Abstract
Cooperation of multiple mutations is thought to be required for cancer development. In previous studies, murine myeloid leukemias induced by transducing wild-type bone marrow progenitors with a SRY sex determining region Y-box 4 (Sox4)–expressing retrovirus frequently carried proviral insertions at Sfpi1, decreasing its mRNA levels, suggesting that reduced Sfpi1 expression cooperates with Sox4 in myeloid leukemia induction. In support of this hypothesis, we show here that mice receiving Sox4 virus-infected Sfpi1ko/+ bone marrow progenitors developed myeloid leukemia with increased penetrance and shortened latency. Interestingly, Sox4 expression further decreased Sfpi1 transcription. Ectopic SOX4 expression reduced endogenous PU.1 mRNA levels in HL60 promyelocytes, and decreased Sfpi1 mRNA levels were also observed in the spleens of leukemic and preleukemic mice receiving Sox4 virus-infected wild-type bone marrow cells. In addition, Sox4 protein bound to a critical upstream regulatory element of Sfpi1 in ChIP assays. Such cooperation probably occurs in de novo human acute myeloid leukemias, as an analysis of 285 acute myeloid leukemia patient samples found a significant negative correlation between SOX4 and PU.1 expression. Our results establish a novel cooperation between Sox4 and reduced Sfpi1 expression in myeloid leukemia development and suggest that SOX4 could be an important new therapeutic target in human acute myeloid leukemia.
Introduction
SRY sex determining region Y-box 4 (Sox4) is a member of the SOX (SRY-related HMG-box) transcription factor family and is an important regulator of mammalian development. Homozygous deletion of Sox4 in mice results in embryonic lethality because of defective formation of the cardiac outflow tract.1 B- and T-cell development in these Sox4-deficient embryos is also severely impaired, indicating that Sox4 function is critical for normal differentiation and expansion of the lymphoid lineages.1,2 A role for Sox4 in cancer development was first suggested by the identification of viral insertions, activating Sox4 expression in leukemias developing in inbred strains of mice carrying endogenous retroviruses.3 Overexpression of Sox4 was also found to block differentiation of 32Dcl.3 myeloid progenitor cells.4 Sox4 was confirmed as an oncogene when transplantation of primary mouse bone marrow cells infected with a Sox4-expressing retroviral vector resulted in myeloid leukemia development in recipient mice.3
The link between SOX4 and oncogenesis is not limited to leukemias, as it was also found to be overexpressed in human solid tumors, including medulloblastoma,5 colon,6 prostate,7 and lung cancers.8 However, despite overexpression of SOX4 in these tumors, a tumor-suppressive function for SOX4 has also been suggested in lung and bladder cancer cell lines,7,9 reflecting a potential cell context-dependent role of SOX4 in tumorigenesis. There is a paucity of data about the molecular mechanisms through which SOX4 can exert an oncogenic function. In colon cancer cell lines, SOX4 was shown to stabilize β-catenin, thereby enhancing WNT signaling.10 Microarray and ChIP studies in prostate cancer cells identified additional target pathways, including TGF-β, Hedgehog, and Notch.7,11 However, it remains unclear whether any of these pathways is critical for SOX4-induced tumorigenesis.
The Sfpi1 gene (mouse Sfpi1, human SPI1 or PU.1) encodes a member of the ETS transcription factor family and has essential functions in hematopoietic development. Deletion of Sfpi1 from mice results in a severe block of differentiation in both myeloid and lymphoid lineages, and changes in Sfpi1 expression can lead to either myeloid or T-cell leukemia development.12,13 In adult mice, the elimination of the Sfpi1 gene disturbs hematopoiesis, with impaired lymphopoiesis resulting in dominance of the granulopoiesis.14 Mice that express only 20% of normal Sfpi1 levels in myeloid cells, because of deletion of an upstream regulatory element (URE), developed myeloid leukemia, unlike Sfpi1 heterozygous knockout mice that express 50% of the normal levels, indicating that Sfpi1 is a dosage-sensitive tumor suppressor gene for the myeloid lineage.15 This conclusion is supported by a study on radiation-induced myeloid leukemias in mice, as one Sfpi1 allele in these leukemic cells is often deleted with the remaining copy partially inactivated by point mutations.16 In addition, heterozygous loss of Sfpi1 has been shown to increase the incidence of acute promyelocytic leukemia in a transgenic mouse model expressing PML/RARα. Further down-regulation of Sfpi1 expression by PML/RARα in these mice is thought to contribute significantly to the increase in acute promyelocytic leukemia penetrance.17 Reduced Sfpi1 expression is thought to promote the accumulation of immature granulocytic progenitors, which could serve as targets for additional transforming mutations.12,17-19
We have previously shown that 3 of 13 myeloid leukemias developing in mice transplanted with bone marrow cells transduced with a Sox4-expressing retrovirus have clonal retroviral integrations at Sfpi1 and express low Sfpi1 mRNA levels, suggesting that decreased Sfpi1 expression cooperates with Sox4 activation to induce myeloid leukemia.3 In the current paper, we directly demonstrate this cooperation by showing that Sfpi1 haploinsufficiency accelerates and increases the penetrance of Sox4-induced leukemia, and uncover a mechanism by which Sox4 represses Sfpi1 expression by binding to a critical Sfpi1 upstream control DNA element. We also show that these interactions could be important in human acute myeloid leukemia (AML) pathogenesis by finding a negative correlation between SOX4 and PU.1 expression in primary human leukemia samples.
