Abstract
Approximately 20% of all Hodgkin lymphoma (HL) patients are older than 60 years and have a poor prognosis, mainly because of increased treatment-related toxicity resulting in reduced overall dose intensity and more treatment-related mortality. To possibly improve the treatment of elderly HL patients, the German Hodgkin Study Group developed a new regimen, PVAG (prednisone, vinblastine, doxorubicin, and gemcitabine). In this multicenter phase 2 study, elderly HL patients in early unfavorable and advanced stages received 6 to 8 cycles of PVAG and additional radiotherapy if they were not in complete remission (CR) after chemotherapy. Endpoints included feasibility, acute toxicity, and response rate. Fifty-nine patients 60 to 75 years of age (median, 68 years) were eligible for analysis; 93% had advanced stage disease. WHO grade 3/4 toxicities were documented in 43 patients; 46 patients responded with CR/CR uncertain (78%). Within 37 months median observation time, 15 progressions or relapses and 17 deaths were observed, of which 8 were related to HL and 1 was the result of treatment-related toxicity. The 3-year estimates for overall survival and progression-free survival were 66% (95% CI, 50%-78%) and 58% (95% CI, 43%-71%), respectively. We conclude that PVAG is safe and feasible in elderly HL patients. This trial was registered at www.clinicaltrials.gov as #NCT00147875.
Introduction
The majority of patients with Hodgkin lymphoma (HL) can be cured with multiagent first-line chemotherapy, such as ABVD (doxorubicin, bleomycin, vinblastine, and dacarbazine) or BEACOPP (bleomycin, doxorubicin, cyclophosphamide, vincristine, procarbazine, prednisone, and etoposide) at times combined with radiation therapy. However, the prognosis for those patients who are older than 60 years is comparably poor, and age at diagnosis remains the most relevant negative predictive factor.1 With an increased life span in the general population, the number of people living longer than 65 years is expected to double during the next 50 years2 ; therefore, the unmet medical need for this patient population will become even more significant.
The inferior outcome of elderly HL patients is mainly because of increased toxicity of chemotherapy and radiotherapy resulting in a higher treatment-related mortality and insufficient dosing of the drugs applied.1,3-5 However, several other factors contribute to the poorer outcome of elderly HL patients, including a biologically more aggressive disease, more advanced stages at presentation, higher rates of EBV infections, and more comorbidities.1,6,7 Because most trials explicitly exclude patients older than 60 years, prospective data in this patient population are sparse. Therefore, current treatment recommendations are largely based on small nonrandomized trials and retrospective population-based studies.8
ABVD is the most widely accepted standard of care for elderly HL patients based on trials showing that ABVD is equally effective and less toxic compared with mechlorethamine, Oncovin, procarbazine, and prednisone/ABVD.4,8-11 However, the trials establishing ABVD for the treatment of HL included only very few elderly patients; therefore, our knowledge on the toxicity and the efficacy of ABVD in the elderly population is astonishingly limited.11,12 A recent German Hodgkin Study Group (GHSG) analysis on tolerability and efficacy of ABVD in elderly patients indicates that ABVD is considerably more toxic than previously acknowledged in the elderly population and might not be sufficiently effective particularly for advanced-stage patients.13 Similar data were recently presented by authors of the United Kingdom–based SHIELD study14 and by the United States intergroup15 showing an ABVD-related death rate of 5% to 11% in elderly HL patients. Toxicity caused therapy delays and dose reductions in the majority of elderly patients,13 resulting in a relative dose intensity (RDI) of only 47% for patients older than 65 years receiving 6 cycles of ABVD-based chemotherapy.12 Importantly, dosing was identified as key prognostic factor for the long-term outcome by Landgren et al, who showed that RDI of more than 65% was associated with a better cancer-specific survival and OS in elderly HL patients.5
In search for an effective and better tolerated treatment for elderly HL patients, the GHSG prospectively compared COPP/ABVD with BEACOPP baseline in elderly advanced-stage HL patients in the HD9elderly trial, resulting in higher freedom from treatment failure with BEACOPP.3 However, patients did not benefit from BEACOPP in terms of overall survival (OS) because of more treatment-related mortality. Further trials evaluating alternative regimens, such as BACOPP (bleomycin, adriamycin, cyclophosphamide, vincristine, procarbazine, and prednisone), VEPEMB (vinblastine, cyclophosphamide, procarbazine, prednisolone, etoposide, mitoxantrone, and bleomycin), and others, could also not convincingly demonstrate any superiority to ABVD.4,12,16-18
In a more recent attempt to improve on ABVD, we introduced gemcitabine, which has been shown to be tolerable and effective in HL patients as a single agent.19 In this newly developed regimen, PVAG (prednisone, vinblastine, doxorubicin, and gemcitabine), bleomycin and dacarbazine were replaced by prednisone and gemcitabine. Here we report the final analysis of a multicenter phase 2 study of PVAG in elderly HL patients.
