Introduction: Socioeconomic factors including insurance and marital status have impacts on the outcomes of cancer patients. Until now, there are few data regarding whether insurance status and marital status have effects on the outcomes of patients with chronic lymphocytic leukemia (CLL). In this study, the Surveillance, Epidemiology, and End Results (SEER) database was used to evaluate the prognostic roles of insurance and marital status in patients with CLL.
Methods: Data from the SEER 18 Registries were used to conduct this study. Cases with newly-diagnosed CLL/small lymphocytic lymphoma (CLL/SLL) (International Classification of Diseases for Oncology, 3rd Edition [ICDO-3] codes 9823) in the time period between 2008 and 2015 were included. Exclusion criteria included history of cancer, unknown insurance status, unknown marital status, unknown survival data, unknown cause of death and survival months documented as 0. For each case we included age at the time of diagnosis, sex, marital status (married, divorced, single, widowed, unmarried or domestic partner, or separated), insurance status (Medicaid, insured, or uninsured), SEER cause-specific death classification, survival months and vital status. Survival curves were plotted by the Kaplan-Meier method and the log-rank test was used for comparison. P value was 2-sided and P<0.05 was considered to be statistically significant. All analyses were conducted using Graphpad Prism 6.
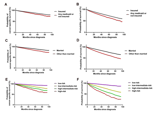
Results: Atotal of 23,611 patients with CLL/SLL were included into the current analysis. The median follow-up was 34 months. We found that insurance status (uninsured or Medicaid) was significantly associated with decreased cancer-specific survival (CSS) (hazards ratio[HR]: 1.378, 95% confidence interval [CI]:1.251-1.664, P<0.0001) and overall survival (OS) (HR: 1.413, 95%CI:1.357-1.645, P<0.0001) (Figure 1A-B). Marital status (other than married) was also associated with decreased CSS (HR: 1.692, 95%CI:1.604-1.898, P<0.0001) and OS (HR: 1.791, 95%CI:1.757-1.968, P<0.0001) (Figure 1C-D). We then developed a prognostic index incorporating insurance status, marital status, and the well-known prognostic factor age (age≥65), with each risk factor being assigned 1 point. Four risk groups were generated: low (0), low-intermediate (1), high-intermediate (2), and high (3). The 5-year CSS rates for patients in low-risk, low-intermediate-risk, high-intermediate-risk, and high-risk subgroups were 94.2%, 85.8%, 77.7%, and 67.0%, respectively (P<0.0001) (Figure 1E). And the 5-year OS rates for patients in low-risk, low-intermediate-risk, high-intermediate-risk, and high-risk subgroups were 90.8%, 71.3 %, 55.7%, and 41.5%, respectively (Figure 1F) (P<0.0001).
Conclusion: Insurance status and marital status have significant impacts on survival outcomes of patients with CLL/SLL. A 3-points prognostic index comprising insurance status, marital status and age could be used for risk stratification for patients with CLL/SLL.
No relevant conflicts of interest to declare.
Author notes
Asterisk with author names denotes non-ASH members.

This feature is available to Subscribers Only
Sign In or Create an Account Close Modal