Methods
Mice
All mice used in these studies were housed and handled in accordance with the guidelines set by the Animal Care and Use Committee of the National Cancer Institute at Frederick, MD. All animal experiments were carried out on an Animal Care and Use Committee–approved protocol. Sfpi1KO/+ mice were kindly provided by Dr Harinder Singh (University of Chicago). Sfpi1KO/+ mice were backcrossed for 8 generations on the C57BL/6 background. The mice were bred to C57BL/6+/+ mice to obtain both KO/+ and +/+ littermates for harvesting bone marrow cells for retroviral transduction and transplantation. C57BL/6-Ly 5.2 mice were commercially obtained (Charles River Laboratories).
DNA constructs
The murine stem cell virus (MSCV)–Sox4 retroviral construct has been described previously.3 To generate the pIRES2- GFP-SOX4 construct, the human SOX4 coding region was amplified by RT-PCR, cloned into the EcoRI and BamHI site of pIRES2-GFP (Clontech), and verified by sequencing. Gene-specific primer sequences include: SOX4-forward 5′-CGC GGA ATT TGG GCG CCC GCC GAG CCG AG-3′ and SOX4-reverse 5′-CGC GGG ATC CCC TTC AGT AGG TGA AAA CCA G-3′. Thermocycling conditions include: 94°C 2 minutes, 94°C 15 seconds, 55°C 30 seconds, 68°C 2 minutes for 31 cycles.
Retroviral transduction and bone marrow transplantation
Bone marrow cells were harvested from 8- to 12-week-old Sfpi1KO/+ and Sfpi1+/+ mice 4 days after intraperitoneal injection of 5-fluorouracil (American Pharmaceutical Partners; 150 mg/kg body weight) and were expanded in Dulbecco modified Eagle medium (Lonza Walkersville) plus 15% FBS (Quality Biologic) in the presence of murine SCF (100 ng/mL), IL-6 (10 ng/mL), and IL-3 (6 ng/mL, all PeproTech) for 2 days. Retroviral transduction and transplantation of transduced cells were performed as previously described.3 Transduction efficiencies were determined by colony assays in the presence of G418. A total of 1 × 106 cells were injected into each lethally irradiated C57BL/6-Ly5.2 recipient mouse. Mice were monitored for 1 year after transplantation. For secondary transplantation, 1 × 106 bone marrow cells from primary recipients with leukemia were injected into C57BL/6-Ly5.2 recipients along with supporting bone marrow cells.
Histology and antibodies
Bone marrow histology was analyzed after staining with H&E (VWR) and antimyeloperoxidase (Dako North America). Slides were read by an independent veterinary pathologist and classified according to the Bethesda proposal.20 Images were captured on an Olympus Bx41 microscope, objective UPlan FI 40×/0.75 ∞/0.17, with an adaptor U-TV0.63XC using a digital camera Q-imaging Micropublisher Version 5.0 RTV (Q imaging) using Q-Capture Version 3.1.
Statistical methods
The mice were assigned to 3 cohorts: 28 mice in cohort 1 received wild-type cells transduced with the Sox4 MSCV vector (Sox4/Wt), 32 mice in cohort 2 received Sfpi1KO/+ marrow cells transduced with the Sox4 MSCV vector (Sox4/Sfpi1), and 16 mice in cohort 3 received Sfpi1KO/+ marrow cells transduced with the control MSCV vector (Neo/Sfpi1). Survival time was defined to be the days until death or 365 days from the beginning of the experiments. The mice surviving more than 365 days were censored. The distributions of survival time for the 3 cohorts were analyzed using the Kaplan-Meier method and the Cox proportional hazard model. The log-rank test was used to test the differences in survival distribution among the 3 cohorts.
Splinkerette PCR
Genomic DNA prepared from spleens of animals with leukemia was digested with NlaIII or MseI (New England Biolabs) and ligated to the splinkerette linker overnight. Nested PCR was performed using standard procedures. Splinkerette-specific primers and primers recognizing the long terminal repeat of MSCV were used. PCR products were then cloned by a shotgun cloning procedure using a TA-cloning kit (Invitrogen). Bacterial colonies were randomly picked and sequenced using the PRISM Big Dye Cycle Sequencing kit (PerkinElmer Life and Analytical Sciences) and an ABI Prism model 3130XL DNA Sequencer (Applied Biosystems). Sequencing primer is: 5′-CGT CGC CCG GGT ACC CGT ATT C-3′.
Southern hybridizations
Southern blotting analyses were performed using standard procedures. Mouse spleen DNA was digested with HindIII and hybridized with an MSCV-specific Neor probe. HindIII cuts only once in the provirus, and each Southern band represents an independent integration site.
Transfection and cell sorting
A total of 1 × 107 HL60 cells (ATCC) were grown in IMDM supplemented with 20% FBS and electroporated using the cell line nucleofactor kit V (Amaxa) following the manufacturer's guidelines. Eight hours after transfection, GFP-positive cells were sorted by flow cytometry (MoFlo, cytomation) and RNA was extracted from the GFP+ cells and used for real-time RT-PCR. Four separate experiments were performed.
