbvie: Consultancy; Novartis: Research Funding; JUNO: Research Funding; Mingsight: Research Funding; Arqule: Research Funding; Adaptive: Membership on an entity's Board of Directors or advisory committees; TG Therapeutics: Membership on an entity's Board of Directors or advisory committees; Epizyme: Membership on an entity's Board of Directors or advisory committees; Beigene: Membership on an entity's Board of Directors or advisory committees; Innate Pharma: Membership on an entity's Board of Directors or advisory committees; Karyopharm: Membership on an entity's Board of Directors or advisory committees, Research Funding. Kamdar:TG Therapeutics: Research Funding; Adaptive Biotechnologies: Consultancy; ADC Therapeutics: Consultancy; AstraZeneca: Consultancy; Genentech: Research Funding; Genetech: Other; Celgene: Other; SeaGen: Speakers Bureau; Celgene (BMS): Consultancy; Kite: Consultancy; KaryoPharm: Consultancy; AbbVie: Consultancy. Hill:Novartis: Consultancy, Honoraria, Research Funding; Kite, a Gilead Company: Consultancy, Honoraria, Other: Travel Support, Research Funding; Pfizer: Consultancy, Honoraria; AbbVie: Consultancy, Honoraria, Research Funding; Epizyme: Consultancy, Honoraria; Karyopharm: Consultancy, Honoraria, Research Funding; Celgene (BMS): Consultancy, Honoraria, Research Funding; Gentenech: Consultancy, Honoraria, Research Funding; AstraZenica: Consultancy, Honoraria; Incyte/Morphysis: Consultancy, Honoraria, Research Funding; Beigene: Consultancy, Honoraria, Research Funding. Karmali:Genentech: Consultancy; BeiGene: Consultancy, Speakers Bureau; Kite, a Gilead Company: Consultancy, Research Funding, Speakers Bureau; Karyopharm: Consultancy; Takeda: Research Funding; EUSA: Consultancy; Epizyme: Consultancy; Roche: Consultancy; Morphosys: Consultancy, Speakers Bureau; AstraZeneca: Speakers Bureau; BMS/Celgene/Juno: Consultancy, Research Funding; Janssen/Pharmacyclics: Consultancy. Kittai:Abbvie: Consultancy; Bristol-Meyers Squibb: Consultancy; Janssen: Consultancy. Danilov:Abbvie: Consultancy, Honoraria; TG Therapeutics: Consultancy, Research Funding; Takeda Oncology: Research Funding; Genentech: Consultancy, Honoraria, Research Funding; Pharmacyclics: Consultancy, Honoraria; Beigene: Consultancy, Honoraria; Bayer Oncology: Consultancy, Honoraria, Research Funding; Gilead Sciences: Research Funding; Bristol-Meyers-Squibb: Honoraria, Research Funding; Rigel Pharm: Honoraria; Astra Zeneca: Consultancy, Honoraria, Research Funding; SecuraBio: Research Funding.

Sign in via your Institution