Key Points
Population-based data show a favorable outcome with upfront autologous stem cell transplantation in PTCL.
The addition of etoposide to CHOP was associated with favorable PFS in patients ≤60 years with PTCL.
Abstract
Peripheral T-cell lymphomas (PTCLs) are rare lymphomas with mostly poor outcome with current treatment. The addition of etoposide to cyclophosphamide, doxorubicin, vincristine, and prednisone (CHOP) and upfront consolidation with autologous stem cell transplantation (auto-SCT) have shown promising results but have never been tested in randomized trials. As a complement to retrospective analyses of clinical trials, we aimed at analyzing prognostic factors and outcome in an unselected, population-based cohort. Through the Swedish Lymphoma Registry, we identified 755 PTCL patients diagnosed during a 10-year period. In addition to International Prognostic Index factors, male gender was associated with an adverse overall survival (OS) (hazard ratio [HR], 1.28; P = .011) and progression-free survival (PFS) (HR, 1.26; P = .014). In an intention-to-treat analysis in 252 nodal PTCL and enteropathy-associated T-cell lymphoma patients (excluding anaplastic lymphoma kinase–positive anaplastic large cell lymphoma), upfront auto-SCT was associated with a superior OS (HR, 0.58; P = .004) and PFS (HR, 0.56; P = .002) compared with patients treated without auto-SCT. The addition of etoposide to CHOP resulted in superior PFS in patients ≤60 years (HR, 0.49; P = .008). This study is the largest population-based PTCL cohort reported so far and provides important information on outcome in PTCL outside the setting of clinical trials.
Introduction
Peripheral T-cell lymphomas (PTCLs) are uncommon lymphoid malignancies that constitute around 10% of all malignant lymphomas and comprise several distinct entities with regard to biology and clinical characteristics. With the exception of some primarily cutaneous and leukemic forms, PTCLs are aggressive in nature with rapid disease progression and poor response to treatment. In the current World Health Orgainzation (WHO) 2008 classification, systemic PTCLs are grouped into nodal lymphomas (anaplastic lymphoma kinase [ALK]-positive [ALKpos] and ALK-negative [ALKneg] anaplastic large cell lymphoma [ALCL], angioimmunoblastic T-cell lymphoma [AITL], and peripheral T-cell lymphoma [PTCL] not otherwise specified [NOS]) and, on the other hand, mainly extranodal lymphomas (natural killer/T-cell lymphoma, nasal type [NK-T, nt], enteropathy-associated T-cell lymphoma [EATL], subcutaneous panniculitis-like T-cell lymphoma [SPTCL], and hepatosplenic T-cell lymphoma [HSTCL]).1 The incidence of PTCLs varies geographically and has been investigated in a large study performed by the International Peripheral T-cell Lymphoma Project (ITLP) in which centers from North America, Europe, and Asia participated.2
With the exception of ALKpos ALCL, treatment results in PTCLs are generally less favorable compared with those in aggressive B-cell lymphoma,2,3 but evidence of other regimens being superior to the widely used cyclophosphamide, doxorubicin, vincristine, and prednisone (CHOP) is unfortunately lacking.4 Treatment failure includes both a substantial proportion of patients with a disease refractory to primary therapy as well as frequent relapse of the disease, associated with a dismal outcome.5 Intensification of chemotherapy has generally not proved successful,6 although there are indications that the addition of etoposide to CHOP (CHOEP) may be favorable, and the strategy in relapse has been to aim for second-line chemotherapy and consolidation with autologous stem cell transplantation (auto-SCT). As PTCLs are rare, much knowledge derives from retrospective analyses from trials as in the case of etoposide.7 The strategy of auto-SCT as part of first-line treatment has been evaluated in prospective studies suggesting more favorable outcome,8-11 but randomized trials are lacking. Population-based studies on outcome in PTCLs are scarce, with the largest series coming from British Columbia.12
In this study, we aimed at analyzing the impact of clinical and treatment-related factors on outcome in a large population-based cohort of systemic PTCL patients.
Patients and methods
Study population
From the Swedish Lymphoma Registry (SLR), all patients diagnosed with T-cell lymphomas between January 1, 2000, and December 31, 2009, were identified. The SLR covers approximately 95% of all adult (age ≥18 years) lymphoma patients in Sweden compared with the compulsory Swedish Cancer Registry, with further details described previously.13 The diagnosis of PTCL was established in routine clinical care with contributions from 21 pathology centers. Approximately 75% of all cases were reviewed by expert hematopathologists at 1 of 7 large academic centers at the time of diagnosis. There was no pathology review of slides performed in the study. Each pathology report was retrospectively reviewed for classification according to the 2008 edition of the WHO classification of lymphoid neoplasms. Cases not fulfilling criteria for T-cell lymphoma or fulfilling criteria for precursor T-cell malignancies, primary cutaneous lymphomas, and leukemic forms were excluded from the study. Response to treatment was, in most cases, assessed by review of computed tomography (CT) scan reports. If these reports were missing or unavailable, response was assessed from physician notes. Data were collected from the SLR, and after informed consent, further data were derived from review of patient records. The study was approved by the regional ethical board of Lund, Sweden and conducted in accordance with the Declaration of Helsinki.
Statistical analysis
Treatment response was classified according to the international harmonization criteria14 with regard to any pathological residual masses judged as partial response in the absence of positron emission tomography CT. Death from any cause before treatment evaluation was regarded as no response to therapy. Overall survival (OS) was defined as time from diagnosis to death or latest follow-up. Progression-free survival (PFS) was defined as time from diagnosis to relapse/progression or death from any cause or latest follow-up. Assignment to the auto-SCT intention-to-treat (ITT) group was made if there was any documented decision of this treatment at the time of start of therapy. Due to documentation routines, this group includes some patients for whom chemotherapy had started at the time of documented intention of upfront auto-SCT. Distribution differences of clinical characteristics between groups were analyzed with χ2 and Mann-Whitney U tests. Survival curves were estimated with the Kaplan-Meier method, groups were compared using the log-rank test, and risk factor analysis was made by Cox regression. Factors were analyzed in univariable analysis, and all factors with P ≤ .1 were retained in the multivariable model. All P values were 2 sided, and values were regarded statistically significant if P < .05. All statistics were performed with IBM SPSS, version 22.0 (SPSS, Chicago, IL).
Results
Population characteristics
Out of 1230 patients with any type of T-cell malignancy in the SLR, we identified 755 patients with noncutaneous, nonleukemic PTCL. Twenty-four individuals did not give consent, and 35 patient records could not be retrieved; thus, for these cases, only basic registry data were available. Median follow-up for surviving patients was 7.9 years (range, 3.3-13.2 years). According to the SLR, 16 504 patients were diagnosed with any type of lymphoma (B-cell chronic lymphocytic leukemia excluded) during this 10-year period, meaning that T-cell lymphomas constituted 7.4% of all lymphomas in Sweden.