Purification of Lin− cells
Nucleated cells were first isolated from the bone marrow of C57Bl/6 mice (7- to 12-week-old females) by density centrifugation through Lymphocyte Separation Medium (MP Biomedical). Lineage-positive (Lin+) cells among the nucleated cells were subsequently labeled by incubation with a cocktail of purified rat antibodies recognizing mouse Gr-1, Mac-1, IL-7R, CD4, CD8, B220, and Ter119 (BD Biosciences PharMingen). Lin− cells were then obtained by removing the labeled Lin+ cells through incubation with sheep antirat IgG-conjugated magnetic beads (Invitrogen) and subsequent magnet exposure.
Real-time RT-PCR
Total RNA was isolated using Trizol reagent (Invitrogen). Oligo-dT-primed cDNA samples were prepared from total RNA using Superscript (Invitrogen). Quantitative PCR analyses for PU.1 and β-ACTIN (ACTB) expression were performed using Brilliant SYBR Green, the Real-Time PCR instrument MX4000, and its software (all Stratagene) according to the manufacturer's instructions in 25 μL final volume in 96-well microtiter plates. Gene-specific primer sequences are: PU.1 forward, 5′-GGG AGA GCC ATA GCG ACC AT-3′; PU.1 reverse, 5′-TAG GAG ACC TGG TGG CCA AGA-3′; ACTB forward, 5′-CCT TCC TGG GCA TGG AGT CCT-3′, ACTB reverse 5′-GGA GGA GCA ATG ATC TTG ATC TT-3′. Thermocycling conditions: 94°C for 15 seconds, 60°C for 30 seconds, 72°C for 30 seconds for 41 cycles. For quantification of Ncf4, Fgf3, and control β2-microglobin (B2m) RNA, quantitative PCR was performed using an ABI Prism 7700 Sequence Detector (Applied Biosystems). The gene-specific primers and probes used were: Ncf4 forward primer, 5′-CAA GGG TGT GTC TCC ACA AG-3′; Ncf4 reverse primer, 5′-TTG CTG TTC CCA GTG AAG TC-3′; Ncf4 probe, 5′-FAM/CCA TGC GAT CCA TGA TGG CC/TAM-3′, B2m forward primer, 5′-CTT CAG CAA GGA CTG GTC TTT C-3′; B2m reverse primer, 5′-CGG CCA TAC TGT CAT GCT TAA C-3′; B2m probe, 5′ FAM/TGA ATT CAC CCC CAC TGA GAC TG/TAM-3′. Fgf3 forward primer, 5′-TAC CTG GCC ATG AAC AAG AG-3′, Fgf3 reverse primer, 5′-ATC CGT TCC ACA AAC TCA CA-3′, Fgf3 probe, 5′-FAM/TGA TCC GAA GCA TAC AGC CGT CC/TAM-3′. Sfpi1 forward primer, 5′-CGC AAG AAG ATG ACC TAC CA-3′; Sfpi1 reverse primer, 5′-ACT TTC TTC ACC TCG CCT GT-3′; Sfpi1 probe, 5′-FAM/CGC TGC GCA ACT ACG GCA AG/TAM-3′. Thermocycling conditions were 95°C for 10 minutes in the first cycle, followed by 40 cycles of 95°C for 15 seconds and 60°C for 60 seconds.
ChIP
ChIP was carried out according to the manufacturer's guidelines (Millipore). Sox4-specific antibodies (Santa Cruz Biotechnology, sc-17326; Abcam, ab70598; Sigma-Aldrich, S7318 and WH0006659M1; Thermo Fisher-Pierce, PA1-41361; Millipore-Chemicon, AB5803), TCF1 antibody (Santa Cruz Biotechnology), and control IgG were used. Gene-specific primer sequences were as follows: PU.1 URE human forward primer, 5′-CAG GGA CAG CAA GGA AAA GA-3′ and reverse primer 5′-CCA GGC AAG GGA AGT TTG T-3′; and negative control human forward primer, 5′-TTT TCT CAG GCG CCG GCC TT-3′ and reverse primer 5′-CCC CTT CCT CTT GGC GGA AGC-3′. Gene-specific primer sequences were as follows: Sfpi1 URE mouse forward primer, 5′-TGC CCA GGC TAG GGA AGT TTG TTA-3′ and reverse primer 5′-GCC CTG CCT TTG GGA AGA GAT GGT A-3′. Thermocycling conditions were as follows: 94°C for 2 minutes, 40 cycles of 94°C for 15 seconds, 58°C for 15 seconds, 72°C for 30 seconds.
Microarray analysis
The previously published microarray datasets21,22 (2008) were downloaded from http://www.ncbi.nlm.nih.gov/geo/ with accession numbers GSE1159 and GSE12417, respectively. The data were normalized using Robust multichip average normalization.23 The correlation coefficient between the expression levels of SOX4 and PU.1 was calculated from orthogonal regression.
