Abstract
Extracellular circulating DNA (cfDNA) can be found in small quantities in plasma of healthy persons; higher concentrations are found in various disorders including malignant and autoimmune diseases, myocardial infarction, trauma, inflammation and complications of pregnancy. In patients with tumors, cfDNA is of tumor origin. Although it has been studied extensively in solid cancers, there is a dearth of information on cfDNA in hematologic neoplasia. The goal of this study was to determine the concentration of cfDNA in patients with lymphoma, its relation to demographic, biologic and clinical patient and tumor characteristics and to investigate its potential role as a marker of disease activity, prognosis or response to treatment. The study was performed in 129 patients with lymphoma treated according to standard guidelines (Table 1). Twenty-nine had Hodgkin's lymphoma (HL); 93 B-NHL, 66 aggressive and 27 indolent; 47 patients had B-large cell lymphoma (B-LCL) and 7 T-NHL. cfDNA concentration was determined using quantitative real-time PCR before and at the end of treatment.
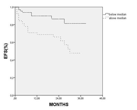
In lymphoma patients cfDNA concentration is somewhat higher than in healthy persons (median 20.57 ng/ml vs. 12.1 ng/ml), but is above highest normal values in only 1/3 of cases. We found no correlation between lymphoma type aggressivity and cfDNA concentration. In all patients with NHL and with most NHL types, cfDNA concentration correlated with unfavorable prognostic characteristics: age, LDH, beta-2 microglobulin, disease stage and IPI but not with Ki-67, gender or presence of extranodal disease. Correlation with beta-2 microglobulin was strongest. In univariate analysis, patients with higher cfDNA concentrations had worse treatment outcomes (Fig. 1). In multivariate analysis, cfDNA concentration was not an independent prognostic factor. In patients with HL, cfDNA concentration correlated with LDH, but neither with other tested parameters nor with treatment outcomes. In the vast majority of patients cfDNA concentrations at the end of treatment were lower than at the beginning but neither the absolute nor relative decline correlated with treatment outcomes.
In patients with lymphoma, cfDNA concentration prior to treatment start correlates with negative prognostic factors, dominantly with those related to the total tumor mass. However, measuring cfDNA does not add independent clinically meaningful information and seems to be neither of diagnostic nor of prognostic value.
| LYMPHOMA TYPE . | NO. OF PATIENTS . | cfDNA CONCENTRATION (ng/ml) / median (range) . |
|---|---|---|
| Total | 129 | 20.57 (0.45-2009.45) |
| HL | 29 | 12.65 (1.95-546.34) |
| B-NHL | 93 | 23.43 (0.45-2009.45) |
| Aggressive B- NHL | 66 | 26.66 (0.45-1676.44) |
| B-LCL | 47 | 24.80 (0.45-1676.44) |
| MCL | 8 | 36.62 (7.66-476.60) |
| BL | 4 | 15.96 (8.70-534.44) |
| Grey zone, intermediate between BL and B-LCL | 3 | 955.42 (921.71.-1079) |
| Grey zone, intermediate between HL and B-LCL | 4 | 9.96(7.78-147.46) |
| Indolent B-NHL | 27 | 17.92 (2.09-2009.45) |
| FL | 16 | 16.84 (2.09-251.63) |
| EMZL | 5 | 20.95 (11.99-2009.45) |
| NMZL | 3 | 15.48 (12.17-931.5) |
| SLL | 2 | 12.50 (7.14-17,87) |
| LPL | 1 | 15.48 |
| T-NHL | 7 | 38.04 (12.12-892.36) |
| PTCL | 4 | 62.08 (12.12-892.36) |
| ALCL | 2 | 89.42 (38.04-140.81) |
| LBL | 1 | 15.81 |
| LYMPHOMA TYPE . | NO. OF PATIENTS . | cfDNA CONCENTRATION (ng/ml) / median (range) . |
|---|---|---|
| Total | 129 | 20.57 (0.45-2009.45) |
| HL | 29 | 12.65 (1.95-546.34) |
| B-NHL | 93 | 23.43 (0.45-2009.45) |
| Aggressive B- NHL | 66 | 26.66 (0.45-1676.44) |
| B-LCL | 47 | 24.80 (0.45-1676.44) |
| MCL | 8 | 36.62 (7.66-476.60) |
| BL | 4 | 15.96 (8.70-534.44) |
| Grey zone, intermediate between BL and B-LCL | 3 | 955.42 (921.71.-1079) |
| Grey zone, intermediate between HL and B-LCL | 4 | 9.96(7.78-147.46) |
| Indolent B-NHL | 27 | 17.92 (2.09-2009.45) |
| FL | 16 | 16.84 (2.09-251.63) |
| EMZL | 5 | 20.95 (11.99-2009.45) |
| NMZL | 3 | 15.48 (12.17-931.5) |
| SLL | 2 | 12.50 (7.14-17,87) |
| LPL | 1 | 15.48 |
| T-NHL | 7 | 38.04 (12.12-892.36) |
| PTCL | 4 | 62.08 (12.12-892.36) |
| ALCL | 2 | 89.42 (38.04-140.81) |
| LBL | 1 | 15.81 |
No relevant conflicts of interest to declare.
Author notes
Asterisk with author names denotes non-ASH members.


This feature is available to Subscribers Only
Sign In or Create an Account Close Modal