Clinical characteristics and distribution of different PTCL subtypes are shown in Table 1. Specific subclassification was not possible for 57 patients, and these cases were labeled T-cell lymphoma unspecified (TCL U), due to limited diagnostic material in 33 cases or true challenges in subclassification in 24 cases. In several of the 33 TCL U cases with limited material, the only materials available in the diagnostic procedure were bone marrow specimens, which explains the high frequency of bone marrow involvement in this group. A total of 4 patients had primary central nervous system lymphoma, 6 developed lymphoma after solid organ transplantation, 2 were HIV positive, and 2 patients were diagnosed at postmortem examination. ALK status was missing for 36 ALCL patients (ALKu ALCL). Two of the EATL patients had monomorphic (type II) EATL. The median age of the entire cohort was 67 years (range, 18-96 years) with a male predominance (59%). ALKpos ALCL and SPTCL patients were younger than other subgroups (P < .001), whereas AITL patients presented more often with advanced-stage disease than the other specified entities (P = .001).
Distribution of histologic subtypes and clinical characteristics in the entire cohort (N = 755)
| Clinical characteristics . | All patients (N = 755) . | ALCL, ALKpos (n = 68) . | ALCL, ALKneg (n = 115) . | ALCL, ALKu (n = 36) . | PTCL NOS (n = 256) . | AITL (n =104) . | EATL (n = 68) . | TCL U (n = 57) . | NK/T, nt (n = 33) . | SPTCL (n = 12) . | HSTCL (n = 8) . |
|---|---|---|---|---|---|---|---|---|---|---|---|
| Age (y), median (range) | 67 (18-96) | 41 (18-81)* | 67 (19-93) | 69 (31-89) | 69 (18-96) | 70 (33-88) | 68 (35-88) | 72 (30-94) | 62 (26-91) | 58 (20-73)† | 47 (18-72) |
| Male | 445 (59) | 37 (54) | 80 (70) | 21 (58) | 148 (58) | 59 (57) | 40 (59) | 34 (60) | 20 (61) | 6 (50) | 4 (50) |
| Female | 310 (41) | 31 (46) | 37 (30) | 14 (42) | 108 (42) | 45 (43) | 28 (41) | 25 (40) | 13 (39) | 6 (50) | 4 (50) |
| B symptoms | 444 (59) | 40 (59) | 61 (52) | 20 (57) | 155 (61) | 74 (71)‡ | 37 (54) | 31 (53) | 15 (46) | 6 (50) | 6 (75) |
| Stage III-IV | 490 (65) | 33 (49) | 68 (59) | 18 (50) | 184 (72) | 93 (89)§ | 28 (41) | 40 (70)|| | 14 (42) | 7 (58) | 7 (88) |
| BM | 154 (20) | 6 (9)¶ | 16 (13) | 6 (17) | 56 (22) | 37 (36)# | 1 (2) | 26 (44) | 1 (3) | — | 5 (63) |
| Extranodal involvement >1 | 110 (15) | 5 (7)** | 17 (15) | 4 (11) | 35 (14) | 12 (12) | 16 (24)¶ | 12 (20) | 6 (18) | 1 (8) | 3 (38) |
| WHO PS >1 | 267 (35) | 16 (24)¶ | 40 (34) | 8 (29) | 92 (36) | 35 (35) | 24 (38) | 26 (47) | 6 (18) | 4 (33) | 4 (50) |
| Bulky disease (>10 cm) | 81 (11) | 11 (16)†† | 18 (15) | 3 (8) | 27 (11) | 5 (5) | 7 (10) | 6 (10) | 1 (3) | 1 (8) | 2 (25) |
| LDH > ULN | 441 (54) | 31 (46) | 61 (52) | 19 (54) | 162 (63) | 77 (74)‡‡ | 16 (24)§§ | 39 (66)|||| | 17 (52) | 11 (92) | 8 (100) |
| IPI 0-1 | 170 (23) | 36 (53)¶¶ | 37 (32) n | 11 (31)## | 41 (16)*** | 4 (4)††† | 25 (37) | 5 (9)††† | 9 (27) | 2 (17) | — |
| IPI 2-3 | 386 (51) | 26 (38)## | 46 (40)‡‡‡ | 14 (39)§§§ | 141 (55)|||||| | 68 (65)|||||| | 26 (38) | 35 (61)|||||| | 17 (52) | 8 (67) | 6 (75) |
| IPI 4-5 | 139 (18) | 4 (6)¶¶¶ | 26 (23) p | 6 (17) | 58 (23)††† | 26 (25)### | 8 (12) | 6 (11) | 1 (3) | 2 (17) | 2 (25) |
| 5-y OS (%) | 34.1 | 79.4 | 38.4 | 27.8 | 28.1 | 31.6 | 20.4 | 24.6 | 20.5 | 58.3 | 42.9 |
| 5-y PFS (%) | 25.7 | 63.2 | 31.4 | 25.0 | 21.3 | 20.4 | 17.6 | 15.1 | 13.8 | 40.0 | 20.0 |
| Clinical characteristics . | All patients (N = 755) . | ALCL, ALKpos (n = 68) . | ALCL, ALKneg (n = 115) . | ALCL, ALKu (n = 36) . | PTCL NOS (n = 256) . | AITL (n =104) . | EATL (n = 68) . | TCL U (n = 57) . | NK/T, nt (n = 33) . | SPTCL (n = 12) . | HSTCL (n = 8) . |
|---|---|---|---|---|---|---|---|---|---|---|---|
| Age (y), median (range) | 67 (18-96) | 41 (18-81)* | 67 (19-93) | 69 (31-89) | 69 (18-96) | 70 (33-88) | 68 (35-88) | 72 (30-94) | 62 (26-91) | 58 (20-73)† | 47 (18-72) |
| Male | 445 (59) | 37 (54) | 80 (70) | 21 (58) | 148 (58) | 59 (57) | 40 (59) | 34 (60) | 20 (61) | 6 (50) | 4 (50) |
| Female | 310 (41) | 31 (46) | 37 (30) | 14 (42) | 108 (42) | 45 (43) | 28 (41) | 25 (40) | 13 (39) | 6 (50) | 4 (50) |
| B symptoms | 444 (59) | 40 (59) | 61 (52) | 20 (57) | 155 (61) | 74 (71)‡ | 37 (54) | 31 (53) | 15 (46) | 6 (50) | 6 (75) |
| Stage III-IV | 490 (65) | 33 (49) | 68 (59) | 18 (50) | 184 (72) | 93 (89)§ | 28 (41) | 40 (70)|| | 14 (42) | 7 (58) | 7 (88) |
| BM | 154 (20) | 6 (9)¶ | 16 (13) | 6 (17) | 56 (22) | 37 (36)# | 1 (2) | 26 (44) | 1 (3) | — | 5 (63) |
| Extranodal involvement >1 | 110 (15) | 5 (7)** | 17 (15) | 4 (11) | 35 (14) | 12 (12) | 16 (24)¶ | 12 (20) | 6 (18) | 1 (8) | 3 (38) |
