Abstract
Abstract 2839
Patients affected by low-risk essenthial thrombocythosis (ET) may develope thrombotic/haemorragic events at a lower rate compared to high-risk ET patients. So far, it has not be possible to identify useful markers to predict which of these patients are more likely to have an event. Previous authors [Carobbio A et al, Blood 2007] have shown that leukocytosis at diagnosis is associated with a high hazard risk (HR) of developing a thrombotic event, while high platelets count is not. Subsequently other authors [Gangant N et al, Cancer 2009] have contradicted this findings and instead shown that in low-risk ET, the increase in leukocyte count over time correlates with thrombotic events [Passamonti F et al ISTH 2009]. For these reasons we decided to evaluate risk parameters in a dynamic manner with the aim of identifying those patients who are more likely to have an event and might benefit from preventive treatment.
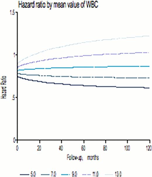
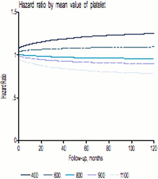
We performed a large multicentre retrospective study that included several North Italian Haemathology centres and a large Austrian university hospital. Patient data was analysed using random effect linear regression model and a dedicated Cox model with dynamic proportional risk. We studied 136 patients with low risk ET. Out of those, 45 had a thrombotic/haemorragic event and 91 never had an event (events included: stroke, TIA, IMA, PE, PAD, epystaxis and gastrointestinal bleeding). Overall, the median age was 42 years (IQR 20; range 18–60), the median Hb was 14.0 g/dL (IQR 2.3; range 4.4–18), the median WBC was 8.1 ×103/Â μL (IQR 3.3; range 3.3–23.8), the median PLT was 701 ×103/ÂL (IQR 404; range 206–1806). Gender was M 33% (n=45), F 67% (n=91); smokers were 24% (n=18/N=74); hypercholesterolemia was 18% (n=17/N=92). The FBCs of both groups were recorded from the date of diagnosis (entry time) and up to 3 years of follow up or to the development of a thrombotic/haemorragic event (exit time). A total number of 1294 FBCs were provided by the group with event and compared to a total of 4487 FBCs from the group without event. The follow-up Hb values showed a decreasing linear pattern linear from baseline values. The PLT-count showed a trend similar to Hb over the period of follow-up in both the group without events and in the group with events. The WBC showed a decrease during follow-up in the group with events and an increase in the group without events. Surprisingly, the risk of developing an adverse event after 60 months of follow-up was reduced by 20% for each increase of 1 g/dL Hb (p =0.007), was increased by 8% for each WBC increase of 1 103/uL (p =0.026) and was decreased by 6% for each PLT increase of 100 × 103 /uL (p =0.434). No differences were seen between venous or arterious thrombotic events (Log rank test, p=0.842).
In conclusion, this study confirms that baseline FBCs values are not predictive of events within the ET low risk group. The emerging new finding is that the risk of developing an event is higher when Hb is reduced. This strongly suggests a protective role of Hb in the low-risk ET group. Previous studies have shown that red cells might store and generate nitric oxide (NO), a key endothelial modulator [Kim-Shapiro DB et al 2006]. The presence of NO would keep PLT in resting state, would reduce endothelial cell adhesion and in turn reduce thrombosis rate. However this needs to be confirmed.
Steurer:Amgen: Consultancy, Honoraria. Pizzolo:Hoffmann-La Roche: Consultancy, Honoraria.
Author notes
Asterisk with author names denotes non-ASH members.



This feature is available to Subscribers Only
Sign In or Create an Account Close Modal