Abstract
Introduction: The clinical behaviour and disease prognosis of AYA-CML is much different from adult CML. The outcome of this group of patients in resource constraints setting is not known where patients are seen in late chronic phase.
Objectives: To study the survival pattern of AYA-CML in resource constraint settings.
Methodology: It is a retrospective observational study wherein the data of all patients of AYA-CML managed at tertiary care centre in North India over last 14 years were analysed. All case records of the AYA-CML were perused, digitalised and their survival statistics derived.
Results: Amongst a total of 1815 CML case records, 431 (23.74%) were AYA-CML. AYA-CML cases with complete data (n-225) were analysed for overall survival. The mean age of the patients was 23.08 ± 4.325 years (range 12-29). Males constituted 60.9% (n-137) and females, 39.1% (n-88) of AYA-CML. Of these 117 (52%) were single and 108 (48%) were married. Sixty one percentage of patients were educated upto 10th grade and 22.7% upto 5th grade and 8% received no formal education. Only 22.7% were educated beyond 12th grade. The mean monthly income was $75 (range $5-493).
Ninety four percentage of patients had at least 12 months of follow up and 85.3% patients had at least 24 months of follow-up. The median delay in CML diagnosis from symptom onset was 62 days (range 0-2568). The details of therapy and complete haematological remission achieved in patients are described in table 1.
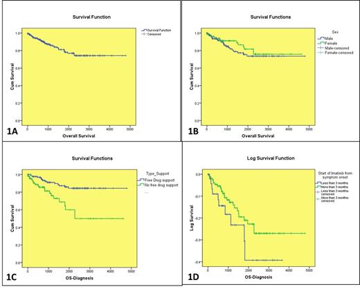
The cumulative overall survival (OS) was 84% with no statistical difference in males and females (83.2%, 85.2% respectively) (Fig 1A, B). Survival rate at 1, 3, 5 and 8 years was 94.2%, 86.5% 78% and 74.2% respectively. Median OS was 1034 days (range 0-4788). OS was significantly better in patients receiving free drugs under Novartis Oncology Access (NOA) Program (p<0.001) (Fig 1C). OS was also better in the patients who received Imatinib within 3 months of symptom onset (Fig 1D). The OS in different risk categories of Sokal, Hasford and EUTOS, however, was not different. (Fig 2A-C).
On Cox regression analysis there was no significant effect of age or sex on overall survival. The OS was positively correlated to age (r- 0.104, p 0.118) and negatively correlated with the time taken to diagnosis from symptom onset (r - 0.08, p 0.229).
Conclusion: We have demonstrated in this study the improved outcomes of AYA-CML who usually present in late chronic phase in resource constraint settings. Prognostic scoring has no significant correlation to the OS in our study population. The delay in diagnosis from symptom onset had a negative correlation to OS and starting Imatinib within 3 months of symptom onset had a positive effect on OS, both of these can be addressed by improving patient as well as general physician's education. Patients on free medication through NOA had a better OS than the other group, suggesting increased efforts to register more patients in NOA through community based education programmes.
Therapy details and CHR characteristics in AYA CML
| . | N . | Minimum . | Maximum . | Mean . | Std. Deviation . |
|---|---|---|---|---|---|
| Duration for which patient was on Hydroxyurea (months) | 213 | 0 | 72.00 | 5.97 | 11.74 |
| Time gap in starting Imatinib from date of diagnosis (days) | 214 | 0 | 2158 | 181.66 | 339.81 |
| Time gap in starting Imatinib from symptom onset (days) | 214 | 0 | 2652 | 339.73 | 431.91 |
| Duration for achieving CHR post symptom onset (days) | 202 | 0 | 2694 | 377.82 | 464.95 |
| Duration for achieving CHR post Imatinib (days) | 201 | -525 | 1324 | 107.40 | 194.98 |
| Duration for CHR achievement post diagnosis (days) | 202 | 0 | 2455 | 232.80 | 329.55 |
| Overall Survival (days) | 225 | 0 | 4788 | 1391.88 | 1119.62 |
| Duration of Imatinib Therapy (days) | 214 | 0 | 4128 | 1276.36 | 1083.53 |
| . | N . | Minimum . | Maximum . | Mean . | Std. Deviation . |
|---|---|---|---|---|---|
| Duration for which patient was on Hydroxyurea (months) | 213 | 0 | 72.00 | 5.97 | 11.74 |
| Time gap in starting Imatinib from date of diagnosis (days) | 214 | 0 | 2158 | 181.66 | 339.81 |
| Time gap in starting Imatinib from symptom onset (days) | 214 | 0 | 2652 | 339.73 | 431.91 |
| Duration for achieving CHR post symptom onset (days) | 202 | 0 | 2694 | 377.82 | 464.95 |
| Duration for achieving CHR post Imatinib (days) | 201 | -525 | 1324 | 107.40 | 194.98 |
| Duration for CHR achievement post diagnosis (days) | 202 | 0 | 2455 | 232.80 | 329.55 |
| Overall Survival (days) | 225 | 0 | 4788 | 1391.88 | 1119.62 |
| Duration of Imatinib Therapy (days) | 214 | 0 | 4128 | 1276.36 | 1083.53 |
No relevant conflicts of interest to declare.
Author notes
Asterisk with author names denotes non-ASH members.


This feature is available to Subscribers Only
Sign In or Create an Account Close Modal