| WHO PS >1 | 267 (35) | 16 (24)¶ | 40 (34) | 8 (29) | 92 (36) | 35 (35) | 24 (38) | 26 (47) | 6 (18) | 4 (33) | 4 (50) |
| Bulky disease (>10 cm) | 81 (11) | 11 (16)†† | 18 (15) | 3 (8) | 27 (11) | 5 (5) | 7 (10) | 6 (10) | 1 (3) | 1 (8) | 2 (25) |
| LDH > ULN | 441 (54) | 31 (46) | 61 (52) | 19 (54) | 162 (63) | 77 (74)‡‡ | 16 (24)§§ | 39 (66)|||| | 17 (52) | 11 (92) | 8 (100) |
| IPI 0-1 | 170 (23) | 36 (53)¶¶ | 37 (32) n | 11 (31)## | 41 (16)*** | 4 (4)††† | 25 (37) | 5 (9)††† | 9 (27) | 2 (17) | — |
| IPI 2-3 | 386 (51) | 26 (38)## | 46 (40)‡‡‡ | 14 (39)§§§ | 141 (55)|||||| | 68 (65)|||||| | 26 (38) | 35 (61)|||||| | 17 (52) | 8 (67) | 6 (75) |
| IPI 4-5 | 139 (18) | 4 (6)¶¶¶ | 26 (23) p | 6 (17) | 58 (23)††† | 26 (25)### | 8 (12) | 6 (11) | 1 (3) | 2 (17) | 2 (25) |
| 5-y OS (%) | 34.1 | 79.4 | 38.4 | 27.8 | 28.1 | 31.6 | 20.4 | 24.6 | 20.5 | 58.3 | 42.9 |
| 5-y PFS (%) | 25.7 | 63.2 | 31.4 | 25.0 | 21.3 | 20.4 | 17.6 | 15.1 | 13.8 | 40.0 | 20.0 |
Data are missing for B symptoms (n = 22), stage III-IV (n = 23), bone marrow (n = 1), extranodal involvement >1 (n = 1), bulky disease (n = 20), lactate dehydrogenase (n = 37), and IPI (n = 59). Footnotes denominate statistically significant differences between groups as indicated. For exact P values, see supplemental Table 1.
BM, bone marrow; LDH, lactate dehydrogenase; ULN, upper limit of normal.
P < .05 vs all subtypes except SPTCL.
P < .05 all subtypes except vs ALKpos ALCL and NK/T, nt.
P < .05 vs ALKneg ALCL, PTCL NOS, EATL, and NK/T, nt.
P < .05 vs all other subtypes.
P < .05 vs ALKpos ALCL and ALKu ALCL.
P < .05 vs PTCL NOS.
P < .05 vs ALKneg ALCL and PTCL NOS.
P < .05 vs EATL and TCL U.
P < .05 vs AITL.
P < .05 vs ALKpos and ALKneg ALCL, PTCL NOS, and EATL.
P < .05 vs ALKneg ALCL, ALKu ALCL, PTCL NOS, AITL, and NK/T, nt.
P < .05 vs PTCL NOS and ALKpos ALCL.
P < .05 vs all subgroups except ALKu ALCL and EATL.
P < .05 vs PTCL NOS, AITL, and TCL U.
P < .05 vs AITL and EATL.
P < .05 vs EATL and NK/T, nt.
P < .05 vs PTCL NOS and AITL.
P < .05 vs AITL and TCL U.
P < .05 vs EATL.
P < .05 vs ALKneg ALCL, PTCL NOS, AITL, and TCL U.
P < .05 vs TCL U, EATL, and NK/T, nt.
Outcome and risk factors
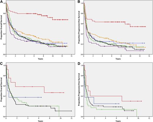
In all, 547 patients died and 350 patients experienced relapse or progression. The cause of death was known for 452 patients as disease related (n = 338), treatment related (n = 52), or unrelated (n = 62). The 5-year OS and PFS data are presented in Table 1, and survival curves according to subtypes are shown in Figure 1A-D. Analyzed with the Kaplan-Meier method, ALKpos ALCL patients had superior survival compared with all other groups (P < .001) except for SPTCL. In ALKneg ALCL, a trend toward improved OS compared with PTCL NOS, AITL, and TCL U was seen, but this was not statistically significant. EATL and NK/T, nt had a similar inferior OS, but compared with ALKneg, PTCL NOS, or AITL, this was significant only for EATL.
OS and PFS in 755 patients with PTCL. (A) OS among nodal subtypes: ALKpos ALCL (red line), ALKneg ALCL (orange line), ALKu ALCL (blue line), PTCL NOS (black line), AITL (green line), and TCL U (purple line). (B) PFS among nodal subtypes. (C) OS among extranodal subtypes: SPTCL (red line), HSTCL (blue line), NK/T, nt (green line), and EATL (black line). (D) PFS among extranodal subtypes.
OS and PFS in 755 patients with PTCL. (A) OS among nodal subtypes: ALKpos ALCL (red line), ALKneg ALCL (orange line), ALKu ALCL (blue line), PTCL NOS (black line), AITL (green line), and TCL U (purple line). (B) PFS among nodal subtypes. (C) OS among extranodal subtypes: SPTCL (red line), HSTCL (blue line), NK/T, nt (green line), and EATL (black line). (D) PFS among extranodal subtypes.
Clinical characteristics with significant impact on OS and PFS in the univariable and multivariable analyses in the entire cohort are presented in Table 2. ALKpos ALCL was the only subtype with superior OS compared with PTCL NOS (hazard ratio [HR], 0.55; 95% confidence interval [CI], 0.33-0.94; P = .028). When comparing ALKpos ALCL with ALKneg ALCL in multivariable analysis, ALKpos ALCL had a superior survival if all patients were considered. All ALKpos ALCL patients received treatment, whereas 11 ALKneg ALCL patients with systemic disease never received treatment because of age (median age, 84 years) and comorbidities or diagnostic delay. If the patients that never got any treatment were excluded, the difference in OS was no longer statistically significant (HR, 0.60; 95% CI, 0.34-1.06; P = .078).
