Abstract
Introduction: Relapse is the primary cause of death after reduced intensity conditioning (RIC) hematopoietic cell transplantation (HCT). Documented responses have been reported after combination chemotherapy, hypomethylating agents, donor lymphocyte infusions, and second transplants. For patients with early relapse after RIC HCT while still on immunosuppression (IS), IS taper alone may induce significant graft-versus-tumor (GVT) activity. We describe the clinical characteristics and subsequent course of 48 patients with disease recurrence that responsed to IS taper alone without any additional chemotherapy, radiation, or donor lymphocyte infusion.
Methods: We reviewed medical records of all patients with frank histologic or radiographic evidence of relapse (n=477) and those with impending relapse defined by development of cytopenias with a fall in donor derived hematopoietic cell chimerism (n=87) within one year of allogeneic RIC HCT who were on IS at time of relapse between January 1, 2004 and December 31, 2013 at Dana Farber Cancer Institute/Brigham and Women's Hospital. Complete response after IS taper was defined as complete recovery of peripheral blood counts, bone marrow biopsy with absence of disease, negative radiologic imaging, or chimerism recovery to above 90 percent. Partial response was defined as improvement in disease burden in bone marrow or by imaging. Survival probabilities were calculated using the Kaplan Meier method.
Results: Forty-eight patients (37 male, 11 female) who relapsed within one year of HCT responded to IS taper alone. Of these, 14 had impending relapse and 34 had frank relapse at time of IS taper. The median age of patients was 62 years at time of transplant. The most frequent indication for transplant was MDS (n=14) followed by AML (n=11), non-Hodgkin's lymphoma (n=8), CLL (n=6), Hodgkin's disease (n=4), CML (n=3) and multiple myeloma (n= 2). At time of transplant, 9 patients had standard risk disease and 39 had high risk disease. All patients except one underwent conditioning with busulfan (≤ 6.4 mg/kg) and fludarabine. Five patients had graft versus host disease (GVHD) prior to relapse.
The median time to frank or impending relapse was 105 days (range 57-360) after HCT. The median interval between starting and completing IS taper was 30 days (range 0-251), but 13 patients could not come off IS completely due to GVHD. The median time to documented response after initiation of IS taper was 77 days (range 14-189). Thirty-five patients had a complete response and the remaining 13 patients had a partial response. Nine patients subsequently relapsed late after initial response to IS taper at a median time of 2.38 years (range 0.88-3.95).
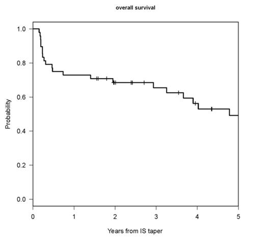
Forty-five of the 48 patients developed or had a flare of previous GVHD as a consequence of IS taper. Of these, 26 patients had grade II-IV acute GVHD and 19 had chronic GVHD. The median time to developing GVHD after starting IS taper was 39 days (range 7-261 days). Twenty-five patients died during follow-up (10 from GVHD, 6 from disease, 7 from infection, 1 from congestive heart failure and 1 unknown). The median follow-up time among survivors was 4 years (range 1.6, 9.4). The median overall survival (OS) time from IS taper was 4.78 years (95% CI 2.93-7.35, see figure). The 4 year overall survival was 56%. There was no difference in survival for those with frank or impending relapse.
Conclusion: Immunosuppression taper alone in patients who relapse early after RIC HCT can produce durable remissions but is almost always associated with development of GVHD. Understanding the clinical, molecular and immunologic characteristics of underlying disease will allow us to better predict who will respond to this manipulation. When feasible, this strategy should be given sufficient time to allow for a GVT response to develop in order to possibly avoid the adverse effects of more aggressive therapies.
No relevant conflicts of interest to declare.
Author notes
Asterisk with author names denotes non-ASH members.

This feature is available to Subscribers Only
Sign In or Create an Account Close Modal