Results
Sox4 cooperates with Sfpi1 haploinsufficiency in myeloid leukemia induction
To test whether reduced Sfpi1 expression can cooperate with Sox4 activation to induce leukemia development, we transduced Sfpi1 heterozygous knockout (Sfpi1KO/+) or wild-type (Sfpi1+/+) littermate marrow cells with an MSCV-Sox4 retrovirus, and transplanted the cells into lethally irradiated congenic C57BL/6-Ly5.2 recipients (Figure 1A). Comparable transduction efficiencies of between 45% and 65% were achieved for both Sfpi1KO/+ or wild-type Sfpi1+/+ bone marrow cells, based on CFU assays performed on cells plated immediately after transduction. These recipient mice were followed for one year after transplantation for leukemia development. Consistent with our previous results,3 60% of the mice receiving Sox4-transduced wild-type cells died of leukemias, starting 3.5 months after transplantation (Figure 1B, Sox4/Wt group). Fourteen of a total of 17 leukemias in this group were confirmed as myeloid leukemias, whereas 3 mice had T-cell leukemias. In contrast, 94% of the recipients receiving Sox4-transduced Sfpi1KO/+ cells developed myeloid leukemia within the same time period (Figure 1B, Sox4/Sfpi1 group). The Sox4/Sfpi1 leukemias were phenotypically indistinguishable from leukemias arising in the Sox4/Wt group. Moribund myeloid leukemia mice from both groups had leukocytosis along with anemia and thrombocytopenia (data not shown), splenomegaly, and hepatomegaly. There were leukemic infiltrates in bone marrow, spleen, and liver that stained positive for myeloperoxidase (Figure 1C-F). Both Sox4/Wt and Sox4/Sfpi1 myeloid leukemias expressed high levels of Sox4 mRNA by real-time RT-PCR analysis (data not shown). The Sox4/Sfpi1 leukemias were transplantable. Secondary recipients given 1 × 106 bone marrow cells from leukemic animals developed the same disease within 3 to 6 weeks (Figure 1G-H).
Sfpi1 haploinsufficiency cooperates with Sox4 to induce myeloid leukemia development. (A) A schematic diagram showing the bone marrow transduction and transplantation assay using Sfpi1KO/+ or Sfpi1+/+ bone marrow cells. (B) All-cause mortality curve is shown. The cohort of mice that received MSCV-Sox4 infected bone marrow cells from Sfpi1KO/+ mice is labeled as Sox4/Sfpi1 (32 animals). Mice that received MSCV-Sox4 infected bone marrow cells from wild-type C57/Bl/6J mice are labeled as Sox4/Wt group (28 animals). The Neo/Sfpi1 group contains mice that received marrow cells from Sfpi1KO/+ mice infected with MSCV (16 animals). Myeloid leukemias developed between 3 and 11 months. Statistical significance between groups using the log-rank test is: Neo/Sfpi1 versus Sox4/Wt (P < .001), Sox4/Wt versus Sox4/Sfpi1 (P < .001), Neo/Sfpi1 versus Sox4/Sfpi1 (P < .001). (C) H&E staining of bone marrow from a mouse of the Sox4/Sfpi1 cohort showing myeloid leukemia (original magnification ×40). (D) H&E staining of bone marrow from the same leukemic mouse showing myeloid blasts (original magnification ×400). (E) H&E staining of a spleen section from same mouse showing myeloid leukemia (original magnification ×40). (F) Representative liver section of the same mouse in panels C and D stained positive for myeloperoxidase (original magnification ×40). (G) Myeloperoxidase staining of bone marrow from a secondary transplantation is showing myeloid leukemia (original magnification ×40). (H) Top part of the picture shows a splenic tumor (myeloid leukemia, weight 0.16 g) day 26 of secondary transplantation compared with WT control spleen (bottom part of picture, weight 0.048 g). Images were captured on an Olympus Bx41 microscope, objective UPlan FI 40×/0.75 ∞/0.17, with an adaptor U-TV0.63XC using a digital camera Q-imaging Micropublisher Version 5.0 RTV (Q imaging) using Q-Capture Version 3.1.
Sfpi1 haploinsufficiency cooperates with Sox4 to induce myeloid leukemia development. (A) A schematic diagram showing the bone marrow transduction and transplantation assay using Sfpi1KO/+ or Sfpi1+/+ bone marrow cells. (B) All-cause mortality curve is shown. The cohort of mice that received MSCV-Sox4 infected bone marrow cells from Sfpi1KO/+ mice is labeled as Sox4/Sfpi1 (32 animals). Mice that received MSCV-Sox4 infected bone marrow cells from wild-type C57/Bl/6J mice are labeled as Sox4/Wt group (28 animals). The Neo/Sfpi1 group contains mice that received marrow cells from Sfpi1KO/+ mice infected with MSCV (16 animals). Myeloid leukemias developed between 3 and 11 months. Statistical significance between groups using the log-rank test is: Neo/Sfpi1 versus Sox4/Wt (P < .001), Sox4/Wt versus Sox4/Sfpi1 (P < .001), Neo/Sfpi1 versus Sox4/Sfpi1 (P < .001). (C) H&E staining of bone marrow from a mouse of the Sox4/Sfpi1 cohort showing myeloid leukemia (original magnification ×40). (D) H&E staining of bone marrow from the same leukemic mouse showing myeloid blasts (original magnification ×400). (E) H&E staining of a spleen section from same mouse showing myeloid leukemia (original magnification ×40). (F) Representative liver section of the same mouse in panels C and D stained positive for myeloperoxidase (original magnification ×40). (G) Myeloperoxidase staining of bone marrow from a secondary transplantation is showing myeloid leukemia (original magnification ×40). (H) Top part of the picture shows a splenic tumor (myeloid leukemia, weight 0.16 g) day 26 of secondary transplantation compared with WT control spleen (bottom part of picture, weight 0.048 g). Images were captured on an Olympus Bx41 microscope, objective UPlan FI 40×/0.75 ∞/0.17, with an adaptor U-TV0.63XC using a digital camera Q-imaging Micropublisher Version 5.0 RTV (Q imaging) using Q-Capture Version 3.1.