Disease and patient characteristics as risk factors for OS and PFS in the entire cohort
| Factor . | OS (n = 685) . | PFS (n = 654) . | ||||||
|---|---|---|---|---|---|---|---|---|
| Univariable . | Multivariable . | Univariable . | Multivariable . | |||||
| . | HR (95% CI) . | P . | HR (95% CI) . | P . | HR (95% CI) . | P . | HR (95% CI) . | P . |
| Age | 1.040 (1.033-1.046) | <.001 | 1.038 (1.030-1.046) | <.001 | 1.030 (1.024-1.036) | <.001 | 1.029 (1.021-1.036) | <.001 |
| Male gender | 1.16 (0.97-1.37) | .098 | 1.28 (1.06-1.55) | .011 | 1.15 (0.97-1.36) | .101 | 1.26 (1.05-1.51) | .014 |
| B symptoms | 1.65 (1.38-1.97) | <.001 | 1.31 (1.07-1.60) | .010 | 1.61 (1.35-1.92) | <.001 | 1.38 (1.13-1.69) | .002 |
| Ann Arbor III-IV | 2.00 (1.64-2.42) | <.001 | 1.41 (1.12-1.77) | .003 | 2.00 (1.65-2.42) | <.001 | 1.48 (1.18-1.85) | .003 |
| BM | 1.51 (1.24-1.85) | <.001 | — | — | 1.48 (1.22-1.79) | <.001 | — | — |
| Extranodal involvement >1 | 1.85 (1.48-2.31) | <.001 | 1.47 (1.14-1.88) | .003 | 1.81 (1.45-2.25) | <.001 | 1.55 (1.22-1.98) | <.001 |
| WHO PS >1 | 2.48 (2.09-2.94) | <.001 | 1.65 (1.34-2.02) | <.001 | 2.26 (1.91-2.68) | <.001 | 1.68 (1.37-2.04) | <.001 |
| Bulky disease (>10 cm) | 1.36 (1.05-1.80) | .019 | 1.38 (1.02-1.85) | .034 | 1.24 (0.95-1.62) | .110 | — | — |
| LDH > ULN | 1.49 (1.25-1.79) | <.001 | 1.40 (1.13-1.73) | .002 | 1.53 (1.28-1.83) | <.001 | 1.37 (1.11-1.69) | .003 |
| CNS | 1.70 (0.88-3.28) | .115 | — | — | 2.07 (1.11-3.87) | .023 | — | — |
| Skin | 1.29 (0.94-1.77) | .116 | — | — | 1.49 (1.10-2.02) | .011 | — | — |
| Lung | 1.36 (0.95-1.93) | .090 | — | — | 1.41 (1.00-1.99) | .049 | — | — |
| Pleural | 1.53 (1.06-2.22) | .023 | — | — | 1.58 (1.09-2.28) | .015 | — | — |
| Kidney | 2.59 (0.96-6.88) | .061 | — | — | 2.16 (0.81-5.78) | .125 | — | — |
| GI involvement | 1.64 (1.31-2.05) | <.001 | 1.65 (1.15-2.35) | .006 | 1.41 (1.13-1.77) | .002 | — | — |
| PTCL NOS | 1.00 | — | 1.00 | — | 1.00 | — | 1.00 | — |
| ALCL, ALKu | 0.98 (0.66-1.45) | .912 | 1.10 (0.71-1.70) | .678 | 0.89 (0.60-1.32) | .570 | 1.17 (0.75-1.81) | .491 |
| ALCL, ALKneg | 0.88 (0.68-1.14) | .320 | 1.03 (0.78-1.36) | .849 | 0.87 (0.68-1.12) | .276 | 1.10 (0.84-1.45) | .490 |
| ALCL, ALKpos | 0.207 (0.13-0.34) | <.001 | 0.55 (0.32-0.93) | .025 | 0.31 (0.20-0.47) | .001 | 0.66 (0.41-1.07) | .090 |
| AITL | 0.95 (0.73-1.23) | .681 | 0.78 (0.59-1.02) | .070 | 0.94 (0.73-1.22) | .650 | 0.79 (0.61-1.04) | .087 |
| EATL | 1.41 (1.05-1.90) | .022 | 1.29 (0.81-2.05) | .280 | 1.30 (0.97-1.75) | .079 | 1.96 (1.37-2.80) | <.001 |
| TCL U | 1.19 (0.86-1.64) | .296 | 1.08 (0.75-1.57) | .691 | 1.28 (0.93-1.76) | .135 | 1.15 (0.81-1.64) | .430 |
| NK/T, nt | 1.27 (0.85-1.90) | .249 | 2.18 (1.39-3.41) | .001 | 1.44 (0.96-2.17) | .079 | 2.40 (1.53-3.75) | <.001 |
| SPTCL | 0.50 (0.22-1.12) | .092 | 0.97 (0.43-2.21) | .941 | 0.67 (0.31-1.42) | .293 | 1.14 (0.53-2.46) | .733 |
| HSTCL | 1.12 (0.46-2.72) | .806 | 2.30 (0.92-5.70) | .074 | 1.20 (0.53-2.70) | .665 | 1.89 (0.82-4.35) | .136 |
| Factor . | OS (n = 685) . | PFS (n = 654) . | ||||||
|---|---|---|---|---|---|---|---|---|
| Univariable . | Multivariable . | Univariable . | Multivariable . | |||||
| . | HR (95% CI) . | P . | HR (95% CI) . | P . | HR (95% CI) . | P . | HR (95% CI) . | P . |
| Age | 1.040 (1.033-1.046) | <.001 | 1.038 (1.030-1.046) | <.001 | 1.030 (1.024-1.036) | <.001 | 1.029 (1.021-1.036) | <.001 |
| Male gender | 1.16 (0.97-1.37) | .098 | 1.28 (1.06-1.55) | .011 | 1.15 (0.97-1.36) | .101 | 1.26 (1.05-1.51) | .014 |
| B symptoms | 1.65 (1.38-1.97) | <.001 | 1.31 (1.07-1.60) | .010 | 1.61 (1.35-1.92) | <.001 | 1.38 (1.13-1.69) | .002 |
| Ann Arbor III-IV | 2.00 (1.64-2.42) | <.001 | 1.41 (1.12-1.77) | .003 | 2.00 (1.65-2.42) | <.001 | 1.48 (1.18-1.85) | .003 |
| BM | 1.51 (1.24-1.85) | <.001 | — | — | 1.48 (1.22-1.79) | <.001 | — | — |
| Extranodal involvement >1 | 1.85 (1.48-2.31) | <.001 | 1.47 (1.14-1.88) | .003 | 1.81 (1.45-2.25) | <.001 | 1.55 (1.22-1.98) | <.001 |
| WHO PS >1 | 2.48 (2.09-2.94) | <.001 | 1.65 (1.34-2.02) | <.001 | 2.26 (1.91-2.68) | <.001 | 1.68 (1.37-2.04) | <.001 |
| Bulky disease (>10 cm) | 1.36 (1.05-1.80) | .019 | 1.38 (1.02-1.85) | .034 | 1.24 (0.95-1.62) | .110 | — | — |
| LDH > ULN | 1.49 (1.25-1.79) | <.001 | 1.40 (1.13-1.73) | .002 | 1.53 (1.28-1.83) | <.001 | 1.37 (1.11-1.69) | .003 |
| CNS | 1.70 (0.88-3.28) | .115 | — | — | 2.07 (1.11-3.87) | .023 | — | — |
| Skin | 1.29 (0.94-1.77) | .116 | — | — | 1.49 (1.10-2.02) | .011 | — | — |