Methods
Patients
Between March 2004 and July 2007, newly diagnosed patients with histology-proven classic HL in early unfavorable stage or advanced stage according to the GHSG risk stratification (Figure 1) were enrolled into this trial. Patients were required to be 60 to 75 years of age and have normal organ function and good general condition (WHO-Index ≤ 2). Patients with impaired heart, lung, liver, or kidney function, myocardial infarction within 6 months, previous malignant disease, positive HIV status, or active hepatitis B infection were not included. Minimal hematologic requirements included a white blood cell count more than 2500/μL and a platelet count more than 100 000/μL. Biopsy material was judged by the local pathologist and then reviewed by at least one member of the central pathology review panel consisting of 6 German HL experts.
Staging and pretreatment evaluation included medical history, physical examination, chest radiography, CT of neck, chest, abdomen, and pelvis, ultrasound of the neck and the abdomen, bone marrow biopsy, skeletal scintigraphy, serum chemistry, lung function test, ECG, and echocardiography. All patients signed written informed consent before enrollment. The study was approved by the local ethics committee at the University Hospital Cologne, conducted in accordance with the Declaration of Helsinki.
Study design and chemotherapy
Chemotherapy was administered in an outpatient setting and started directly after recruitment. All cytotoxic drugs were given on day 1 of each cycle and recycled after 22 days; prednisone was given on days 1 to 5 (Figure 2). Treatment was continued at full dosage if the leukocyte count exceeded 2000/μL and the platelets 75 000/μL with a rising trend at the day of the planned treatment continuation. In case of lower blood counts, treatment was modified as indicated in Figure 2. G-CSF and erythropoietin were given according to American Society of Clinical Oncology guidelines.20 Patients were treated according to response at interim staging after 4 cycles of PVAG: patients achieving a complete remission (CR) after 4 cycles received 2 additional cycles of PVAG; patients with a partial remission (PR) received 4 additional cycles. Patients with no change (NC) or progressive disease were discontinued from protocol treatment.
PVAG: drug doses, schedules, and therapy scheme. *Applied if leukocyte count < 2000/μL and platelets < 75 000/μL until day 14 after first control or in case of leukopenia WHO grade IV for more than 4 days
PVAG: drug doses, schedules, and therapy scheme. *Applied if leukocyte count < 2000/μL and platelets < 75 000/μL until day 14 after first control or in case of leukopenia WHO grade IV for more than 4 days
Radiotherapy
Radiotherapy was only administered in patients with PR after 8 cycles of PVAG in absence of any signs indicating progressive disease within 6 weeks after the end of chemotherapy. Radiation fields were restricted to the residual mass and irradiated with 30 Gy.
Assessment of response and toxicity
A restaging was mandatory after 4 cycles of PVAG and included CT scans of all initially involved sites. Final restaging was performed 4 to 6 weeks after the last chemotherapy. In case of additional radiotherapy, another restaging was performed after the end of radiotherapy, including assessment of initially involved sites. CR was defined as disappearance of all clinical and radiologic disease and PR as reduction of at least 50% of maximal diameter compared with the initial involvement. Residual disease after chemotherapy and radiotherapy was considered CR uncertain with residual lesion if no additional treatment was required within 6 months after the end of protocol treatment. Toxicity was documented according to the WHO toxicity criteria.
Statistical methods
Primary end points of the study were response rate 3 months after end of treatment and the administration of adequate dose without excessive delay. Secondary endpoints included toxicity and occurrence of early progression.
Feasibility was measured according to protocol adherence. The cut-off values used for the definition of protocol deviation included more than 25% deviation from planned total dose and/or more than 50% deviation from the recommended dose of a single drug. Administration of unknown or considerably more intensive treatment compared with protocol therapy was also considered as protocol deviation. A CR rate of at least 70% was expected. Toxicity was registered in accordance with the WHO toxicity criteria and analyzed for WHO grade 3 and 4.
Exact confidence intervals (CIs) were used when appropriate. OS and progression-free survival (PFS) were estimated according to the method of Kaplan and Meier. Survival analyses were performed for all evaluable patients as well as for the subgroup of advanced-stage patients.
