Abstract
Introduction Haematopoietic stem cell transplantation (HSCT) is the only curative option for patients (pts) affected by high-risk haematological diseases (HRHD). However, the availability of a match donor is still an unmet-medical need. Recently alternative donor transplantations have been broadly exploited, reaching results similar to transplants from a well match donor. Anyway, whoever the donor is, the most important complication remains Graft-versus-Host Disease (GvHD).
Aim of the study We evaluated incidence, characterization, stratification, treatment, treatment response and outcome at medium and long-term follow-up for both acute (a-) and chronic (c-) GvHD in haploidentical setting. We also evaluated the impact of the NIH consensus criteria on GvHD in a routine clinical application to confirm their feasibility in daily practice and not only in clinical trials use.
Methods A population of 257 pts was selected from our Institutional database on the basis of their having an HRHD with indication to allogeneic HSCT and having received a HSCT from an haploidentical family donor without exclusion. HSCT were performed between January 2004 and December 2013 at our Center. No distinction between first HSCT or subsequent one was made, all consecutive haploidentical HSCT were captured.
Results Time of median follow-up was 10 months; 1-year overall-survival (OS) was 46%, with better outcome for pts transplanted in complete remission (p 0.0001) confirming disease status as the leading factor for overall outcome. Transplant related mortality was estimated to be 30% at 1 year and the leading cause of death was infections.
The 6-months a-GvHD incidence was 45% (119/257) - median day of presentation 21 post HSCT (range 8-89). Late-onset a-GvHD was documented in 15 pts. Grade I GvHD was documented in 33 pts (27.7%), grade II in 44 (37%), grade III-IV in 36 (30.3%) – 6 not evaluable. Skin was the most frequently involved organ (77.3%), both as single manifestation or combined. One-hundred and five pts received a first line therapy based on high-dose prednisone (2mg/Kg) and 37/105 completely abrogated the a-GvHD. At a 3-months evaluation 46% of affected pts showed complete resolution of a-GvHD, while the mortality rate was 29%.
C-GvHD affected 69/257 pts and 1-year risk of onset was 25% - median day of presentation was 139 post HSCT (range 40-809) and 36/69 pts were off immunosuppressive therapy (52.3%) at presentation.
According to onset presentation 53.7% were de novo, 24.6% progressive and 18.8% quiescent GvHD. Forty-one pts (59.5%) presented at declaration with overlap features.
The most frequent involved organ was skin (grade I to III), as reported in 53 pts (76.8%). Skin lesions were usually accompanied with mouth lesions (35 pts – 50.7%), liver (23 pts – 33.3%) or eyes (27 pts – 39.1%) dysfunctions. The median number of involved organs was 3 (range 1-7).
Mild c-GvHD was diagnosed in 10 pts (14.5%), who received topical therapy. Fifty-nine pts – diagnosed with moderate (32, 46.4%) or severe (27, 39.1%) - received a systemic treatment for c-GvHD: prednisone 1 mg/Kg alone or 0,5 mg/kg plus mTOR- or calcineurin-inhibitor for pts that were not likely to tolerate high dose steroid due to comorbidity (namely active infections, diabetes, cardiovascular diseases).
At a 12-months evaluation the overall response was 48% (complete resolution 25%, partial resolution 23%), while the mortality rate was 36%.
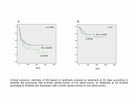
The Landmark analysis of OS at 3 months after HSCT shows that a-GvHD affected pts had a worse outcome (p= 0,068), on the contrary the Landmark analysis of OS at 18 months shows that c-GvHD did not associate with a worse outcome (p ns) but the follow up is still short. Confirming previous reports, overlap c-GvHD was related to worse survival in comparison with classic c-GvHD (p 0.0098).
Conclusion Haploidentical HSCT is a valid and feasible option for pts in need of a transplant. GvHD is manageable after haploidentical HSCT, as in full matched setting. Better knowledge and insight in a/c-GvHD are providing advance in improving pts outcome. The NIH-consensus criteria are manageable in daily clinical practice and able to translate in a tailored approach to GvHD with benefit on general outcome. Further advance in the development of specific biomarkers for GvHD will provide additional crucial information for management, diagnosis and prognostication in GvHD.
Bonini:MolMed S.p.A.: Consultancy. Bordignon:MolMed: Employment.
Author notes
Asterisk with author names denotes non-ASH members.

This feature is available to Subscribers Only
Sign In or Create an Account Close Modal