| Lung | 1.36 (0.95-1.93) | .090 | — | — | 1.41 (1.00-1.99) | .049 | — | — |
| Pleural | 1.53 (1.06-2.22) | .023 | — | — | 1.58 (1.09-2.28) | .015 | — | — |
| Kidney | 2.59 (0.96-6.88) | .061 | — | — | 2.16 (0.81-5.78) | .125 | — | — |
| GI involvement | 1.64 (1.31-2.05) | <.001 | 1.65 (1.15-2.35) | .006 | 1.41 (1.13-1.77) | .002 | — | — |
| PTCL NOS | 1.00 | — | 1.00 | — | 1.00 | — | 1.00 | — |
| ALCL, ALKu | 0.98 (0.66-1.45) | .912 | 1.10 (0.71-1.70) | .678 | 0.89 (0.60-1.32) | .570 | 1.17 (0.75-1.81) | .491 |
| ALCL, ALKneg | 0.88 (0.68-1.14) | .320 | 1.03 (0.78-1.36) | .849 | 0.87 (0.68-1.12) | .276 | 1.10 (0.84-1.45) | .490 |
| ALCL, ALKpos | 0.207 (0.13-0.34) | <.001 | 0.55 (0.32-0.93) | .025 | 0.31 (0.20-0.47) | .001 | 0.66 (0.41-1.07) | .090 |
| AITL | 0.95 (0.73-1.23) | .681 | 0.78 (0.59-1.02) | .070 | 0.94 (0.73-1.22) | .650 | 0.79 (0.61-1.04) | .087 |
| EATL | 1.41 (1.05-1.90) | .022 | 1.29 (0.81-2.05) | .280 | 1.30 (0.97-1.75) | .079 | 1.96 (1.37-2.80) | <.001 |
| TCL U | 1.19 (0.86-1.64) | .296 | 1.08 (0.75-1.57) | .691 | 1.28 (0.93-1.76) | .135 | 1.15 (0.81-1.64) | .430 |
| NK/T, nt | 1.27 (0.85-1.90) | .249 | 2.18 (1.39-3.41) | .001 | 1.44 (0.96-2.17) | .079 | 2.40 (1.53-3.75) | <.001 |
| SPTCL | 0.50 (0.22-1.12) | .092 | 0.97 (0.43-2.21) | .941 | 0.67 (0.31-1.42) | .293 | 1.14 (0.53-2.46) | .733 |
| HSTCL | 1.12 (0.46-2.72) | .806 | 2.30 (0.92-5.70) | .074 | 1.20 (0.53-2.70) | .665 | 1.89 (0.82-4.35) | .136 |
BM, bone marrow; CNS, central nervous system; GI, gastrointestinal; LDH, lactate dehydrogenase; ULN, upper limit of normal.
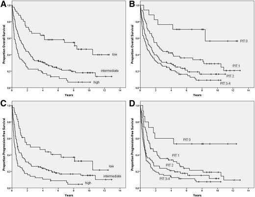
Two different prognostic scores, the International Prognostic Index (IPI) and the Prognostic Index for PTCL-U patients (PIT), were evaluated in PTCL NOS. OS according to different scores is presented in Figure 2. Both IPI and PIT separated the patients into 3 groups with different OS (n = 240), because the difference between PIT 2 and PIT 3-4 was not statistically significant. IPI separated the cohort in a low-risk group (n = 41) with a 5-year OS of 58%, an intermediate-risk group (n = 141) with a 5-year OS of 27%, and a high-risk group (n = 58) with a 5-year OS of 15%. The 5-year OS was 71% for PIT 0 (n = 17), 38% for PIT 1 (n = 38), 25% for PIT 2 (n = 78), and 18% for PIT 3-4 (n = 81). The results for PFS (n = 229) were similar to OS as illustrated in Figure 2. If PIT 2 and higher was considered high risk, 45% of the cases grouped in the same risk category for both IPI and PIT.
OS and PFS in PTCL NOS according to IPI and PIT score. (A) OS (n = 240) according to IPI score: low (IPI 0-1), intermediate (IPI 2-3), or high (IPI 4-5). (B) OS (n = 240) according to PIT score. (C) PFS (n = 229) according to IPI. (D) PFS (n = 229) according to PIT.
OS and PFS in PTCL NOS according to IPI and PIT score. (A) OS (n = 240) according to IPI score: low (IPI 0-1), intermediate (IPI 2-3), or high (IPI 4-5). (B) OS (n = 240) according to PIT score. (C) PFS (n = 229) according to IPI. (D) PFS (n = 229) according to PIT.
Primary treatment
Data on treatment were available for 708 out of the 757 patients (94%). Fifty-five patients (8%) never received any treatment, 42 patients (6%) received corticosteroids only, and 17 patients (2%) received radiotherapy as single-modality treatment. Out of 594 patients treated with chemotherapy, 499 received CHOP or CHOEP (84%). Details on treatment regimens are provided in supplemental Table 1 (available at the Blood Web site). Data on response were available for 570 (96%) of the patients treated with chemotherapy and included positron emission tomography CT in 36 cases. The overall response rate (ORR) was 70% among the evaluable patients, whereas 25% experienced refractory disease. Evaluable patients treated with CHOEP (n = 157) had a better ORR of 75% compared with 65% for patients treated with CHOP (n = 326) (P = .027). Auto-SCT as consolidation in first-line treatment was planned for 152 patients; however, 48 (32%) of them never received this treatment. Failure to proceed to auto-SCT was due to refractory disease (n = 20), stem cell mobilization failure (n = 5), toxicity (n = 3 [2 deaths]), physician’s choice (n = 3), comorbidity (n = 3), patient’s choice (n = 2), and unknown reasons (n =12). Four patients who failed stem cell mobilization underwent allogeneic SCT. Only 1 patient received allogeneic SCT as planned consolidation in first complete remission. The 5-year OS and PFS for all patients planned for auto-SCT regardless of subtype was 51% and 44%, respectively.
