Abstract
Acute graft-versus-host disease (aGVHD) is a major life-threatening complication following allogeneic stem cell transplantation (alloSCT), affecting 35%-70% of recipients despite standard prophylaxis regimens. Thus, developing innovative strategies to prevent and treat GVHD is a major unmet need. Cannabidiol (CBD), a safe and non-psychotropic ingredient of marijuana, has been shown to exhibit potent immune-modulatory and anti-inflammatory properties in animal models of various inflammatory diseases. We hypothesized that administration of CBD during alloSCT may significantly decrease GVHD incidence.
We conducted a phase I/II trial. All patients were given standard GVHD prophylaxis consisting of cyclosporine and a short course of methotrexate (15 mg/m2 on day +1 and 10 mg/m2 on days +3 and +6). The investigational agent, CBD (STI Pharmaceuticals, Essex, UK), was orally administered at a dosage of 150 mg twice daily from starting of conditioning up to day +30. Primary end points were safety and cumulative incidence of grade 2-4 and grade 3-4 aGVHD by day +100. The secondary end points were cumulative incidence of chronic and chronic extensive GVHD, non-relapse mortality (NRM), relapse incidence, and overall survival (OS).
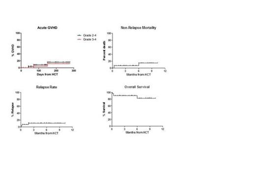
Between 9/2012 and 6/2013, 30 consecutive unselected adult patients undergoing alloSCT were enrolled (median age=52, range, 22-71 years). Median follow-up was 4.8 months (range, 1-10.3). Base line diseases were acute leukemia (n=21, 70%), myelodysplastic syndrome (n=2, 7%), lymphoma (n=5, 17%), aplastic anemia (n=1, 3%), and multiple myeloma (n=1, 3%). 73% were in CR/PR at transplantation. The majority of patients were given a myeloablative preparative regimen (n=22, 73%). The donor was either an HLA identical sibling (n=16) or 10/10 matched unrelated donor (n=12) or 1 antigen mismatched unrelated donor (n=2). All patients were given G-CSF mobilized peripheral blood stem cell grafts. There were no documented grade 3-4 toxicities attributed to CBD. There were no cases of graft rejection. In all, 2 patients developed aGVHD by day 100 (grade 2, n=1 and grade 3, n=1) and one patient developed late onset aGVHD (grade 4, n=1). The cumulative incidences of grade 2-4 aGVHD and grade 3-4 aGVHD by day +100 were 8.4% and 4.5%, respectively. Five patients developed chronic GVHD, 4 had limited disease and one extensive disease. There were 4 deaths because of sepsis (n=1), cardiac arrhythmia (n=1), grade 4 aGVHD (n=1) and relapse (n=1). Cumulative incidences of NRM at 3 and 6 months were both 6.9% and incidences of relapse were both 10.7%. OS at 3 and 6 months were both 90%.
These data suggest that the combination of CBD with standard GVHD prophylaxis is a safe and promising strategy to reduce the incidence of GVHD. Nevertheless, a well designed prospective controlled study comparing this novel approach with standard GVHD prophylaxis is warranted. Follow-up data on safety, efficacy, and on additional subjects will be presented.

No relevant conflicts of interest to declare.
Author notes
Asterisk with author names denotes non-ASH members.
This feature is available to Subscribers Only
Sign In or Create an Account Close Modal