Introduction

Adult T-cell leukemia/lymphoma (ATL) is a peripheral T-cell neoplasm triggered by HTLV1 infection. According to the Japanese studies, the median onset of disease is around age 60 (Yamada Y et al. Br J of Haematol 2001, Kamiunten A et al. Hematol Oncol 2018).

The aggressive forms exhibit a poor prognosis, due to intrinsic or acquired chemotherapy resistance and severe immunosuppression. Combination chemotherapy can improve the response rates, and consolidation with allogenic hematopoietic stem cell transplantation (allo-HSCT) prolongs complete remission (CR) (Yamada Y et al. Br J of Haematol 2001, Kamiunten A et al. Hematol Oncol 2018). The overall survival (OS) rates at 1 and 2 years after transplantation were reported to be 34% and respectively 27% (Kamiunten A et al. Hematol Oncol 2018).

Romania is one of the regions with the highest prevalence of HTLV1 infection (5.33 at 10.000 donors in 2003-2008, Leperche S et al. Vox Sang 2009), therefore the prevalence of ATL is also higher.

Methods

A prospective observational study was performed on all patients with aggressive forms of ATL, diagnosed in Bucharest between April 2010 and January 2019, respectively 56 patients. Patients under 18 years of age and with chronic or smoldering type were excluded. The goal of this study was to better describe the disease characteristics and to discover novel factors that influence response and survival. All patients were assessed in collaboration with Necker Hospital, Paris, France, as reference center. Clinical and lab data were collected, the treatment was administered at investigator choice using CHOP/CHOP-like, Hyper-CVAD and LSG15 regimens, and allo-HSCT was offered to all eligible patients as soon as CR was obtained.

Statistical analyses were performed using IBM SPSS Statistics 25. For survival analysis we used Kaplan-Meier estimate. The ROC curve was used to set cutoff values. The statistical significance was calculated using Chi-squared test and Fisher's exact test.

Results

In this study we analyzed a total of 56 ATL patients (M:F=1:1.3), with a median age of 42.5 years, all having aggressive types. Within this group, 33.9% had hypercalcemia and 73.2% elevated LDH (64.3% >2xN). Most used chemotherapy regimens were: CHOP/CHOP-like (60.7%), followed by LSG15 (23.2%) and Hyper-CVAD (7.1%); antiretroviral therapy (51.8%) and allo-HSCT (12.5%) were also used. LSG15 regimen is not fully applicable in our country due to unavailability of Ranimustine and Vindesine, therefore a small proportion of patients received this treatment.

In multivariate analysis, factors showing significant association with lower rate of CR were: age >40.5 years, leukocytosis with a cut-off of 8950/μl, hypercalcemia >9.5 mg/dl, high LDH >512 U/L. LSG15 was associated with a higher CR rate (50%) compared to CHOP/CHOP-like (22.7%) and Hyper-CVAD (33.3%), although not statistically significant.

Median OS was 6.5 months (5.1 - acute type, 8.0 - lymphomatous type), versus 3.5 months in acute type and 9.5 months in lymphomatous type in previous data in our center.

Early death rate (< 1 month) was found in 8.9% (n=5) of patients. Factors associated with early death were: acute type (n=4), leukocytosis (n=5), hypercalcemia (n=4), high LDH (n=5), extranodal involvement (n=4).

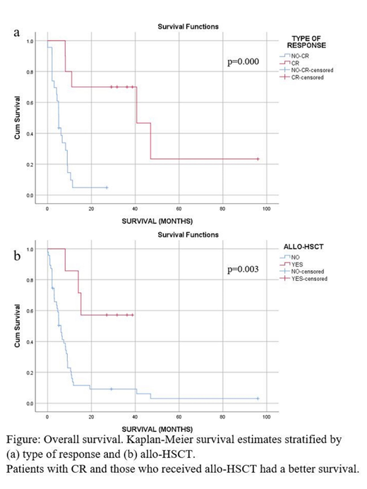
Patients who obtained CR (n=9) had a better survival that those who did not (median OS 40.7 vs 5.1 months, p=0.000) (Fig a); undergoing allo-HSCT also significantly increased OS (median OS not reached vs 6.1 months, p=0.003) (Fig b).

Among patients who underwent allo-HSCT, OS at 1 year and 2 years after the allo-HSCT were 57.1% and 42.9%, respectively. Three patients died, all less than 1 year after transplantation.

Conclusions

Median age at diagnosis in our group was lower (42.5 years) versus the Japanese studies (Yamada Y et al. Br J of Haematol 2001, Kamiunten A et al. Hematol Oncol 2018). This might reflect an origin of infection in the 1980s in Romania, where other outbreaks occurred by horizontal transmission in that period, including an outbreak of HIV-1 (Patrascu I V et al, Lancet 1990). Future in-depth studies of this cohort might better correlate age of infection, HTLV1 subtype and latency to ATL. The best predictors of better survival were obtaining CR and receiving allo-HSCT. Among the treatments we used, LSG15 regimen had higher rate of CR. Survival after transplantation was higher in our group compared to the Japanese studies (Kamiunten A et al. Hematol Oncol 2018).

Disclosures

Constantinescu:AgenDix GmbH: Other: Co-Founder, MyeloPro Research and Diagnostics; AlsaTech: Other: Co-Founde; Wiley & Sons: Other: Editor in Chief, Journal of Cellular and Molecular Medicine; Novartis: Membership on an entity's Board of Directors or advisory committees, Speakers Bureau. Hermine:Celgene: Research Funding; AB science: Consultancy, Equity Ownership, Honoraria, Research Funding; Novartis: Research Funding.

Author notes

*

Asterisk with author names denotes non-ASH members.

Sign in via your Institution