Radiotherapy
We analyzed the effect of irradiation as consolidation to primary chemotherapy in 118 stage I-II patients with ALCL, PTCL, AITL, and TCL U not treated with auto-SCT. Thirty-two patients received local radiation at a median dose of 40 Gy (range, 20-66 Gy). There was a trend toward superior survival among irradiated patients, with a 5-year OS of 73% and PFS of 60% compared with 53% and 45%, respectively, among nonirradiated (P = .067; P = .061). In univariable analysis, the addition of radiotherapy resulted in an HR of 0.58 (95% CI, 0.32-1.05; P = .071) for OS and an HR of 0.57 (95% CI, 0.32-1.03; P = .061) for PFS. When compensating for other significant risk factors in this group, there was no risk reduction associated with the addition of irradiation. Comparing responding patients treated with CHOP/CHOEP for 3 or 4 courses and irradiation (n = 12) with patients treated with at least 6 courses without irradiation (n = 40), there was a similar outcome in OS (P = .329) and PFS (P = .291).
Autologous SCT and etoposide
To further analyze the effect of auto-SCT in first-line therapy, we selected patients with ALKneg ALCL, AITL, PTCL NOS, EATL, and TCL U up to the age of 70 years treated with CHOP or CHOEP. A cohort of 252 patients fulfilled these criteria, and out of these, 128 cases were planned for auto-SCT (auto-SCT ITT population) and 124 were not planned for this treatment (non–auto-SCT), and in the latter group, none received auto-SCT as part of the initial treatment. Clinical characteristics of the groups are presented in Table 3. Median follow-up in the auto-SCT ITT group was 8.1 years (range, 3.4-11.9 years) for surviving patients. OS and PFS were superior in the auto-SCT ITT-group compared with the non–auto-SCT group (P < .001). The impact of clinical factors as well as treatment factors was analyzed in univariable and multivariable analyses. The best predictive value of the WHO performance score (PS) in univariable analysis was achieved when comparing a WHO PS 0 to all other scores, and this cutoff was used in the analysis. Patients in the auto-SCT ITT group had a favorable OS (HR, 0.57; P = .005) and PFS (HR, 0.59; P = .006) also when adjusting for multiple risk factors (Table 4). In the same cohort, we also analyzed the effect of the addition of etoposide to CHOP. Patients treated with CHOEP showed a trend toward higher ORR compared with CHOP (81% vs 70%; P = .052), but CHOEP was not independently associated with better OS (HR, 0.78; P = .288) or PFS (HR, 0.84; P = .424). Applying an age limit of up to 60 years, the addition of etoposide was associated with a better PFS (HR, 0.49; 95% CI, 0.29-0.83; P = .008), but not OS (HR, 0.58; 95% CI, 0.33-1.01; P = .052), in the multivariable model. The beneficial effect of auto-SCT was unaltered in this younger cohort (data not shown).
Clinical characteristics among 252 patients with ALKneg ALCL, AITL, TCL U, and EATL up to age 70 treated with CHOP/CHOEP
| . | Auto-SCT ITT (n = 128) . | Non–auto-SCT (n = 124) . | P . | CHOEP (n = 107) . | CHOP (n = 145) . | P . |
|---|---|---|---|---|---|---|
| Median age (range), y | 57 (24-68) | 65 (18-70) | <.001 | 52 (24-69) | 65 (18-70) | <.001 |
| Male | 87 (70) | 87 (68) | .707 | 72 (67) | 102 (70) | .604 |
| B symptoms | 83 (67) | 79 (62) | .536 | 72 (67) | 90 (62) | .414 |
| Ann Arbor I | 6 (5) | 24 (19) | 10 (9) | 20 (14) | ||
| II | 35 (28) | 18 (14) | 26 (24) | 27 (19) | ||
| III | 30 (24) | 28 (22) | .999* | 22 (21) | 36 (25) | .867* |
| IV | 53 (43) | 57 (45) | 49 (46) | 61 (42) | ||
| BM | 22 (18) | 29 (23) | .332 | 20 (19) | 31 (21) | .600 |
| Extranodal involvement >1 | 19 (15) | 18 (14) | .778 | 17 (16) | 20 (14) | .642 |
| WHO PS >0 | 71 (57) | 82 (64) | .176 | 63 (59) | 90 (62) | .574 |
| Bulky disease (>10 cm) | 9 (7) | 14 (11) | .292 | 7 (7) | 16 (11) | .223 |
| LDH > ULN | 83 (69) | 74 (60) | .233 | 67 (64) | 90 (64) | .797 |
| IPI 0-1 | 43 (35) | 28 (22) | .024 | 39 (37) | 32 (23) | .012 |
| IPI 2-3 | 62 (50) | 71 (56) | .385 | 57 (53) | 76 (54) | .893 |
| IPI 4-5 | 16 (13) | 23 (18) | .266 | 7 (7) | 32 (23) | .001 |
| CHOP | 42 (34) | 103 (80) | <.001 | — | — | — |
| CHOEP | 82 (66) | 25 (20) | — | — | — | — |
| PTCL NOS | 44 (34) | 65 (52) | — | 41 (38) | 68 (47) | — |
| ALKneg ALCL | 31 (24) | 21 (17) | — | 27 (25) | 25 (17) | — |
| AITL | 27 (21) | 20 (16) | — | 18 (17) | 29 (20) | — |
| EATL | 20 (16) | 14 (11) | — | 17 (16) | 17 (12) | — |
| TCL U | 2 (2) | 8 (6) | — | 4 (4) | 6 (4) | — |
| 5-y OS (%) | 48 | 26 | — | 47 | 30 | — |
| 5-y PFS (%) | 41 | 20 | — | 40 | 23 | — |
| . | Auto-SCT ITT (n = 128) . | Non–auto-SCT (n = 124) . | P . | CHOEP (n = 107) . | CHOP (n = 145) . | P . |
|---|---|---|---|---|---|---|
| Median age (range), y | 57 (24-68) | 65 (18-70) | <.001 | 52 (24-69) | 65 (18-70) | <.001 |
| Male | 87 (70) | 87 (68) | .707 | 72 (67) | 102 (70) | .604 |
| B symptoms | 83 (67) | 79 (62) | .536 | 72 (67) | 90 (62) | .414 |
| Ann Arbor I | 6 (5) | 24 (19) | 10 (9) | 20 (14) | ||
| II | 35 (28) | 18 (14) | 26 (24) | 27 (19) | ||
| III | 30 (24) | 28 (22) | .999* | 22 (21) | 36 (25) | .867* |
| IV | 53 (43) | 57 (45) | 49 (46) | 61 (42) | ||
| BM | 22 (18) | 29 (23) | .332 | 20 (19) | 31 (21) | .600 |
| Extranodal involvement >1 | 19 (15) | 18 (14) | .778 | 17 (16) | 20 (14) | .642 |
| WHO PS >0 | 71 (57) | 82 (64) | .176 | 63 (59) | 90 (62) | .574 |
| Bulky disease (>10 cm) | 9 (7) | 14 (11) | .292 | 7 (7) | 16 (11) | .223 |
| LDH > ULN | 83 (69) | 74 (60) | .233 | 67 (64) | 90 (64) | .797 |
| IPI 0-1 | 43 (35) | 28 (22) | .024 | 39 (37) | 32 (23) | .012 |
| IPI 2-3 | 62 (50) | 71 (56) | .385 | 57 (53) | 76 (54) | .893 |
| IPI 4-5 | 16 (13) | 23 (18) | .266 | 7 (7) | 32 (23) | .001 |
| CHOP | 42 (34) | 103 (80) | <.001 | — | — | — |
| CHOEP | 82 (66) | 25 (20) | — | — | — | — |
| PTCL NOS | 44 (34) | 65 (52) | — | 41 (38) | 68 (47) | — |
| ALKneg ALCL | 31 (24) | 21 (17) | — | 27 (25) | 25 (17) | — |
| AITL | 27 (21) | 20 (16) | — | 18 (17) | 29 (20) | — |
| EATL | 20 (16) | 14 (11) | — | 17 (16) | 17 (12) | — |
| TCL U | 2 (2) | 8 (6) | — | 4 (4) | 6 (4) | — |
| 5-y OS (%) | 48 | 26 | — | 47 | 30 | — |
| 5-y PFS (%) | 41 | 20 | — | 40 | 23 | — |
Data are presented as n (%) unless otherwise indicated. Dare missing for B symptoms (n = 3), stage (n = 1), WHO PS (n = 3), bulky disease (n = 2), and IPI (n = 9).