OS was defined as the time from completion of all staging examinations to death from any cause and was censored at the date of last information. PFS was defined as time from completion of all staging examinations to progression, relapse, or death from any cause. If none of these events occurred, survival was censored at the date of the last follow-up examination. To determine HL-specific survival, time to HL-related death (OSHL) and time to HL-related failure (PFSHL) were calculated. OSHL was defined as time from completion of all staging examinations to death from HL, toxicity of primary or salvage treatment, or unknown reasons, and was censored at the date of last information. PFSHL was defined as time from completing all staging examinations to progression, relapse, or death from HL, toxicity of primary or salvage treatment, or unknown reasons. PFSHL was censored at the date of the last follow-up examination or, in cases of non–HL-related death, at the time of death.
Results
Patient characteristics
Between March 2004 and July 2007, 61 patients were registered. Two patients had to be excluded because of review pathology not confirming the initial diagnosis of HL, resulting in 59 patients eligible for the final analysis. Another 2 patients with minor violations of entry criteria (age 76 years, early favorable stage disease) were included in the analysis according to the intention-to-treat principle. Two patients were not sufficiently documented and were therefore excluded from the assessment of therapy administration; however, they were included in the efficacy analyses.
The main patient characteristics are summarized in Table 1. Median age was 68 years. There were slightly more men (35 male vs 24 female patients), and most patients had mixed cellularity subtype (29 patients) followed by nodular sclerosis (23 patients). A total of 55 (93%) of the enrolled patients presented with advanced stage, and only 3 patients had early unfavorable stage disease; one patient had early favorable stage disease (clinical stages 1 and 2 without risk factors) as revealed on staging revision.
Patient characteristics
| Characteristic . | No. of patients/total no. . | % . |
|---|---|---|
| Age, y | ||
| 60-64 | 12/59 | 20.3 |
| 65-69 | 26/59 | 44.1 |
| 70-75 | 20/59 | 33.9 |
| Older than 75 | 1/59 | 1.7 |
| Sex | ||
| Female | 24/59 | 40.7 |
| Male | 35/59 | 59.3 |
| Ann Arbor stage | ||
| IA | 1/59 | 1.7 |
| IB | 0 | 0 |
| IIA | 2/59 | 3.4 |
| IIB | 3/59 | 5.1 |
| IIIA | 16/59 | 27.1 |
| IIIB | 17/59 | 28.8 |
| IVA | 3/59 | 5.1 |
| IVB | 17/59 | 28.8 |
| Stage according to GHSG classification | ||
| Early favorable stages | 1/59 | 1.7 |
| Early unfavorable stages | 3/59 | 5.1 |
| Advanced stages | 55/59 | 93.2 |
| Histology | ||
| Mixed cellularity | 29/59 | 49.2 |
| Nodular sclerosis | 23/59 | 39.0 |
| Lymphocyte-rich classic HL | 3/59 | 5.1 |
| Classic HL, not specified | 3/59 | 5.1 |
| Lymphocyte predominant | 1/59 | 1.7 |
| International Prognostic Score* | ||
| 0-1 | 3/42 | 7.1 |
| 2-3 | 20/42 | 47.6 |
| 4-7 | 19/42 | 45.2 |
| Characteristic . | No. of patients/total no. . | % . |
|---|---|---|
| Age, y | ||
| 60-64 | 12/59 | 20.3 |
| 65-69 | 26/59 | 44.1 |
| 70-75 | 20/59 | 33.9 |
| Older than 75 | 1/59 | 1.7 |
| Sex | ||
| Female | 24/59 | 40.7 |
| Male | 35/59 | 59.3 |
| Ann Arbor stage | ||
| IA | 1/59 | 1.7 |
| IB | 0 | 0 |
| IIA | 2/59 | 3.4 |
| IIB | 3/59 | 5.1 |
| IIIA | 16/59 | 27.1 |
| IIIB | 17/59 | 28.8 |
| IVA | 3/59 | 5.1 |
| IVB | 17/59 | 28.8 |
| Stage according to GHSG classification | ||
| Early favorable stages | 1/59 | 1.7 |
| Early unfavorable stages | 3/59 | 5.1 |
| Advanced stages | 55/59 | 93.2 |
| Histology | ||
| Mixed cellularity | 29/59 | 49.2 |
| Nodular sclerosis | 23/59 | 39.0 |
| Lymphocyte-rich classic HL | 3/59 | 5.1 |
| Classic HL, not specified | 3/59 | 5.1 |
| Lymphocyte predominant | 1/59 | 1.7 |
| International Prognostic Score* | ||
| 0-1 | 3/42 | 7.1 |
| 2-3 | 20/42 | 47.6 |
| 4-7 | 19/42 | 45.2 |
Missing in 17 patients.
The International Prognostic Score21 could be calculated for 42 patients (71%) and was 0 to 1 for 7%, 2 to 3 for 48%, and 4 to 7 for 45% of these patients, respectively.
