Abstract
About 95% of patients with polycythemia vera (PV) and 60-70% of those with essential thrombocythemia (ET) carry the unique JAK2 (V617F) mutation. Previous observations suggest that JAK2 (V617F)-positive ET and PV form a biological continuum, in which the degree of erythrocytosis is determined by physiological and genetic factors.
In this work, we studied the natural history of JAK2 (V617F)-positive ET and PV with the aim of establishing whether the two disorders indeed represent different phenotypic expression of a genotypic/phenotypic continuum.
We identified 1269 patients diagnosed with ET or PV at our Division between 1980 and 2012, for whom at least one DNA sample was available. The JAK2 (V617F) mutation was assessed using allele-specific quantitative PCR. As patients carrying JAK2 exon 12 or MPL mutations were excluded, the final study population included 1214 patients, 719 of whom with ET (463 JAK2 mutated, 256 JAK2 wild-type) and 495 with PV.
I: presenting features
The clinical phenotype of ET patients at diagnosis differed according to JAK2 mutational status. JAK2 mutated ET presented with older age at diagnosis, higher hemoglobin (Hb) level and white blood cell (WBC) count, lower platelet (PLT) count and erythropoietin level compared to JAK2 wild-type ET (Wilcoxon rank-sum test: P<.001 in all comparisons).
The median V617F allele burden was significantly lower in JAK2 mutated ET than in PV (18.4% vs 43.4%, P<.001). A mutant allele burden greater than 50% was observed in 2% of patients with JAK2 mutated ET and 41.5% of those with PV (Fisher exact test: P<.001). In both JAK2 mutated ET and PV, the mutant allele burden was directly related to WBC count and Hb level.
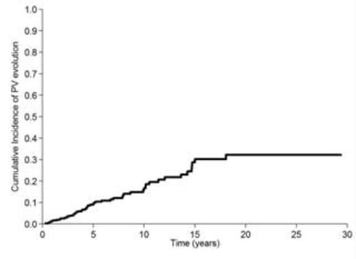
II: PV evolution
Evolution to PV was observed in 53 JAK2 mutated ET patients (incidence 95% CI: 1.4-2.4 per 100 p-years) vs none of the 256 JAK2 wild-type ET (incidence 95% CI: 0-0.2 per 100 p-years), resulting in a significantly different occurrence. The median time to PV evolution was 54 months (range 3.5-220). The cumulative incidence of PV evolution in JAK2 mutated ET patients at 15 years was 28.8% (95% CI: 20.7-37.3; Figure 1). PV evolution was significantly associated with higher JAK2 allele burden at diagnosis (Cox regression HR=1.04, P<.001).
cumulative incidence of PV evolution in JAK2 mutated ET
Based on the hypothesis that PV patients might have had a silent “pre-PV phase”, we did an ad hoc search for any complete blood count (CBC) collected before diagnosis. Among PV patients, 177 (36%) had a previous CBC, collected at a median time of 22 months (range 1-305) before PV diagnosis. A normal CBC was observed in 15% of patients; the remaining subjects showed thrombocytosis (≥450 x 109/L) and/or leukocytosis (≥10 x 109/L) and/or erythrocytosis. The median time to PV onset was significantly shorter in patients showing at least one CBC abnormality than in those with normal CBC (24 vs 48 months, P=.011).
III: clinical course
The median follow-up was 5.1 years (range, 0-32 years). JAK2-mutated ET and PV did not differ in terms of cumulative incidence of thrombosis (25.3% vs 33.7% at 15 years, P=.35; Figure 2A) and had similar overall survival (OS) (90.3% vs 82.6% at 15 years, P=.29; Figure 2B). Conversely, JAK2 wild-type ET showed a better OS in comparison with both JAK2 mutated ET (P=.028) and PV (P=.004) and a lower incidence of thrombosis (12.7% at 15 years) than JAK2 mutated ET (P=.002) and PV (P<.001).
cumulative incidence of thrombosis
overall survival
A similar cumulative incidence of disease progression (leukemia and myelofibrosis) was observed in JAK2 mutated (11.7% at 15 years) and JAK2 wild-type ET (12.1% at 15 years), whereas a higher cumulative incidence was observed in PV (26% at 15 years; P=.011 and P=.007 when compared with JAK2 mutated ET and JAK2 wild-type ET respectively).
This study supports the hypothesis that JAK2 mutated ET and PV are different expressions of a genotypic/phenotypic continuum, in which the mutant allele burden contributes to determine the clinical phenotype. The risk of progression from JAK2 mutated ET to PV is about 2% per year.
This work was supported by grant #1005 from Associazione Italiana per la Ricerca sul Cancro (AIRC) “Special Program Molecular Clinical Oncology 5x1000” to AGIMM (AIRC-Gruppo Italiano Malattie Mieloproliferative - http:www-progettoagimm.it).
No relevant conflicts of interest to declare.
Author notes
Asterisk with author names denotes non-ASH members.



This feature is available to Subscribers Only
Sign In or Create an Account Close Modal