To characterize the clonality of these Sox4-induced myeloid leukemias, we carried out Southern blot analysis of genomic DNA from both the Sox4/Sfpi1 and Sox4/Wt leukemias using a vector-specific probe (Figure 2). The genomic DNA was digested with HindIII, which cuts only once within the integrated vector provirus; thus, each band on the Southern blots corresponds to a single vector integration event. The pattern obtained on each leukemic sample consisted of bands of similar intensities, suggesting that the leukemia cells were derived from a single cell with several insertions.
Southern blotting shows monoclonal integrations in Sox4/Sfpi1 leukemias. Southern blotting analyses of genomic DNA prepared from leukemic spleens of the Sox4/Sfpi1 cohort (A) and the Sox4/Wt cohort (B) using an MSCV specific probe. Samples were digested with HindIII, which cuts a single time within the vector; thus, each band represents an independent integration event. Lanes are marked by pathology identification numbers.
Southern blotting shows monoclonal integrations in Sox4/Sfpi1 leukemias. Southern blotting analyses of genomic DNA prepared from leukemic spleens of the Sox4/Sfpi1 cohort (A) and the Sox4/Wt cohort (B) using an MSCV specific probe. Samples were digested with HindIII, which cuts a single time within the vector; thus, each band represents an independent integration event. Lanes are marked by pathology identification numbers.
To exclude the possibility that leukemia induction in the Sox4/Sfpi1 group was the result of retroviral insertional mutagenesis alone, Sfpi1KO/+ bone marrow cells were transduced with control MSCV retrovirus vector expressing only the neomycin resistance gene and transplanted into a separate group of C57BL/6-Ly5.2 recipients (Figure 1A, Neo/Sfpi1 group). No recipients in this group developed leukemia, and only one animal died of an unrelated cause, showing that the retroviral integration alone is not sufficient to induce leukemia on the Sfpi1KO/+ background. Collectively, these results show that heterozygous loss of Sfpi1 can lead to a dramatic increase in Sox4-induced myeloid leukemia penetrance and time of onset, thereby demonstrating cooperation in myeloid leukemia induction between Sox4 activation and Sfpi1 haploinsufficiency.
Additional cooperating mutations were identified by analysis of retroviral insertions
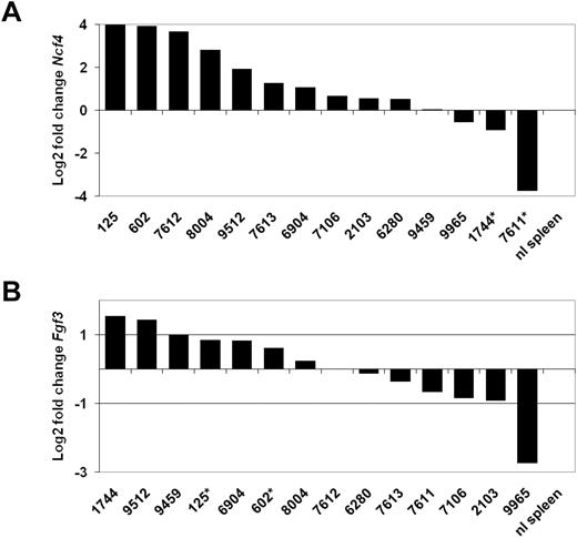
The monoclonal nature of the Sox4/Sfpi1 leukemias and their relatively long latency suggest that additional cooperating mutations are probably required for leukemic transformation. These cooperating mutations could be induced by viral insertions as demonstrated previously by us and others.3,24 To identify potential cooperating mutations, we cloned a total of 79 integrations sites from 14 available Sox4/Sfpi1 leukemias by splinkerrette PCR (supplemental Table 1, available on the Blood Web site; see the Supplemental Materials link at the top of the online article). The insertion site sequences were subsequently mapped to the mouse genome using the University of California Santa Cruz genome database. Interestingly, 2 leukemias (tumors 1744 and 7611) were found to carry independent MSCV integrations in intron 7 or 3′ of Ncf4, which encodes a regulatory subunit of the phagocyte NADPH oxidase complex.25 Two other leukemias (tumors 125 and 602) harbored different integration sites located between the 3′ end of AK053040, a characterized gene, and 5′ of Fgf3, encoding a fibroblast growth factor involved in the development of breast cancer and possibly other solid tumors.26 Because the probability of having 2 random insertions in the same location within the genome is very low (1.01 × 10−3),3 the repeated identification of MSCV integrations at these 2 loci strongly suggests that these integrations were selected because of potential cooperation with Sox4 and reduced Sfpi1 expression in leukemia induction. Real-time RT-PCR analyses show that tumors 1744 and 7611 expressed lower levels of Ncf4 mRNA than the other 12 studied leukemias that did not harbor Ncf4 insertions, further indicating that reduced Ncf4 expression caused by viral integrations may have facilitated leukemia development (Figure 3A). We also found that tumors 125 and 602 had higher Fgf3 expression levels compared with control tissue but not different from the remaining leukemias (Figure 3B).
Ncf4 potentially cooperates with Sox4 and reduced Sfpi1 expression in myeloid leukemia induction. Real-time RT-PCR analysis of total RNA isolated from spleens of leukemic animals and normal mice using primers specific for mouse Ncf4 (A) and Fgf3 (B). Pathology numbers of animals are listed on the x-axis. Relative gene expression levels (average) of 3 RT-PCR analyses were calculated by normalizing to β2-microglobin mRNA levels in the same sample and in normal spleen. (A) *Tumors have an Ncf4 integration. (B) *Tumors have an Fgf3 integration.