Administration of therapy
Of 59 patients, 38 received their treatment according to protocol; protocol deviations were documented in 21 patients (36%; 95% CI, 24%-49%).
Five patients were excluded from protocol treatment after 4 or 8 cycles of PVAG because of insufficient response (NC) or progressive disease. Four of these patients received additional therapy. Two of the patients with NC in the interim staging completed 8 cycles of PVAG before continuing with further treatment.
Of the other 16 protocol deviations, 5 occurred during the first 4 cycles of chemotherapy, 7 after the interim staging, and 4 after receiving the full number of PVAG cycles (depending on the interim staging result). Reasons for termination of protocol treatment included protocol violation (5 patients), extensive toxicity (3 patients), concomitant disease (2 patients), revised staging (one patient), relocation (one patient), and unknown (4 patients).
The correlation of received chemotherapy/radiotherapy and the interim staging result is shown in Table 2. The mean RDI (relative dose divided by relative chemotherapy duration) was 88%. The RDI was at least 80% in 45 of the 57 evaluable patients (79%). Nine of the 12 patients with low RDI received fewer cycles than recommended. Regarding only those patients who received at least the full number of cycles (N = 48), the mean RDI was 95%, suggesting that lower values rather result from omitting whole cycles than from dose reductions or delays within a cycle.
Administration of therapy
| Treatment outcome after 4 × PVAG Treatment outcome after chemotherapy . | CR/CRu . | PR . | NC/progression . | Foregoing discontinuation, unknown* . | Total . | ||||
|---|---|---|---|---|---|---|---|---|---|
| CR/CRu . | PR . | NC/progression . | Foregoing discontinuation, unknown . | NC/progression . | Foregoing discontinuation, unknown . | ||||
| No. of cycles | |||||||||
| 2 | 0 | 0 | 0 | 0 | 0 | 0 | 0 | 4 | 4 |
| 5 | 0 | 0 | 0 | 0 | 0 | 0 | 1 | 0 | 1 |
| 6 | 10 | 1 | 3 | 0 | 2 | 0 | 0 | 0 | 16 |
| 8 | 1 | 22 | 8 | 2 | 3 | 2 | 0 | 0 | 38 |
| Radiotherapy | |||||||||
| No | 11 | 22 | 3 | 2 | 3 | 2 | 1 | 4 | 48 |
| Yes | 0 | 1 | 8 | 0 | 2 | 0 | 0 | 0 | 11 |
| Total | 11 | 23 | 11 | 2 | 5 | 2 | 1 | 4 | 59 |
| Treatment outcome after 4 × PVAG Treatment outcome after chemotherapy . | CR/CRu . | PR . | NC/progression . | Foregoing discontinuation, unknown* . | Total . | ||||
|---|---|---|---|---|---|---|---|---|---|
| CR/CRu . | PR . | NC/progression . | Foregoing discontinuation, unknown . | NC/progression . | Foregoing discontinuation, unknown . | ||||
| No. of cycles | |||||||||
| 2 | 0 | 0 | 0 | 0 | 0 | 0 | 0 | 4 | 4 |
| 5 | 0 | 0 | 0 | 0 | 0 | 0 | 1 | 0 | 1 |
| 6 | 10 | 1 | 3 | 0 | 2 | 0 | 0 | 0 | 16 |
| 8 | 1 | 22 | 8 | 2 | 3 | 2 | 0 | 0 | 38 |
| Radiotherapy | |||||||||
| No | 11 | 22 | 3 | 2 | 3 | 2 | 1 | 4 | 48 |
| Yes | 0 | 1 | 8 | 0 | 2 | 0 | 0 | 0 | 11 |
| Total | 11 | 23 | 11 | 2 | 5 | 2 | 1 | 4 | 59 |
The final treatment outcome is as follows: CR, 46 (78%); PR, 2 (3.4%); NC, 2 (3.4%); progression, 4 (6.8%); and unknown, 5 (8.5%).
CRu indicates CR uncertain.
Restaging was not performed or patient dropped out of protocol treatment before restaging for known reasons other than “protocol violation.”
Overall, 88% of treatment cycles started without major delay (maximum, 1 day), the mean relative dose of all agents within the single cycles was slightly decreasing over time but always exceeded 90%.
Use of G-CSF and erythropoietin
Seventeen of the 57 patients with full documentation received G-CSF: 1 of them treated with 2 cycles of PVAG, 2 treated with 6 cycles of PVAG, and 14 treated with 8 cycles. The number of days with G-CSF ranged between 4 and 48 days (mean, 19 days) in total and between one and 19 days (mean, 4 days) per cycle.
