Abstract
Abstract 4978
Testosterone (T) is important for maintenance of bone mineral density and muscle mass, stimulation of erythropoiesis, energy level, mood, and libido. Androgen deprivation therapy, i. e. near-complete hypogonadism, for prostate cancer is associated with type 2 diabetes, myocardial infarction, and overall mortality. In a study of male cancer patients with prostate and germ cell tumors, the prevalence of low T was 48–78% with opioid use, obesity, and being Caucasian as statistically significant covariates. Obesity increases T in women, with an associated increased breast cancer risk, and lowers T in men while raising estradiol levels. As fatigue and depression are common in multiple myeloma, we conducted a review of T in myeloma patients. None of the published literature has looked for an association between free testosterone and either characteristics of disease biology or concrete endpoints such as age of diagnosis, performance status, progression free survival, or overall survival.
We retrospectively reviewed consecutive patients with plasma cell dyscrasias referred to Ohio State University that signed consent for the IRB-approved Ohio Myeloma Registry (www. ohiomyeloma. org). 343 patients were initially identified with either a total or free testosterone level available for evaluation, 171 patients with active myeloma.
168 patients had a diagnosis of active myeloma and low or normal T – 44/171 (25%) were receiving opiates, 29/171 (17%) were taking anti-depressants, and 135/171 (79%) were male. 37/171 (22%) had type 2 diabetes and 92/171 (54%) had hypertension. The BMI median was 28. 9 (range 16. 9–53. 1) with 32 (19%) patients normal, 48 (28%) overweight, and 60 (35%) obese. The median time from diagnosis to T assessment was 49 days. In the entire cohort, the median free testosterone was 4. 17 (range 0. 11–16. 17) with 45 (26%) patients below the normal range, 123 (72%) within normal limits, and 3 (2%) with high T. In the subset of male patients (n=135), the median age was 61 y. o. (range 18–80).
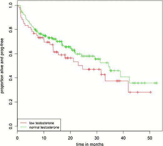
We designated two groups of male patients – 44 with low T and 91 with normal T. When comparing the two groups across hemoglobin, creatinine, calcium, stage, BMI, renal insufficiency, and anemia, there were no statistically significant differences. There was a difference between the presence or absence of lytic bone disease (p<0. 036) – less detectable bone disease on skeletal survey in the normal testosterone group. The median PFS in the low free T group was 23 months (16 events) and 35 months in the normal T group (27 events), p<0. 28. If we repeated this analysis but included women, the median PFS in the low free T group was 23 months compared to 35 months in the normal T group (p<0. 39). If we expand to include patients that had total as well as free testosterone, the median PFS was 24 months compared to 34 months with normal T (p<0. 23) (see figure).
With approximately 30% of the cohort with severe hypogonadism (free testosterone below normal range) in a population predisposed to fractures, anemia, and depression, increased awareness of the prevalence of this diagnosis may change supportive care options for a population that often has a poor quality of life. There is a trend towards shorter PFS in patients with low free T.
No relevant conflicts of interest to declare.
Author notes
Asterisk with author names denotes non-ASH members.

This feature is available to Subscribers Only
Sign In or Create an Account Close Modal