Ncf4 potentially cooperates with Sox4 and reduced Sfpi1 expression in myeloid leukemia induction. Real-time RT-PCR analysis of total RNA isolated from spleens of leukemic animals and normal mice using primers specific for mouse Ncf4 (A) and Fgf3 (B). Pathology numbers of animals are listed on the x-axis. Relative gene expression levels (average) of 3 RT-PCR analyses were calculated by normalizing to β2-microglobin mRNA levels in the same sample and in normal spleen. (A) *Tumors have an Ncf4 integration. (B) *Tumors have an Fgf3 integration.
Ectopic SOX4 expression down-regulates PU.1 mRNA levels
Previous studies suggested that a > 50% reduction in Sfpi1 expression can predispose to myeloid leukemia development.12,16 Therefore, it is possible that Sox4 expression in Sfpi1KO/+ cells may lead to a further down-regulation of Sfpi1 expression, which could play an important role in subsequent myeloid leukemia induction. We decided to test this hypothesis in HL60 promyelocytes that normally express high levels of PU.1.17 We electroporated HL60 cells with plasmids expressing both human SOX4 cDNA and the marker GFP (pIRES2-GFP-SOX4) or the same vector expressing GFP only (pIRES2-GFP). Because PU.1 mRNA was previously shown to have a half-life < 8 hours and significant changes in PU.1 transcription were detected previously in myeloid cells within this time window,17,27 we isolated GFP-expressing cells 8 hours after electroporation by FACS and analyzed for the levels of PU.1 mRNA. Flow cytometric analyses demonstrated comparable electroporation efficiencies (vector 30% and SOX4 31%) and cell viabilities (vector 31%, SOX4 39%) for both constructs. PU.1 mRNA levels were down-regulated 2- to 10-fold in cells electroporated with SOX4 cDNA compared with cells electroporated with the control vector (Figure 4A). Because PU.1 mRNA levels were measured only 8 hours after electroporation, this result suggests that increased SOX4 expression directly down-regulated PU.1 mRNA levels in myeloid cells in vitro.
Ectopic SOX4 expression reduces PU.1 mRNA levels in vitro and in vivo. (A) PU.1 mRNA levels were analyzed by quantitative RT-PCR in HL 60 cells electroporated with pIRES2-GFP (Vector) or pIRES2-GFP-SOX4 (SOX4) constructs, and normalized to β-ACTIN mRNA levels. Four independent electroporation experiments were performed and analyzed (P = .019). (B) Quantitative RT-PCR analysis of Sfpi1 mRNA levels in Sox4-induced leukemic and preleukemic spleen tissues versus normal spleens and Lin− cells (fold change). Leukemic spleens: #1852 to #7588 (Sox4/WT tumors, dark gray) and #7612 to #9459 (Sox4/Sfpi1 tumors, black); normal spleens: wild-type spleens (1 and 2, brown), preleukemic spleens: #9513 and #4920 (Sox4/WT group, gray), and Neo/Sfpi1 spleens (#4648 and #3776, light brown). Sox4/WT tumors versus Sox4/Sfpi1 tumors (P = .045). Normal spleen versus Sox4/WT preleukemic spleen (P = .044). Normal spleen versus Neo/Sfpi1 spleens (P = .003).
Ectopic SOX4 expression reduces PU.1 mRNA levels in vitro and in vivo. (A) PU.1 mRNA levels were analyzed by quantitative RT-PCR in HL 60 cells electroporated with pIRES2-GFP (Vector) or pIRES2-GFP-SOX4 (SOX4) constructs, and normalized to β-ACTIN mRNA levels. Four independent electroporation experiments were performed and analyzed (P = .019). (B) Quantitative RT-PCR analysis of Sfpi1 mRNA levels in Sox4-induced leukemic and preleukemic spleen tissues versus normal spleens and Lin− cells (fold change). Leukemic spleens: #1852 to #7588 (Sox4/WT tumors, dark gray) and #7612 to #9459 (Sox4/Sfpi1 tumors, black); normal spleens: wild-type spleens (1 and 2, brown), preleukemic spleens: #9513 and #4920 (Sox4/WT group, gray), and Neo/Sfpi1 spleens (#4648 and #3776, light brown). Sox4/WT tumors versus Sox4/Sfpi1 tumors (P = .045). Normal spleen versus Sox4/WT preleukemic spleen (P = .044). Normal spleen versus Neo/Sfpi1 spleens (P = .003).
To address the question of whether Sfpi1 expression is also negatively regulated by Sox4 overexpression in vivo, we first analyzed Sfpi1 mRNA levels by real-time RT-PCR in the leukemic spleens of Sox4/Wt and Sox4/Sfpi1 animals compared with wild-type spleens and normal Lin− bone marrow progenitor cells (Figure 4B). As expected from the different Sfpi1 genotypes of the leukemia cells, the average Sfpi1 mRNA levels in Sox4/Sfpi1 leukemic spleens were 45% lower than in Sox4/WT tumor spleens. Interestingly, Sox4/WT leukemic spleens also expressed 52% lower levels of Sfpi1 mRNA than normal Lin− bone marrow progenitor cells, suggesting that Sfpi1 expression is reduced in Sox4-induced myeloid leukemia cells compared with normal myeloid counterparts in vivo. In support of this hypothesis, we found that that Sox4 also suppresses Sfpi1 expression in nontransformed cells because preleukemic spleens from Sox4/WT mice expressed Sfpi1 mRNA at a level 29% lower than wild-type spleens, and similar levels in spleens from Sfpi1KO/+ mice. Western blotting analysis was consistent with a positive correlation between Sfpi1 RNA and protein levels, as previously shown by others28 (data not shown). These data suggest that increased Sox4 expression also down-regulates Sfpi1 mRNA levels in primary hematopoietic cells in vivo.