Five of the 57 patients received erythropoietin; all of them were treated with 8 cycles of PVAG. The number of days with erythropoietin ranged between 2 and 35 days (mean, 13 days) in total and between one and 9 days (mean, 3 days) per cycle.
Toxicity
WHO grade 3 and 4 toxicity during chemotherapy was documented in 43 patients (75%; 95% CI, 62%-86%; Table 3). Nineteen patients (33%) experienced WHO grade 4 toxicity. Toxicity was composed of leukopenia (53%), infection (23%), and anemia (18%, Table 3). Seventeen of the 19 patients with grade 4 toxicity had leukopenia. One patient died from acute toxicity because of severe pneumonia and sepsis 1 month after registration.
Acute toxicity
| Acute toxicity . | WHO grade 3, no. of patients/total no. . | WHO grade 4, no. of patients/total no. . | WHO grade 3 or 4, % . |
|---|---|---|---|
| Any event | 24/57 | 19/57 | 75.4 |
| Leukopenia | 13/57 | 17/57 | 52.6 |
| Infection | 11/57 | 2/57 | 22.8 |
| Anemia | 8/57 | 2/57 | 17.5 |
| Thrombopenia | 5/57 | 4/57 | 15.8 |
| Mucositis | 5/57 | 1/57 | 10.5 |
| Gastrointestinal tract disorder | 5/57 | 1/57 | 10.5 |
| Respiratory tract disorder | 3/57 | 1/57 | 7.0 |
| Heart | 4/57 | 0 | 7.0 |
| Nausea or vomiting | 3/57 | 0 | 5.3 |
| Nervous system disorder | 2/57 | 0 | 3.5 |
| Acute toxicity . | WHO grade 3, no. of patients/total no. . | WHO grade 4, no. of patients/total no. . | WHO grade 3 or 4, % . |
|---|---|---|---|
| Any event | 24/57 | 19/57 | 75.4 |
| Leukopenia | 13/57 | 17/57 | 52.6 |
| Infection | 11/57 | 2/57 | 22.8 |
| Anemia | 8/57 | 2/57 | 17.5 |
| Thrombopenia | 5/57 | 4/57 | 15.8 |
| Mucositis | 5/57 | 1/57 | 10.5 |
| Gastrointestinal tract disorder | 5/57 | 1/57 | 10.5 |
| Respiratory tract disorder | 3/57 | 1/57 | 7.0 |
| Heart | 4/57 | 0 | 7.0 |
| Nausea or vomiting | 3/57 | 0 | 5.3 |
| Nervous system disorder | 2/57 | 0 | 3.5 |
Regarding the single cycles, acute toxicity was most frequent in the first cycle (56%) and varied between 32% and 46% in subsequent cycles.
Disease control and survival
At final restaging 3 months after the end of therapy, CRs (and CR uncertain) were documented in 46 patients (78%; 95% CI, 65%-88%). Two patients (3%) had PR or NC, respectively, and 4 patients (7%) had disease progression. Three patients died before restaging with unknown response, and in 2 patients treatment outcome is unknown because of early treatment termination (Table 4). With a median observation time of 37 months, 6 patients (10%) had progressive disease and 9 patients (15%) relapsed. Of these 15 patients, 2 had received an RDI less than 80%: 1 patient went off-study after 4 cycles because of NC, and 1 patient received 6 instead of 8 cycles because of decision of the treating physician.
Final response
| Outcome . | No. of patients/total no. . | % . |
|---|---|---|
| CR with or without residual lesion | 46/59 | 78.0 |
| PR | 2/59 | 3.4 |
| NC | 2/59 | 3.4 |
| Progression | 4/59 | 6.8 |
| Unknown/not done | 5/59 | 8.5 |
| Outcome . | No. of patients/total no. . | % . |
|---|---|---|
| CR with or without residual lesion | 46/59 | 78.0 |
| PR | 2/59 | 3.4 |
| NC | 2/59 | 3.4 |
| Progression | 4/59 | 6.8 |
| Unknown/not done | 5/59 | 8.5 |
In the mean observation period of 37 months, secondary malignancies were observed in 6 patients. Secondary malignancies included neuroendocrine tumor of the pancreas, lung cancer, acute myeloid leukemia, and T-non-HL (mycosis fungoides) each in one patient. One patient was diagnosed with composite lymphoma of angioimmunoblastic lymphadenopathy with dysproteinemia and HL and another patient with composite lymphoma of B-non-HL and HL. Both of these events were documented as both secondary malignancy and HL relapse.
