Abstract
Follicular lymphoma (FL) is the second most common type of non-Hodgkin lymphoma at time of diagnosis, most patients have advanced disease, Although effective therapies are available, this disease remains incurable with standard therapy. Recently two clinical trials comparing different regimens of immunochemotherapy have been published. Federico et al, compared R-CVP, R-CHOP and R-FCM. Response rates and PFS were similar among patients receiving R-CHOP and R-FM, with more toxicity and secondary malignancies in R-FM group.
The aim of this study is to analyze the efficacy in terms of responses, OS and PFS, and safety of fludarabine, cyclophosphamide and rituximab (FCR) as induction therapy.
We retrospectively analyzed 78 patients diagnosed with grade 1, 2 or 3a follicular lymphoma between 2001 and May/2011.
Patients´s characteristics are in table 1. The median of cycles was 4 (3-6 cycles).
| N=78 | |
| Age (median) | 59 years (28-85) |
| Sex M/W | 55/45% |
| Histotype grade (n=59) 1 2 1-2 3a | 47,5% 42,4% 5,1% 5,1% |
| Bcl-2 + (n=60) | 65% |
| Ann Arbor Stage (n=78) | 6,4% |
| II | 25,6% |
| III | 67,9% |
| IV | |
| B symptoms (n=78) | 39,7% |
| Mass > 6 cm (n=77) | 48,1% |
| Mass location (n=33) | 81% |
| Abdominal | 6% |
| Axillary | 6% |
| Inguinal | 6% |
| Chest | 3% |
| Neck | |
| FLIPI 2 (n=75) | 6,7% |
| Low risk | 48% |
| Intermediate risk | 45,3% |
| High risk | |
| Extranodal disease (n=78) | 25,6% |
| Spleenic disease (n=78) | 34,6% |
| Peripheral Blood (n=78) | 39.7% |
| Bone Marrow (n=78) | 65,4% |
| Hemoglobine (mean) (n=78) | 133 g/dl (+/- 18,5) |
| <120g/dl | 23% |
| β2- microglobuline (n=78) | 2.5 (1,22-13) mg/dl |
| >2.5 mg/dl | 46,8% |
| High LDH (n=78) | 18,2% |
| N=78 | |
| Age (median) | 59 years (28-85) |
| Sex M/W | 55/45% |
| Histotype grade (n=59) 1 2 1-2 3a | 47,5% 42,4% 5,1% 5,1% |
| Bcl-2 + (n=60) | 65% |
| Ann Arbor Stage (n=78) | 6,4% |
| II | 25,6% |
| III | 67,9% |
| IV | |
| B symptoms (n=78) | 39,7% |
| Mass > 6 cm (n=77) | 48,1% |
| Mass location (n=33) | 81% |
| Abdominal | 6% |
| Axillary | 6% |
| Inguinal | 6% |
| Chest | 3% |
| Neck | |
| FLIPI 2 (n=75) | 6,7% |
| Low risk | 48% |
| Intermediate risk | 45,3% |
| High risk | |
| Extranodal disease (n=78) | 25,6% |
| Spleenic disease (n=78) | 34,6% |
| Peripheral Blood (n=78) | 39.7% |
| Bone Marrow (n=78) | 65,4% |
| Hemoglobine (mean) (n=78) | 133 g/dl (+/- 18,5) |
| <120g/dl | 23% |
| β2- microglobuline (n=78) | 2.5 (1,22-13) mg/dl |
| >2.5 mg/dl | 46,8% |
| High LDH (n=78) | 18,2% |
Overall response rate (ORR) was 95% (CR 79,5%, PR 15,4%). 57,7% received rituximab as consolidation in four weekly doses after induction immunochemotherapy and 46,8% of patients underwent maintenance therapy with rituximab at 375mg/m2, every 3 months during 2 years. After maintenance, two out of three patients in PR after induction achieved CR while three patients in CR relapsed. ORR after maintenance therapy was 94,3%, (CR:91,4%; PR: 2,9%).
Overall toxicity was 79,5% (n=62). Neutropenia grades 3-4: 65,4%; grades 3-4 anemia: 39,7%; grades 3-4 thrombopenia in five patients. Grades 3-4 infectious episodes in 6 patients. There were no treatment-related deaths.
At last follow-up six patients had a secondary malignancy (7,7%): one squamous cells skin, one endometrial cancer, three myelodysplastic syndrome and one cholangiocarcinoma.
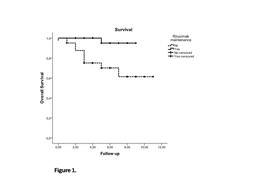
With a median follow up of 4 years (8 months-11 years), PFS was 84,6% at 10 years, median time to relapsed of 22 months (5-88). Four patients suffered histological transformation. In multivariate analysis, Hb < 12 gr/dl at diagnosis (HR = 4,7 (CI 95% 1,18-18,6, p=0,028)), response after induction (HR =4,9 (CI 95% 1,01-24, p=0,048), for patients with PR compared to CR; and HR = 21,27 (CI 95% 4,33-104, p<0,001) for patients with SD or PD compared to CR, were indentify as independent prognostic factors for PFS. OS was 83,4% at 10 years. Causes of death were: relapse/progression (n=7) , septic shock (1) , secondary malignancies (3; two of them hematological malignancies), aortic aneurysm rupture (1), and colonic perforation secondary to diverticulosis (1). In multivariate analysis factors related to worse survival were: not to receive rituximab maintenance HR = 10,7 (CI 95% 1,4-82,5, p=0,023), and to have β2-microglobuline > 2,5 mg/dL , HR = 5,2 (CI 95% 1,16-23,7, p=0,031).
Complete remission rate (CRR) favourably compares in the current study to that previously described with R-CHOP (80% vs 73%) with a higher incidence of neutropenia and infectious complications, although with no treatment related mortality. Hb > 12 mg/dl and to obtain a CR after induction immunochemotherapy are related to a better PFS. Maintenance therapy with rituximab favourably influences on survival (Figure 1). This finding is remarkable since, so far, maintenance with R has been reported to improve PFS but not OS.
No relevant conflicts of interest to declare.
Author notes
Asterisk with author names denotes non-ASH members.

This feature is available to Subscribers Only
Sign In or Create an Account Close Modal