Sox4 occupies a key regulatory element of Sfpi1
A URE of Sfpi1 has been identified as a critical regulator of Sfpi1 expression in both myeloid and T-cell lineages.12,15 It functions as an enhancer in myeloid progenitors, as its deletion results in reduced expression of Sfpi1. In contrast, the same URE appear to function as a repressor in T cells, as the identical deletion also causes overexpression of Sfpi1 in T cells and results in T-cell leukemias in mice. A Tcf-binding site highly conserved across species within this URE has been described to repress Sfpi1 expression in T cells.15 Sox4 was discovered together with Tcf1 and Lef1 in part because their proteins share similar DNA-binding motifs: AACAAAG (Tcf1), TTCAAAG (Lef1), and A/TA/TCAAAG (Sox4).29 Therefore, we hypothesized that Sox4 could regulate Sfpi1 transcription through binding to this highly conserved Tcf-site within the URE (Figure 5A).
Sox4 binds to the Sfpi1 URE. (A) A sequence alignment of the Tcf-binding sites and their surrounding areas in Sfpi1 UREs of indicated species. (B) ChIP assays performed using 32Dcl.3 cells with 6 different anti-Sox4 antibodies (lanes 3, 4, 5, 6, 7, and 10). The immunoprecipitated chromatin samples were analyzed by PCR using specific primers spanning the Tcf-binding site. (C) ChIP assays in U937 cells using anti-SOX4 and anti-TCF1antibodies. (D) Lack of SOX4-binding to a region located 600 bp upstream of the TCF-binding site.
Sox4 binds to the Sfpi1 URE. (A) A sequence alignment of the Tcf-binding sites and their surrounding areas in Sfpi1 UREs of indicated species. (B) ChIP assays performed using 32Dcl.3 cells with 6 different anti-Sox4 antibodies (lanes 3, 4, 5, 6, 7, and 10). The immunoprecipitated chromatin samples were analyzed by PCR using specific primers spanning the Tcf-binding site. (C) ChIP assays in U937 cells using anti-SOX4 and anti-TCF1antibodies. (D) Lack of SOX4-binding to a region located 600 bp upstream of the TCF-binding site.
To test this hypothesis, we performed ChIP assays in the 32Dcl.3 murine myeloid progenitor cell line, which normally expresses high levels of Sox4 protein. A URE DNA fragment containing the Tcf-binding site can be readily amplified from immunoprecipitates prepared using various commercially available Sox4 antibodies but not control IgG (Figure 5B). This interaction is conserved in human cells, as the corresponding DNA fragment was also easily detected in ChIP assays in human U937 cells using an antibody recognizing SOX4 protein (Figure 5C). As expected, this DNA fragment was also amplified when a TCF1 antibody was used to prepare the precipitates (Figure 5C). These results strongly suggest that not only Tcf1 but also Sox4 can occupy the Tcf-binding site in the URE; therefore, Sfpi1 is a downstream transcriptional target of Sox4.
Increased SOX4 expression correlates with decreased PU.1 mRNA levels in de novo human AMLs
To examine whether the cooperation between SOX4 activation and reduced PU.1 expression could also contribute to human AML development, we analyzed the expression of both genes in 2 published Affymetrix-based microarray database composed of 285 de novo AML patient samples21 and 79 untreated normal cytogenetic AML samples.22 SOX4 expression was significantly negatively correlated with PU.1 expression (coefficient: −0.39, P < .05, Figure 6, coefficient: −0.24, P < .05), suggesting that the SOX4-mediated repression of PU.1 transcription is also conserved in human AMLs. In combination with the confirmed leukemogenic property of Sox4 in mice, these expression analyses suggest that SOX4 activation may contribute significantly to human AML development and, therefore, could be an important target for AML therapy.
SOX4 overexpression correlates with reduced PU.1 expression in AML.SOX4 expression in an available microarray database composed of 285 human de novo AMLs.21 Expression plot levels are shown.
SOX4 overexpression correlates with reduced PU.1 expression in AML.SOX4 expression in an available microarray database composed of 285 human de novo AMLs.21 Expression plot levels are shown.