In total, 8 patients died from relapsing or progressing HL, 3 from second malignancies (one of lung cancer after 23 months, one of AML after 25 months, and one of composite lymphoma after 24 months), and 6 patients because of other reasons. Table 5 lists the causes of death. Overall, 17 patients (29%, 95% CI, 18%-42%) have died so far.
Causes of death
| . | No. of patients/total no. . | % . |
|---|---|---|
| Total no. of deaths | 17/59 | 28.8 |
| Cause of death | ||
| HL | 8/59 | 13.6 |
| Toxicity of PVAG therapy | 1/59 | 1.7 |
| Toxicity of salvage therapy | 1/59 | 1.7 |
| Secondary malignancy | 3/59 | 5.1 |
| Cardiovascular | 1/59 | 1.7 |
| Cerebral bleeding | 1/59 | 1.7 |
| Liver cirrhosis | 1/59 | 1.7 |
| Unclear | 1/59 | 1.7 |
| . | No. of patients/total no. . | % . |
|---|---|---|
| Total no. of deaths | 17/59 | 28.8 |
| Cause of death | ||
| HL | 8/59 | 13.6 |
| Toxicity of PVAG therapy | 1/59 | 1.7 |
| Toxicity of salvage therapy | 1/59 | 1.7 |
| Secondary malignancy | 3/59 | 5.1 |
| Cardiovascular | 1/59 | 1.7 |
| Cerebral bleeding | 1/59 | 1.7 |
| Liver cirrhosis | 1/59 | 1.7 |
| Unclear | 1/59 | 1.7 |
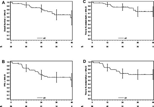
OS and PFS estimates for all evaluable patients at 3 years were 66% (95% CI, 50%-78%) and 58% (95% CI, 43%-71%), respectively. OSHL and PFSHL rates at 3 years were 75% (95% CI, 58%-86%) and 66% (95% CI, 51%-78%), respectively (Table 6).
Survival rates
| Endpoint/time, mo . | Estimate for survival rate, % . | 95% CI . |
|---|---|---|
| All patients (N = 59) | ||
| OS | ||
| 12 | 92.8 | 81.9-97.2 |
| 24 | 83.3 | 70.3-91.0 |
| 36 | 66.1 | 50.1-78.0 |
| PFS | ||
| 12 | 83.5 | 70.7-91.1 |
| 24 | 65.5 | 50.8-76.7 |
| 36 | 58.4 | 43.3-70.8 |
| Time to HL-related death | ||
| 12 | 94.5 | 83.9-98.2 |
| 24 | 86.9 | 74.5-93.6 |
| 36 | 74.8 | 58.2-85.6 |
| Time to HL-related failure | ||
| 12 | 85.0 | 72.3-92.2 |
| 24 | 68.8 | 54.1-79.7 |
| 36 | 66.0 | 50.7-77.5 |
| Advanced-stage patients only (N = 55) | ||
| OS | ||
| 12 | 92.4 | 81.0-97.1 |
| 24 | 82.4 | 68.8-90.4 |
| 36 | 64.3 | 47.8-76.7 |
| PFS | ||
| 12 | 82.5 | 69.1-90.5 |
| 24 | 63.7 | 48.6-75.4 |
| 36 | 56.3 | 40.9-69.1 |
| Time to HL-related death | ||
| 12 | 94.2 | 83.0-98.1 |
| 24 | 86.2 | 73.1-93.2 |
| 36 | 73.2 | 55.8-84.7 |
| Time to HL-related failure | ||
| 12 | 84.1 | 70.7-91.7 |
| 24 | 67.2 | 52.0-78.5 |
| 36 | 64.1 | 48.4-76.2 |
| Endpoint/time, mo . | Estimate for survival rate, % . | 95% CI . |
|---|---|---|
| All patients (N = 59) | ||
| OS | ||
| 12 | 92.8 | 81.9-97.2 |
| 24 | 83.3 | 70.3-91.0 |
| 36 | 66.1 | 50.1-78.0 |
| PFS | ||
| 12 | 83.5 | 70.7-91.1 |
| 24 | 65.5 | 50.8-76.7 |
| 36 | 58.4 | 43.3-70.8 |
| Time to HL-related death | ||
| 12 | 94.5 | 83.9-98.2 |
| 24 | 86.9 | 74.5-93.6 |
| 36 | 74.8 | 58.2-85.6 |
| Time to HL-related failure | ||
| 12 | 85.0 | 72.3-92.2 |
| 24 | 68.8 | 54.1-79.7 |
| 36 | 66.0 | 50.7-77.5 |
| Advanced-stage patients only (N = 55) | ||
| OS | ||
| 12 | 92.4 | 81.0-97.1 |
| 24 | 82.4 | 68.8-90.4 |
| 36 | 64.3 | 47.8-76.7 |
| PFS | ||
| 12 | 82.5 | 69.1-90.5 |
| 24 | 63.7 | 48.6-75.4 |
| 36 | 56.3 | 40.9-69.1 |
| Time to HL-related death | ||
| 12 | 94.2 | 83.0-98.1 |
| 24 | 86.2 | 73.1-93.2 |
| 36 | 73.2 | 55.8-84.7 |
| Time to HL-related failure | ||
| 12 | 84.1 | 70.7-91.7 |
| 24 | 67.2 | 52.0-78.5 |
| 36 | 64.1 | 48.4-76.2 |
For advanced-stage patients, OS, PFS, OSHL, and PFSHL at 3 years were 64% (95% CI, 48%-77%), 56% (95% CI, 41%-69%), 73% (95% CI, 56%-85%), and 64% (95% CI, 48%-76%), respectively.
