Purpose
18F-FDG PET/CT (PET/CT) could be a valuable tool to predict long-term survival outcomes in patients with newly diagnosed multiple myeloma (MM). It has ability to distinguish metabolically active sites such as extramedullary disease (EMD) as well as bone damage with relatively high sensitivity and specificity. In this study, we attempted to evaluate the role of PET-CT as a novel prognostic tool for patients with newly diagnosed MM who have EMD.
Patients and Methods
This study included 211 patients who were newly diagnosed with multiple myeloma from Kyunpook National University Hospital and Chonnam National University Hwasun Hospital. We retrospectively analyzed the medical records of enrolled patients. PET/CT was performed at the diagnosis and EMD was identified in 36 patients (17.1%).
Results
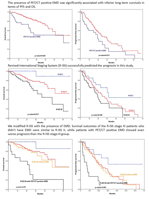
With a median follow-up duration of 21.5 months (range 1.4-67.7), the estimated 2-year PFS and OS rates were 46.1% and 79.6%, respectively. The presence of PET/CT positive EMD and high maximum standardized uptake value (SUVmax) on baseline PET/CT were significantly associated with inferior long-term survivals in terms of PFS (p=0.013, p=0.007) and OS (p=0.002, p=0.004). In addition, patients who underwent autologous stem cell transplantation (auto-SCT) showed superior PFS (p=0.005) and OS (p=0.022) in PET/CT positive EMD group. Meanwhile, Revised-International Staging System (R-ISS) successfully predicted the prognosis in this study. When we modified R-ISS with the presence of EMD, survival outcomes of the R-ISS stage III patients who didn't have EMD were similar to R-ISS II, while patients with PET/CT positive EMD showed even worse prognosis than the R-ISS stage III group. In the multivariate survival analysis, the presence of EMD (hazard ratio (HR), 2.397; 95% confidence internal (CI), 1.281-4.483; p=0.006) and auto-SCT (HR, 0.326; 95% CI, 0.194-0.549; p<0.001) were related to PFS, while LDH (HR, 2.56; 95% CI, 1.221-5.366; p=0.013) level and auto-SCT (HR, 0.398; 95% CI, 0.167-0.953; p=0.039) were independent prognostic factors of OS.
Conclusion
In conclusion, PET/CT positive EMD was a poor prognostic factor in patients with newly diagnosed MM. In addition, PET/CT could be a valuable tool to make better risk-adapted treatment strategies with R-ISS in EMD positive MM patients. Above all, patients with PET/CT positive EMD should be considered auto-SCT to improve long-term survivals.
No relevant conflicts of interest to declare.
Author notes
Asterisk with author names denotes non-ASH members.

This feature is available to Subscribers Only
Sign In or Create an Account Close Modal