Purpose
De novo CD5+ DLBCL is increasingly recognized as a distinct pathologic phenomenon with a specific clinical picture. However, De novo CD5+ DLBCL has not been studied on a large scale in China. In this study, we evaluated the frequency, clinicopathological characteristics of de novo CD5+ DLBCL and prognostic impact of CD5 expression, and patient survival in our center.
Methods
In this study, we retrospectively investigated 745 DLBCL cases treated at Tianjin medical university cancer institute and hospital between 2000 and 2017, sub-classifying them as germinal center B cell-like (GCB) and non-GCB type by immunohistochemical staining with CD10, BCL6 and MUM-1, and then comparing the prognosis. We used a cutof ≥50% tumor cells for CD5 to be considered positive.
Results
In the enrolled DLBCL patients, 64 (9.2%) were CD5+ and 631 (90.8%) were CD5-. There was no significant difference in age, sex, extranodal involvement, serum LDH, C-myc overexpression and CNS relapse between these two groups. In the CD5+group, the cell of origin was non-GCB type in 46 cases (71.9%); the ratio of non-GCB type in the CD5+ group was higher than that in the CD5-group (P=0.033). Comparison of the clinical characteristics of CD5+ vs CD5-DLBCL patients showed that CD5+ DLBCL patients were more frequently elderly (>60 years), and had B-symptoms, high performance status, stage III-IV, an IPI score >2, and BM involvement. 46.9% of the CD5+ patients, compared to 9.4% CD5-DLBCL patients, showed BM involvement at diagnosis.
Almost 84.4% of CD5+DLBCL patients had concurrent overexpression (≥50% of the tumor cells) of antiapoptotic Bcl-2, an unfavorable biomarker. This frequency was significantly higher than that in CD5-DLBCL patients (67.2%, P=0.032). Similarly, the P53 positive rate (≥50% of the tumor cells) of CD5+DLBCL (46.9%) is significantly higher than that of CD5-DLBCL (17.6%, P=0.011).
Univariate Cox analysis identified the following prognostic factors: CD5 positive, age >60 years, IPI≥3, BM/PB involvement, performance status and stage (III or IV). Intensive chemotherapy was not identified as significantly prognostic by univariate analysis.
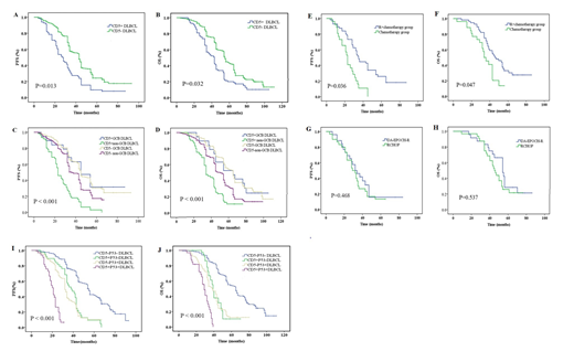
The CD5+GCB group showed no significant differences compared to CD5-GCB group for both PFS and OS, whereas the CD5+ non-GCB DLBCL and CD5- non-GCB DLBCL showed significantly worse prognosis compared to other groups. (P < 0.001, PFS and OS, respectively) (Fig.1A; 1B; 1C; 1D)
In CD5+ DLBCL, PFS and OS in patients treated with rituximab were significantly better than those without rituximab. Three-year PFS was 41.1% for the former and 15.4% for the latter (P=0.036, Fig. 1E), and three-year OS were 60.7 and 46.2% (P=0.047, Fig. 1F). Next, we evaluated the therapeutic responses of different chemotherapy regiments. A total of 20 patients received treatment with R-CHOP and 24 patients received DA-EPOCH-R. Patients treated with R-CHOP showed similar PFS and OS compared with intensive treatment group (Fig. 1G,1H).
Of the 631 cases of CD5- DLBCL, only 111 cases (17.6%) showed p53 overexpression. In contrast, p53 was overexpressed in 30 (46.9%) of 64 CD5+ DLBCL. As shown in Fig. 1, PFS and OS in patients with overexpression of either p53 or CD5 alone were significantly different from those in patients with p53- /CD5- DLBCL. However, patients with p53 and CD5 co-overexpression had the worst PFS and OS (P < 0.001, PFS and OS, respectively) (Fig. 1I, 1J). These data suggest that the negative prognostic impact of p53 and CD5 overexpression was augmented when both variables existed. In fact, all 30 patients with p53 and CD5 co-overexpression died within 40 months of diagnosis.
Conclusion
In summary, in this study we show that de novo CD5+ DLBCL, which occurs at a frequency (9.2%), was associated with unfavorable clinicopathologic variables and with inferior survival following R-CHOP and DA-EPOCH-R treatment. CD5+ DLBCL has a high frequency of p53 overexpression and CD5 augments the negative effect of p53 overexpression in DLBCL.
Fig. 1 PFS (A) and OS (B) of patients with DLBCL according to the presence or absence of CD5. PFS (C) and OS (D) for the four DLBCL groups: CD5+ GCB DLBCL, CD5+ non-GCB DLBCL, CD5- GCB DLBCL and CD5- non-GCB DLBCL. PFS (E) and OS (F) of CD5+ DLBCL in the chemotherapy group and in the R-chemotherapy group. PFS (G) and OS (H) in CD5+ DLBCL treated with RCHOP and DA-EPOCH-R regimens. PFS (I) and OS (J) in patients with de novo DLBCL stratified according to p53 and CD5 immunostaining status.
No relevant conflicts of interest to declare.
Author notes
Asterisk with author names denotes non-ASH members.

This feature is available to Subscribers Only
Sign In or Create an Account Close Modal