Introduction
In the last decades Multiple Myeloma (MM) has had a surge in clinical research and novel therapies with a subsequent impact in clinical outcomes. Nonetheless, these changes have stagnated and remain slow-occurring in populations without wide accessibility to therapies. Worse outcomes have been related to multiple factors, both patient and myeloma-related. There is scarce data regarding resource-poor settings like in Latin America; where economic disadvantage, multiple comorbidities, and higher disease aggressiveness could all play competing roles towards unfavorable results. The aim of this study was to analyze the contemporary relevance and impact of social, economic, and biological factors on the real-world outcomes in Latin American patients treated in a referral center with limited resources.
Methods
Retrospective single center study that included >18 year-old patients with MM diagnosis, defined by IMWG criteria, treated and followed at our institution from January 2006 to December 2018.
We determined the impact of patient- and myeloma-related factors on the decision of induction therapy and overall survival. Patient-related factors were: age at diagnosis, socioeconomic status (SES) according patient´s income, performance status measured by ECOG, and comorbidities at diagnosis scored by Charlson Comorbidity Index (CCI). Myeloma-related factors included: ISS, Durie-Salmon (DSS), cytogenetics, response to treatment, type of induction therapy, and access to hematopoietic stem cell transplantation (HSCT).
Results
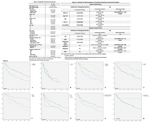
A total of 245 patients were included. In our cohort 84.7% were considered of low SES (household income <180 USD/month), 29.8% had a low performance status (ECOG >2), and 89.4% had ISS ≥2. Additional baseline characteristics are presented in Figure 1.
Thirty patients (12.24%) were managed only with best supportive care. Factors associated with a decreased likelihood of undergoing induction treatment included ECOG>2 (p=0.031), any comorbidity at diagnosis (p=0.028), and a CCI≥2 (p=0.002). Age ≥65 years (p=0.213), SES (p=0.287), as well as myeloma-related factors including ISS (p=0.720), DSS (p=0.699), and high-risk cytogenetics (p=0.089) had no discernible impact on this decision (Figure 2).
The 215 patients that received therapy were included in the survival analysis (Figure 3). Median OS was 44.8 months. Patient-related factors for decreased survival were age≥65 years (p=0.04), and ECOG>2 (p=0.001). Myeloma-specific factors including high ISS (p=0.002), DSS-B (p=0.029), induction without novel drugs (p=0.019), no consolidation with HSCT (p=0.005), and less profound responses (p<0.001) had a negative impact on OS.
On multivariate analysis: ECOG>2 (HR 1.96; CI95% 1.27 -3.04; p=0.004), DSS-B (HR 1.51; CI95% 1.03 - 2.21; p=0.04), and induction without novel drugs (HR 1.49; CI95% 1.08 - 2.06; p=0.016) were all associated with worse OS. More profound responses to therapy (HR 0.27; CI95% 0.20 - 0.37; p<0.001) showed a protective effect.
Conclusion
This is a study conveying outcomes in a resource-poor setting in a very low-income population with scant access to novel therapies. Interestingly, patient-related factors including performance status and CCI were useful in determining initiation of therapy, regardless of age and myeloma-related factors. Once patients underwent therapy, survival outcomes were determined by myeloma-related factors and patient's performance status. Despite not being statistically significant, possibly due to limited number of patients, high SES showed a trend towards increased access to multiple therapies and OS.
These are real-world-setting results that emphasize that it is imperative to develop strategies that allow the homogenization of access to novel drugs and HSCT world-wide.
Martinez-Banos:Celgene, Amgen: Other: Advisory Board.
Author notes
Asterisk with author names denotes non-ASH members.

This feature is available to Subscribers Only
Sign In or Create an Account Close Modal