Abstract
Background: Graft-versus-host disease (GvHD) is the major complication of allogeneic stem cell transplantation (alloSCT) and its therapy-resistant form causes significant morbidity and mortality. The pathomechanism of steroid resistance is currently not completely understood, however, endothelial cell dysfunction seems to play an important role. Serum markers indicating endothelial cell distress such as angiopoetin-2 (Ang-2) and nitrates have been demonstrated to predict steroid-refractory GVHD already before alloSCT. In the current study we investigated ADMA, a strong indicator of endothelial dysfunction, as predictor of acute steroid-refractory GVHD.
Methods: We performed a retrospective study of 521 patients who were treated by alloSCT between 3/2001-3/2013. Endothelial cell-associated serum markers were correlated with the course of GvHD, non relapse mortality and statin intake. Cut-offs were determined by maximally selected LogRank statistics.
Results: During the post transplant period 114 patients developed a steroid-sensitive GvHD grade 1-2, 50 patients a steroid-sensitive GvHD grade 3-4, and 44 patients a steroid-refractory GvHD which had been always grade 3-4 maximum severity. 313 patients had no signs of GvHD. 266 patients were treated with pravastatin since 2010 when statin prophylaxis for cardiovascular long-term toxicity of calcineurin inhibitor immunosuppression was introduced as standard policy in our program. Median follow up of the whole cohort was 47 months. Median age was 53 years (range 17-75). High ADMA levels (>0.6 µM) significantly predicted steroid-refractory GVHD already before alloSCT (p=0.044, HR=3.5, 95% CI 1.1-11.8). In those patients who developed GVHD, high ADMA levels (>0.6 µM) were not only associated with an increased risk of steroid refractoriness, but also translated into increased non-relapse mortality (HR 2.2 CI 1.1-4.8, p=0.049). By multivariate analysis, the association of high ADMA levels with the risk of refractory GVHD remained significant in the whole cohort after adjusting for age, disease specific remission score, donor and conditioning (HR 6.4 CI 1.6-26.2, p=0.009).
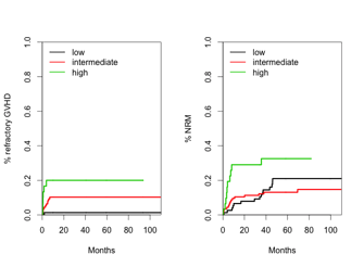
The ADMA cut-off was used to build a score along with the previously described predictors of GVHD refractoriness pretransplant Ang-2 (cut-off 1µg/ml) and nitrates (cut-off 26.5 µM). Serum levels of above the cut-off were counted as one point and 0-1 points were considered low risk, 2 points intermediate risk and 3 points high risk. The score was capable of separating risk groups of patients with a different likelihood to develop refractory GVHD (p=0.001, Figure 1 ) already before alloSCT. The highest risk group had also an increased NRM incidence (p= 0.02, Figure 1 ). Most interestingly, this endothelial risk score completely failed to predict outcome if patients were on statins (p=0.62).
Conclusion: High serum ADMA predicts refractory GVHD already prior to alloSCT. Our results support the hypothesis that endothelial damage / vulnerability contribute to refractoriness of acute GVHD.
Dept. Medicine V, University of Heidelberg, Germany
Endothelial risk score predicts incidence of refractory GVHD before alloSCT.
Endothelial risk score predicts incidence of refractory GVHD before alloSCT.
No relevant conflicts of interest to declare.
Author notes
Asterisk with author names denotes non-ASH members.

This feature is available to Subscribers Only
Sign In or Create an Account Close Modal