Abstract
The use of tyrosine kinase inhibitors (TKIs) has transformed the treatment of chronic myeloid leukaemia (CML), changing it from a disease that was fatal in non-transplant patients to a long-term condition managed by oral medication. However, survival rates in the US SEER populations are much poorer than predicted by clinical trials. The aim of this study was to investigate whether these differences were also apparent in the UK. To address this, we present contemporary (2004-13) population-based (3.6 million) data from an established patient cohort (www.hmrn.org). All of the patients were treated within the UK's National Health Service (NHS) where TKIs are freely available on the basis of clinical need.
242 patients were diagnosed with CML in the study region Sept 2004 to Aug 2011; a crude annual incidence rate of 0.97 per 100,000. Using established methods, time to event analyses was used to calculate overall survival (OS), relative survival (RS), and loss of molecular response; and the quintile distribution of the income domain of the index of deprivation (IMD) was used as marker of socio-economic status.
47 (19.5%) patients died before the 1st April 2013; minimum follow-up 1.5 yrs and maximum 8.5 yrs. The 5-year OS was 78.9% and RS, taking into account background general population mortality, was 88.6% (Fig 1). Only 8 (3.3%) of the 242 patients were not treated with TKIs within the study region: 2 died before treatment could be started, 1 refused treatment, 1 had another cancer, 2 had supportive care only, and 2 moved to another part of the country (both were alive on 1st April 2013). 219 (93.6%) of the 234 treated patients received first-line Imatinib, the remainder receiving Dasatinib as part of a clinical trial.
OS & RS: 242 CML patients
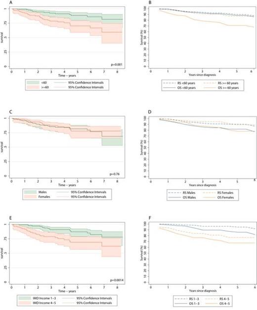
The efficacy of TKI treatment across all ages is demonstrated in Fig 2. Whilst the age-specific crude survival curves continue to diverge (P=0.001), the relative survival curves for the two age groups remain closely aligned (5-year RS< 60 =89.9%, ≥ 60= 87.2%). Gender had little impact on outcome (5-year RS men = 90.1%, women = 89.1%). By contrast, the deprivation-specific RS curves remain as disparate from each other as the OS curves (P=0.0014); the 5-year RS estimates of the most affluent (quintiles 1 to 3) and the least affluent (quintiles 4 to 5) being 94.9% and 79.5% respectively. These deprivation differences could not be explained by variations in acquisition of TKI resistance (n=10) or acquisition of additional cytogenetic abnormalities (n=7), both of which were rare in this population: for deprivation categories1-3 and 4-5 TKI resistance was 4/140 and 6/94 respectively, and for acquisition of additional cytogenetic abnormalities it was 7/140 and 0/94 respectively. As can be seen from Table 1, however, differences in survival associated with deprivation were evident both for molecular response achievement and maintenance; defined here as one or more readings ≤ 0.1 (MMR) or ≤ 1.0 (MR). Whilst the differences by deprivation are not statistically significant in the case of the former, the findings for loss of response combined with death from CML are, as expected, consistent with the findings for survival (Fig 2).
OS & RS; 234 TKI treated CML patients by age (A, B) sex (C, D) & deprivation (E, F)
OS & RS; 234 TKI treated CML patients by age (A, B) sex (C, D) & deprivation (E, F)
Patients with molecular response (≤1%)
| . | Achieved molecular response . | Loss of molecular response/CML death# by 1st April 2013 . | ||||
|---|---|---|---|---|---|---|
| Frequency . | . | HR (95% CI) . | ||||
| . | Crude . | Adjusted* . | ||||
| Major molecular response ≤0.1% | ||||||
| Deprivation quintile | ||||||
| 1-3 | 100/140 (71.4%) | 35/100 (35.0%) | 1 | 1 | ||
| 4-5 (less affluent) | 56/94 (59.6%) | 27/56 (48.2%) | 1.68 (1.03-2.78) | 1.71 (1.03-2.84) | ||
| Molecular response ≤1.0% | ||||||
| Deprivation quintile | ||||||
| 1-3 | 115/140 (82.1%) | 22/115 (19.1%) | 1 | 1 | ||
| 4-5 (less affluent) | 67/94 (71.3%) | 21/67 (31.3%) | 1.78 (0.98-3.24) | 1.90 (1.03-3.49) | ||
| . | Achieved molecular response . | Loss of molecular response/CML death# by 1st April 2013 . | ||||
|---|---|---|---|---|---|---|
| Frequency . | . | HR (95% CI) . | ||||
| . | Crude . | Adjusted* . | ||||
| Major molecular response ≤0.1% | ||||||
| Deprivation quintile | ||||||
| 1-3 | 100/140 (71.4%) | 35/100 (35.0%) | 1 | 1 | ||
| 4-5 (less affluent) | 56/94 (59.6%) | 27/56 (48.2%) | 1.68 (1.03-2.78) | 1.71 (1.03-2.84) | ||
| Molecular response ≤1.0% | ||||||
| Deprivation quintile | ||||||
| 1-3 | 115/140 (82.1%) | 22/115 (19.1%) | 1 | 1 | ||
| 4-5 (less affluent) | 67/94 (71.3%) | 21/67 (31.3%) | 1.78 (0.98-3.24) | 1.90 (1.03-3.49) | ||
CML deaths=14
age and sex
In contrast to findings reported by SEER, the outcome for patients with CML in the UK treated mainly with Imatinib is excellent, and almost identical to the results of clinical trials. Age and gender no longer have prognostic significance and incidence of adverse biological events is low and appears sporadic. However, despite free access to TKI therapy, clinical outcomes are significantly poorer in lower socio-economic groups, and this is now one of the strongest predictors of outcome in CML in the UK. Identification of the mechanism of this effect and the design of appropriate interventions could further improve survival.
Patmore:Roche: Consultancy, Honoraria. Jack:Roche /Genentech: Research Funding.
Author notes
Asterisk with author names denotes non-ASH members.


This feature is available to Subscribers Only
Sign In or Create an Account Close Modal