Introduction: Recent advancements in the treatment of multiple myeloma (MM) have centered on engaging the immune system to target multiple myeloma cells. Although these therapies are being combined with immunomodulatory imide drugs (IMiDs) and corticosteroids, the individual contributions of these drugs on the immune system of MM patients has not been examined in the upfront setting. In this study, we examined the peripheral blood immunophenotypes of newly diagnosed multiple myeloma (NDMM) patients receiving the IMiD lenalidomide with or without the corticosteroid dexamethasone.
Methods: To characterize immunophenotypes, we utilized flow cytometry to profile white blood cell populations from 35 patients enrolled in a clinical trial testing the efficacy of lenalidomide with and without dexamethasone in NDMM (NCT00772915). In this trial, all patients were initiated on single-agent lenalidomide. Dexamethasone was initiated in patients that did not meet desirable responses or for disease progression. At each cycle, peripheral blood was stained with a 17-marker antibody panel against several immune lineages and functional surface markers. We grouped patients into two groups: 1) lenalidomide alone or 2) lenalidomide with dexamethasone according to their treatment regimen at each cycle timepoint.
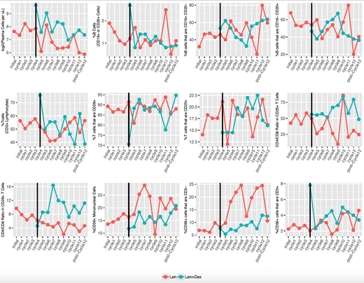
Results: First we confirmed anti-myeloma cell activity for both groups by measuring a steady decline in circulating plasma cells in both groups. Examining peripheral blood immunophenotypes showed an expected decrease in T cells and a smaller decrease in B cells in both groups of patients. Closer inspection of B cell populations revealed a switch towards a more immature B cell phenotype in both treatment groups. This was measured as a switch from CD19-CD20+ cells to CD19+CD20- B cells. Inspection of T cell subsets revealed that patients receiving single-agent lenalidomide had a sustained decrease in the levels of CD4+ T cells and increase in the levels of CD8+ T cells. This was seen in both naïve and regulatory T cells evidenced by a decrease in the CD4/CD8 ratio among CD28+ T cells as well as CD25+ T cells. Importantly, this alteration did not lead to sustained alterations in the overall level of CD25+ or CD28+ T cells, and the addition of dexamethasone reverses this trend. In addition to the effects seen on T and B cell numbers, we detected expansions of NK cell populations in patients receiving lenalidomide alone. This expansion is detected as an overall increase in CD56+ mononuclear cells with the majority of cells being CD56+CD3- cells.
Conclusions: Our data show that lenalidomide and dexamethasone therapy have shared but distinct effects on peripheral blood immunophenotypes in NDMM. Both drugs alter B cells numbers and populations leading to an expansion of CD19+CD20- B cells. However, lenalidomide alone decreases the CD4/CD8 T cell ratio; and, lenalidomide more strongly expands NK cell populations. The addition of dexamethasone reverses this trend and leads to a restoration of the CD4/CD8 ratio. This suggests that lenalidomide without dexamethasone might be counterproductive in immunotherapies intended to recruit CD4+ T cells. Conversely, lenalidomide alone could increase the efficacy of immunotherapies dependent on NK cell recruitment such as antibody-dependent cellular cytotoxicity (ADCC). This information may benefit future investigations of immune responses in MM patients and improve the adoption of immunotherapies to MM patients.
Kumar:Celgene: Consultancy, Research Funding; Janssen: Consultancy, Research Funding; Takeda: Research Funding.
Author notes
Asterisk with author names denotes non-ASH members.

This feature is available to Subscribers Only
Sign In or Create an Account Close Modal