BM, bone marrow; LDH, lactate dehydrogenase; ULN, upper limit of normal. CNS, central nervous system; GI, gastrointestinal.
Statistical comparison between stage I-II and stage III-IV.
Multivariable analysis of factors for OS and PFS in ALKneg ALCL, AITL, TCL U, and EATL patients up to age 70 treated with CHOP/CHOEP
| . | OS (n = 248) . | PFS (n = 243) . | ||
|---|---|---|---|---|
| HR (95% CI) . | P . | HR (95% CI) . | P . | |
| Age | 1.003 (0.984-1.023) | .730 | 1.000 (0.982-1.018) | .998 |
| Male gender | 1.60 (1.12-2.29) | .010 | 1.66 (1.16-2.35) | .005 |
| Ann Arbor III-IV | 1.56 (1.03-2.31) | .028 | 1.54 (1.05-2.25) | .028 |
| Extranodal involvement >1 | 1.55 (1.03-2.35) | .037 | 1.57 (1.04-2.35) | .030 |
| WHO PS >0 | 1.78 (1.23-2.57) | .002 | 1.81 (1.26-2.60) | .001 |
| PTCL NOS | 1.00 | — | 1.00 | — |
| ALKneg ALCL | 0.81 (0.50-1.25) | .307 | 0.78 (0.50-1.21) | .261 |
| AITL | 0.90 (0.59-1.39) | .643 | 0.90 (0.59-1.38) | .628 |
| EATL | 1.92 (1.18-3.14) | .009 | 1.52 (0.95-2.45) | .083 |
| TCL U | 1.98 (0.96-4.09) | .066 | 2.05 (0.99-4.24) | .052 |
| Etoposide | 0.81 (0.53-1.25) | .341 | 0.87 (0.57-1.32) | .507 |
| Auto-SCT ITT | 0.58 (0.40-0.84) | .004 | 0.56 (0.39-0.81) | .002 |
| . | OS (n = 248) . | PFS (n = 243) . | ||
|---|---|---|---|---|
| HR (95% CI) . | P . | HR (95% CI) . | P . | |
| Age | 1.003 (0.984-1.023) | .730 | 1.000 (0.982-1.018) | .998 |
| Male gender | 1.60 (1.12-2.29) | .010 | 1.66 (1.16-2.35) | .005 |
| Ann Arbor III-IV | 1.56 (1.03-2.31) | .028 | 1.54 (1.05-2.25) | .028 |
| Extranodal involvement >1 | 1.55 (1.03-2.35) | .037 | 1.57 (1.04-2.35) | .030 |
| WHO PS >0 | 1.78 (1.23-2.57) | .002 | 1.81 (1.26-2.60) | .001 |
| PTCL NOS | 1.00 | — | 1.00 | — |
| ALKneg ALCL | 0.81 (0.50-1.25) | .307 | 0.78 (0.50-1.21) | .261 |
| AITL | 0.90 (0.59-1.39) | .643 | 0.90 (0.59-1.38) | .628 |
| EATL | 1.92 (1.18-3.14) | .009 | 1.52 (0.95-2.45) | .083 |
| TCL U | 1.98 (0.96-4.09) | .066 | 2.05 (0.99-4.24) | .052 |
| Etoposide | 0.81 (0.53-1.25) | .341 | 0.87 (0.57-1.32) | .507 |
| Auto-SCT ITT | 0.58 (0.40-0.84) | .004 | 0.56 (0.39-0.81) | .002 |
Auto-SCT ITT, patients planned for high-dose chemotherapy and autologous stem cell transplantation; etoposide, addition of etoposide to CHOP.
Relapse and progression
The median OS after relapse/progression in 211 patients initially responding (partial or complete response) to primary treatment was 6.0 months. Only 19 of these patients were alive at the time of data collection. Twelve patients received auto-SCT after relapse treatment, and 12 patients received allogeneic SCT after relapse (10 in second complete remission, 2 in later remission). Two patients treated with auto-SCT and 7 patients treated with allogeneic SCT are still alive (6 transplanted in second complete remission). Among patients with primary refractory disease (n = 143), median OS from response evaluation was only 2.5 months. A total of 6 patients were alive at data collection, 2 of whom had undergone allogeneic SCT in second complete remission and 1 auto-SCT.
Discussion
This study is based on the entire Swedish population for a 10-year period and, as far as we know, is the largest population-based material reported on PTCL. The relative frequencies of malignant lymphomas are known to vary geographically,15 and with 7.4% of all lymphomas in the Swedish population, PTCLs seem to be even more rare than the often estimated 10%.1 The ITLP study reports PTCL NOS to be the most frequent subtype in Europe and suggests that EATL would be more common in northern Europe, related to the high prevalence of celiac disease.2 One of the most important limitations to the present study is the lack of central pathology review. Our review of pathology reports served as a quality control of the entries in the lymphoma registry rather than questioning any diagnoses. The frequencies of different PTCLs must therefore be interpreted with some caution, but our data seem to confirm PTCL NOS as the most common subtype. EATL was found at a frequency equaling the European average, whereas ALCL was found in a higher frequency and AITL in a lower frequency than expected from the ITLP report.2 Without any previous population-based study reporting from northern Europe, our data serve as baseline information in this respect.