The Kaplan-Meier plots for OS and PFS, OSHL, and PFSHL are shown in Figure 3.
Kaplan-Meier plots. Kaplan-Meier plots and 95% CIs for (A) OS, (B) PFS, (C) time to HL-related death, and (D) time to HL-related failure. Median observation time was 37 months.
Kaplan-Meier plots. Kaplan-Meier plots and 95% CIs for (A) OS, (B) PFS, (C) time to HL-related death, and (D) time to HL-related failure. Median observation time was 37 months.
Management of progression or relapse
Primary progressive disease was observed in 6 patients; in 1 of these patients, treatment was terminated early because of concomitant disease. Five of these patients died within 4 to 19 months after progressing; the sixth patient was successfully salvaged with DHAP (dexamethasone, cytarabine, and cisplatin) and rituximab and is still alive 29 months after progressing. In total, salvage therapy with DHAP was documented for 3 patients with progressive disease. There was no information on therapy in 2 cases, and one patient did not receive any salvage.
Relapse after the end of therapy was documented in 9 patients occurring 10 to 29 months after registration; 2 of these patients had composite lymphoma. Five patients died within 13 months after relapse, one because of toxicity of salvage therapy (vinorelbine monotherapy and additional radiotherapy as third-line treatment) and one of composite lymphoma. Salvage chemotherapy was given to all but one patient, who died shortly after diagnosis.
In 3 of the 4 remaining patients, salvage therapy was successful (gemcitabine and prednisone; R-COP; ABVD), the fourth patient's therapy result after DHAP followed by autologous stem cell support was NC. All these patients were alive at the time of analysis, 9 to 35 months after relapse.
Discussion
Despite substantial advances in the treatment of HL, the outcome for elderly HL patients is still unsatisfactory.22,23 The main challenge remains balancing toxicity and efficacy in these often frail patients who tolerate chemotherapy and radiotherapy less well than younger patients. The aim of the present study was thus to examine feasibility and efficacy of the newly developed PVAG regimen in early unfavorable and advanced elderly HL patients.
In the PVAG trial presented here, 64% of the patients received their treatment according to protocol, and the relative dose intensity was at least 80% in 79% of the evaluable patients. A total of 53% of the patients had grade 3 or 4 leukopenia, resulting in infection in 23% of the patients; however, only one toxic death was observed. This compares favorably with published data for ABVD with regard to dose intensity and feasibility and might be attributed to dacarbazine, which is an integral component of ABVD,13 being omitted in PVAG. Interestingly, PVAG includes a higher anthracycline dose compared with ABVD, and other regimens trying to reduce or eliminate the anthracyclines for elderly HL patients failed mainly because of a significant loss of efficacy.7 Similarly, a recently published study in young patients with early-stage HL showed that the efficacy of 6 cycles AVG (doxorubicin 25 mg/m2, vinblastine 6 mg/m2, and gemcitabine 800-1000 mg/m2), with lower cumulative doses of doxorubicin and gemcitabine, was lower than anticipated compared with ABVD.24
The higher anthracycline dose in the PVAG regimen might also contribute to the improved efficacy compared with the published ABVD data. PVAG was effective in this setting, with 78% achieving CR and 66% OS at 3 years. Previous results on ABVD in elderly HL patients have reported heterogeneous response rates depending on the patient population and disease stage. The majority of the published data mostly included early-stage patients, resulting in CR rates of up to 90%.13,25 However, for advanced-stage patients, the population mainly studied here, the efficacy of ABVD is much lower: CR rates reported range between 45% and 65% in elderly HL patients.14,15
One previous strategy to improve the efficacy in elderly HL patients was the introduction of the more intense regimen BEACOPP in the HD9elderly trial conducted by the GHSG. COPP/ABVD was compared with BEACOPP in baseline dose, resulting in better tumor control with BEACOPP (freedom from treatment failure, 74% vs 55% for BEACOPP vs COPP/ABVD, respectively). However, this increase in efficacy was associated with an unacceptably higher toxicity resulting in 21% toxic deaths with BEACOPP compared with 8% with COPP/ABVD. Accordingly, OS at 5 years was 50% with both regimens.3 As a consequence, the GHSG developed a modified regimen, BACOPP, in which etoposide was omitted. The recent BACOPP phase 2 study reported 85% of 60 patients with early unfavorable and advanced-stage HL patients