Introduction: Acute graft versus host disease (aGVHD) remains a leading cause of morbidity and mortality in allogeneic hematopoietic stem marrow transplant (allo-HSCT), with rates ranging from 30% to 70%. Preventing GVHD without impairing the graft-versus-tumor effect remains an important goal for successful allo-HSCT. Tacrolimus (TAC), a calcineurin inhibitor that prevents T-cell activation, is commonly used as aGVHD prophylaxis. The influence of TAC has proved effective for preventing aGVHD after allo-HSCT. There is also variability in the serum concentrations of TAC and very little is known on the impact of early (first 4 weeks) TAC levels on aGVHD incidence. Given the immunologic events that lead to aGVHD, which occur within the first few days after transplant, we sought to assess whether early TAC levels were associated with aGVHD.
Methods: Data were analyzed for 707 consecutive patients undergoing allo-HSCT at the Ohio State University between 2002- 2016. All patients received standard prophylaxis with TAC daily and methotrexate at a dose of 5mg/m2 on days +1, +3, +6, and +11 post allo-HSCT. Patients received anti-thymoglobulin (ATG) if receiving stem cells from an unrelated/mismatch related donor. The TAC target range was 5-12 ng/mL averaged over a 7-day period. The primary outcome of interest was the incidence of aGVHD and its association with the mean weekly TAC levels. Secondary endpoints included incidence of chronic GVHD (cGVHD), relapse and overall survival (OS). Fine and Gray's proportional hazard models accounting for competing risks were used to evaluate the association between TAC levels and outcome of aGVHD, cGVHD and relapse. Cox proportional hazard models were used for the association with OS. Mean weekly TAC levels were included in the analyses as continuous variables and then divided into tertiles. A multivariable model adjusted for confounding factors.
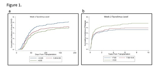
Results: Among the 707 patients, median age was 53 years (range: 19-75) and 60.7% were male. In all, 68% patients received reduced-intensity conditioning and the remaining 32% received myeloablative conditioning. The median age of donors was 34 years (range: 18-81) with 74.7% male. Of the donors, 36.9% were match related and 55.9% match unrelated. Peripheral blood was the stem cell source for 90.2% of the patients. A total of 449 (63.5%) patients received ATG. The diagnosis included acute myeloid leukemia (36.3%), non-Hodgkin lymphoma (16.41%), myelodysplastic syndrome (11.7%), and acute lymphoblastic leukemia (11.88%). The mean weekly TAC concentrations at weeks 1, 2, 3 and 4 were 8.0, 9.7, 11.3 and 10.5 ng/mL, respectively. The cumulative incidence of grades II-IV aGVHD was 40% (95% confidence interval (95% CI): 36%-43%) at day 100 and 45% (95% CI: 41%-48%) at day 180 post-transplant. In univariable analysis, high TAC level at week 1 was associated with lower grade II-IV aGVHD (Hazard ratio (HR), 0.96; 95%CI, 0.93-0.99; p = 0.006). We examined the effect of week 1 TAC levels categorized into tertiles (< 5.85, 5.85-8.95 and >8.95 ng/ml). Higher level of TAC (>8.95 ng/ml) was associated with lower risk of aGVHD (Figure 1a). In multivariable analysis, week 1 TAC levels > 5.85 ng/ml remained associated with a lower risk of grade II-IV aGVHD. However, only levels of 5.85-8.95 ng/ml were associated with statistically significant lower risk with HR=0.75 95% CI, 0.57-0.98; p=0.04 compared to the lower group (<5.85 ng/ml), adjusting for conditioning, related donors, HLA match and comorbidity index (CI). Week 1 TAC was also associated with reduced risk of cGVHD at TAC levels >7.2 ng/ml (HR: 0.78, 95%CI: 0.62-0.98; p=0.03). The cumulative incidence of cGVHD was 41% (95% CI: 37%-44%) at 1 year post-allo-HSCT. Since GVHD is closely intertwined with the graft-versus-tumor effect, we examined whether early TAC levels influenced the risk of disease relapse. TAC levels at week 1 were not associated with relapse. However, week 2 TAC level >10.6 ng/ml was associated with an increased risk of relapse in multivariable analysis (HR, 1.37, CI, 1.01-1.85, p=0.043) (Figure 1b), after adjusting for confounding variables. The cumulative incidence of relapse at 1, 3 and 5 year post allo-HSCT was 33%, 38% and 40%, respectively. TAC levels at weeks 1, 2, 3 and 4 were not associated with OS.
Conclusion: Achieving mean whole-blood level of tacrolimus between 6.0-9.0 ng/ml within the first week post-allogenic bone marrow transplantation may reduce the risk of aGVHD.
Rosko:Vyxeos: Other: Travel support. Vasu:Boehringer Ingelheim: Other: Travel support; Seattle Genetics: Other: Clinical trial support. Jaglowski:Kite: Consultancy, Other: advisory board, Research Funding; Juno: Consultancy, Other: advisory board; Novartis: Consultancy, Other: advisory board, Research Funding; Unum Therapeutics Inc.: Research Funding. William:Techspert: Consultancy; Guidepoint Global: Consultancy; Defined Health: Consultancy; Celgene Corporation: Consultancy; Kyowa Kirin, Inc.: Consultancy. Mims:Agios Pharmaceuticals: Membership on an entity's Board of Directors or advisory committees; Abbvie: Membership on an entity's Board of Directors or advisory committees; Jazz Pharmaceuticals: Membership on an entity's Board of Directors or advisory committees; Astellas Pharmaceuticals: Membership on an entity's Board of Directors or advisory committees; PTC Therapeutics: Membership on an entity's Board of Directors or advisory committees. Brammer:Bioniz Therapeutics, Inc.: Research Funding; Viracta Therapeutics, Inc.: Research Funding; Verastem, Inc: Research Funding. Saad:Actinium Pharma Inc: Consultancy; Amgen: Other: Research Support; Kadmon: Other: Research Support; OrcaBio: Other: Research Support. Efebera:Janssen: Speakers Bureau; Akcea: Other: Advisory board, Speakers Bureau; Takeda: Honoraria.
Author notes
Asterisk with author names denotes non-ASH members.

This feature is available to Subscribers Only
Sign In or Create an Account Close Modal