The median age in our study is higher across all major subgroups than reported in previous large series, which is a good indication of its truly population-based characteristics. The higher median age is probably a major explanation for the somewhat lower OS seen for several subgroups in our material, as compared with those published by the ITLP or from British Columbia.2,12 Still, the 38% 5-year OS for ALKneg ALCL was lower than expected, and we could not detect a better outcome for ALKneg ALCL compared with PTCL NOS, as has been suggested previously.2,8 One possible explanation for this could be the lack of central pathology review resulting in a number of PTCL NOS being classified as ALKneg ALCL in our study. The favorable outcome in ALKneg ALCL in the Nordic T-01 trial might also be explained by a beneficial effect of auto-SCT in this subgroup.8
Previous studies have found the IPI to be predictive of outcome,2,12,16 and in our cohort with all types of PTCLs included, each individual IPI factor was found to be of independent prognostic value. We also identified additional factors with prognostic impact, and interestingly, male gender was linked to inferior OS and PFS in multivariable analysis. This observation has been made in PTCLs in smaller series before8,17 as well as in B-cell lymphomas.18 IPI is, however, not likely to be optimal for risk assessment in all types of PTCLs.17,19 In PTCL NOS, the PIT score has been suggested to be a better tool for risk stratification than the IPI.20 In our study, both IPI and PIT performed similarly well, dividing the patients into 3 risk categories. The PIT score was perhaps slightly better in identifying a true “low”-risk group (PIT 0); however, this group contained only 17 patients, which limits its usefulness, and our data do not support the superiority of either score.
As in previous studies, ALKpos ALCL was associated with a favorable outcome, but because ALKpos ALCL patients tend to exhibit favorable disease characteristics, the importance of ALK status has been questioned. In a retrospective analysis from clinical trials, Sibon et al concluded that ALK status had no independent impact on outcome in ALCL.21 Our data support this finding, because ALKpos ALCL did not have a significantly better survival compared with ALKneg ALCL in multivariable analysis. It should, however, be noted that patients in our study were differentially treated, and very few ALKpos ALCL received auto-SCT as consolidation to primary treatment.
With the exception of NK/T, nt, there is little information on the role of radiotherapy as consolidation to chemotherapy in limited-stage noncutaneous PTCL.22 Adjusting for other risk factors, patients with stage I-II nodal PTCLs treated with radiotherapy as consolidation to chemotherapy had a similar outcome compared with patients treated with only chemotherapy in our study. However, the decision to include radiotherapy in primary treatment was not always clearly stated at the beginning of therapy, and we cannot rule out some degree of selection of poor responders in the radiotherapy group. Our results should be interpreted with some caution, and firm conclusions about the role of radiotherapy cannot be drawn from these data.
Even if widely used, there is no definite evidence that the addition of etoposide to CHOP or consolidation of primary treatment with auto-SCT improves outcome for PTCL patients.23 The best evidence for the beneficial effect of etoposide comes from a retrospective analysis by Schmitz et al, where a better event-free survival for younger patients treated with CHOEP was seen.7 Never tested in a randomized study, the largest prospective trial evaluating auto-SCT consolidation comes from the Nordic Lymphoma Group (the NLG T-01 study), where patients with de novo PTCL were treated with 6 courses of biweekly CHOEP, with etoposide omitted for patients above 60 years of age, followed by carmustine, etoposide, cytarabine and melphalan or melphalan replaced by cyclophosphamide and auto-SCT.8 The outcome in the NLG T-01 study compares favorably to historical controls, but although the authors suggest a low selection bias, this factor still needs to be accounted for, and only patients who were considered to tolerate auto-SCT were entered.
In the present study, a slightly lower proportion received the planned auto-SCT (68 vs 72%), but the 5-year OS and PFS of 51% and 44%, respectively, are identical compared with the NLG T-01 study. To further evaluate the effect of auto-SCT and etoposide addition, we selected all patients who would receive this treatment according to the current Swedish treatment guidelines. During the studied time period, upfront auto-SCT was a widely used strategy, although the upper age limit for this treatment during the first years was approximately 65 years. The multivariable analysis shows a risk reduction for patients planned for auto-SCT, but there might be a degree of selection bias, because the retrospective assignment to either group depended on physician notes. The decision to aim for auto-SCT was usually made as soon as the diagnosis of PTCL was established, but active negation of plans to perform auto-SCT was uncommon. It can therefore not be excluded that this intention went undocumented in a few cases with very short survival. Among patients up to 60 years, a beneficial effect of adding etoposide to CHOP could be detected. This might partly be explained by selection of patients with limited comorbidities for intensified treatment options. Similar to the study by Schmitz et al,7 this was statistically significant only for PFS, and when patients up to the age of 70 were included, there was no longer any risk reduction to be seen.
Recently, Mak et al5 reported a median OS of 5.5 months after relapse in 153 patients with nodal PTCL, also reported from a smaller series by Biasoli et al.24 We confirm the very poor outcome after relapse with a median OS of 6.0 months after relapse or progression in patients responding to primary therapy.
In conclusion, large population-based studies on PTCLs are few, and our data provide important information about outcome in an unselected cohort. Male gender might be an underestimated risk factor for adverse outcome in PTCL. This is the largest study on the outcome of CHOP-based induction treatment followed by auto-SCT in an unselected population, and the results support the role of auto-SCT consolidation for EATL and nodal PTCLs except ALKpos ALCL. Our data also support that adding etoposide to CHOP has a beneficial effect in younger patients with these subtypes. Outcome with current treatment is still, to a large extent, unsatisfactory, but new drugs will hopefully improve treatment outcome substantially. Our data could provide a baseline to compare how future advances in treatment may translate into the everyday clinic.
The online version of this article contains a data supplement.
The publication costs of this article were defrayed in part by page charge payment. Therefore, and solely to indicate this fact, this article is hereby marked “advertisement” in accordance with 18 USC section 1734.
Acknowledgments
The authors thank all clinicians contributing to the Swedish Lymphoma Registry. They would also like to thank Mia Ajax, Karin Ekström Smedby, Hans Hagberg, and Herman Nilsson-Ehle, who were very helpful during data collection; Mats Ehinger, Birgitta Sander, and Christer Sundström for help with pathology report review; and Lars Brudin for advice in statistical analyses.
Authorship
Contribution: F.E., M.J., and T.R. designed the research; F.E. and J.L. collected data; and F.E., M.J., J.L., and T.R. analyzed data and wrote the paper.
Conflict-of-interest disclosure: The authors declare no competing financial interests.
Correspondence: Fredrik Ellin, Department of Internal Medicine, Kalmar County Hospital, S-391 85 Kalmar, Sweden; e-mail: fredrik.ellin@med.lu.se.


This feature is available to Subscribers Only
Sign In or Create an Account Close Modal