achieving CR with 6 to 8 cycles of treatment. However, efficacy was compromised by 12% treatment-related neutropenic deaths that were in part very probably related to the high treatment intensity in this regimen.18 Alternatives developed included CVP/CEB (chlorambucil, vinblastine, procarbazine, prednisone, cyclophosphamide, etoposide and bleomycin),26 VEPEMB,12 ODBEP (vincristine, doxorubicin, bleomycin, etoposide and prednisone),27 and the anthracycline-free ChlVPP regimen.7 However, these approaches resulted either in insufficient lymphoma control or unacceptable treatment-related mortality.4 In another attempt, Kolstad et al treated 29 elderly HL patients with CHOP combined with radiotherapy.28 In 19 advanced-stage HL patients, they reported OS of 79% and PFS of 76% at 3 years.28 There were 2 toxic deaths, and only limited conclusions on efficacy and toxicity can be drawn because of the small number of patients in this trial.
One major challenge in determining the best treatment for elderly HL patients is the poor comparability of different regimens, small patient numbers included, and lack of randomized studies. Moreover, relevant patient characteristics, such as age, disease stage, and the observation periods, differ.4,29 The high mortality related to causes other than HL and treatment-induced toxicity in the elderly might also account for the discrepancies in the survival rates observed between studies. We therefore also analyzed OSHL and PFSHL in the present study that should not only facilitate the comparison of PVAG with other regimens but also shows the considerably poorer outcome for elderly patients compared with the younger population.
Although caution should be applied in interpreting the results of the study presented here because of the limited number of patients, the results suggest that PVAG might be better tolerated than other regimens, such as ABVD, BACOPP, or BEACOPP.
Pulmonary toxicity has been previously linked to gemcitabine, particularly when gemcitabine is combined with bleomycin.30 In the study presented here, WHO grade 3 and 4 toxicity was documented in 3 and 1 patient, respectively (7% in total). This included spontaneously resolving dyspnea in one patient who did not require any dose modification and pneumonia with infection in 2 patients (grade 3 and 4 each, respectively). In another patient, the treating physician suspected chemotherapy-induced pneumonitis that could be related to gemcitabine. In summary, the rate of pulmonary toxicity observed with PVAG lies within the range previously reported for ABVD in elderly patients13 and cannot be attributed to any particular drug with certainty because of the small number of patients. However, pulmonary toxicity might be a limiting factor of the PVAG regimen, as pulmonary comorbidities are common in elderly patients.
A major shortcoming of our study is the lack of a comprehensive geriatric assessment. Future trials should incorporate a comprehensive geriatric assessment to ameliorate the comparability of different trials and allow a more individualized treatment of elderly patients according to the patients' comorbidities and biologic age rather than biographical age.31 This might also provide information on how the population studied in the trial compares with elderly HL patients in general and, more importantly, on how applicable this schedule might be right across the geriatric HL population.
In conclusion, the newly developed PVAG regimen showed a good feasibility in elderly HL patients combined with a promising efficacy as determined by lymphoma response and patient survival. Because these results have been obtained in a prospective controlled trial, we conclude that the PVAG regimen should be tested in randomized trials.
Presented as a poster at the 15th Congress of the European Hematology Association, Barcelona, Spain, June 10-13, 2010.
The publication costs of this article were defrayed in part by page charge payment. Therefore, and solely to indicate this fact, this article is hereby marked “advertisement” in accordance with 18 USC section 1734.
Authorship
Contribution: B.B., H.B., H.G., P.B., and A.E. collected, analyzed, and interpreted data and wrote the manuscript; and T.H., H.T.E., M.S., J.M., U.K., U.G., S.K., M.G., G.T., M.F., B.v.T., and D.A.E. designed and performed research and contributed to writing the manuscript.
Conflict-of-interest disclosure: The authors declare no competing financial interests.
Correspondence: Andreas Engert, Department I of Internal Medicine, University Hospital of Cologne, Kerpener Strasse, 50924 Cologne, Germany; e-mail: a.engert@uni-koeln.de.



This feature is available to Subscribers Only
Sign In or Create an Account Close Modal