Discussion
Sox4 cooperates with reduced Sfpi1 expression in myeloid leukemia development
We demonstrated cooperation between Sox4 and reduced Sfpi1 expression in the development of myeloid leukemia by showing that Sox4 overexpression in bone marrow progenitors of Sfpi1KO/+ mice led to greater disease penetrance and shortened latency compared with Sox4 overexpression in cells from wild-type mice. Sfpi1 expression levels in wild-type animals overexpressing Sox4 was reduced by 52% compared with wild-type Lin− cells; Sfpi1 expression levels in Sfpi1KO/+ mice were reduced by 73% compared with Lin− cells. In preleukemic WT animals, down-regulation of Sfpi1 by 30% was observed in mice that overexpressed Sox4. We localized Sox4 DNA binding to a consensus Tcf-binding site within a URE critical for controlling Sfpi1 expression. This down-regulation of Sfpi1 expression by Sox4 is consistent with previous studies showing that > 50% reduction of Sfpi1 expression/function can induce or contribute to myeloid leukemia development. Therefore, the cooperation between Sox4 and Sfpi1 haploinsufficiency in inducing myeloid leukemia is at least in part caused by a further decrease in Sfpi1 expression in myeloid progenitors because of direct transcriptional repression of the residual Sfpi1 allele by Sox4. Heterozygous PU.1 mutations have been found to be associated with some human AMLs30,31 ; our results suggest that activation of SOX4 could be a mechanism to further down-regulate PU.1 in these patients. Our identification of Sfpi1 as a repression target for Sox4 may also explain the Sox4-induced block of myeloid differentiation previously observed in 32Dcl.3 cells.4 Accumulation of myeloid progenitors, potentially because of a block of the myeloid differentiation program, has been observed in mice that express reduced levels of Sfpi1.12,18 Along with previous studies that have identified Sfpi1 as an important target in PML-RARα and AML1-ETO–induced leukemogenesis,17,32 our findings here further establish that reduction in Sfpi1 function, which is essential for normal myeloid development, may be an important mechanism for myeloid leukemia development.
Integration site analysis revealed additional cooperating mutations for myeloid leukemia development
In this study, we identified additional candidate mutations that may cooperate with both Sox4 activation and Sfpi1 haploinsufficiency in leukemia induction, via cloning of MSCV integrations in Sox4-induced myeloid leukemias from Sfpi1KO/+ cells. Two common integration sites (Ncf4 and Fgf3) were identified in our animal model and represent probable candidates contributing to leukemia induction. Whereas one Ncf4 integration was located in intron 7 of Ncf4, the other one was 3′ to the gene, between Ncf4 and Csf2rb2. RT-PCR for Csf2rb2 did not show down-regulation compared with splenic control (data not shown), whereas Ncf4 was down-regulated. The Ncf4 encodes a regulatory subunit of the phagocyte NADPH oxidase complex (Nox2) responsible for superoxide production by phagocytes, an important mechanism for killing of invading microbes.25 The exact role of Ncf4 in Nox2 function, however, is controversial. Loss of Ncf4 function by mutations in both mice and humans results in dramatic reductions in the production of reactive oxygen species by mature phagocytes and subsequently their capabilities to eradicate bacteria.33,34 However, Ncf4 has also been shown to down-regulate Nox2 activity.35 Besides involvement in host defense, reactive oxygen species generated from NADPH oxidases have also been shown to affect various signal transduction pathways.36 Therefore, it is possible that reduction in Ncf4 expression may contribute to myeloid leukemia development in our model by modulating reactive oxygen species levels and downstream signal transduction events. It will require further studies to clarify this potential mechanism. Two other myeloid leukemias were found to carry MSCV insertions near Fgf3, a known oncogene in breast cancer development,26 suggesting that these insertions may also contribute to disease induction in myeloid leukemias.
Our insertion site analysis also found a number of other genes that could have contributed to myeloid leukemic transformation in our model. For example, an MSCV integration in tumor 2103 was identified at Hoxa9, a known AML oncogene.37 HOXA9 is also one of the top 40 overexpressed genes in the CEBPA mutation cluster of human AMLs, which also expresses high levels of SOX4 and low levels of PU.1 mRNAs in our analysis.21 Similarly, C3ar1, identified in tumor 125, has been found to be up-regulated in human AML clusters characterized by EVI1 overexpression and activation of the FLT3 tyrosine kinase domain.21,38 In addition, overexpression of DNAJC6, CCR1, and LCP1, also targeted by MSCV insertions in our study, have been shown to be associated with AMLs containing FLT3 internal tandem duplication, CEBPA, and t(8,21) mutations, respectively.38 Future studies will be required to determine whether any of these insertions may represent true cooperating leukemic mutations for Sox4 and Sfpi1 haploinsufficiency.
Interestingly, our insertion site analysis in Sox4/Sfpi1 myeloid leukemias reveals no integration sites at Sfpi1 compared with 3 of 13 Sox4-induced myeloid leukemias from wild-type cells in our previous study. This difference may simply reflect the requirement for reduced but not complete loss of Sfpi1 function to promote myeloid leukemia development, as it is possible that such integrations would have completely abrogated Sfpi1 expression in Sfpi1KO/+ cells.
The role of the URE in regulating Sfpi1 expression and leukemogenesis is further defined
Previous studies have identified several transcription factors that could regulate Sfpi1 expression through this URE, including Tcf,15 SATB,19 Runx,39 C/EBPα,40 and NF-kB.41 Our results add Sox4 to this list of regulatory factors controlling Sfpi1 transcription. Our ChIP studies suggest that Sox4 binds to the previously identified Tcf-binding site within the URE in myeloid cells. We detected Sox4 binding to a short oligo containing the identical sequence by supershift in electromobility shift assays using nuclear extracts from U937 cells, but binding was not consistent (data not shown). This result may imply that the binding of Sox4 to this site may be unstable or that it could be indirect, requiring interaction with other transcription factors that bind nearby sequence motifs in the URE. Direct regulation of Sfpi1 expression by Sox4 through the URE may also be an important mechanism in Sox4-induced T-cell leukemias. Three animals receiving Sfpi1+/+ cells infected with Sox4 virus developed T-cell leukemias in our current study, suggesting that Sox4 is also an oncogene in this lineage. This idea is consistent with the suggested role of Sox4 in T cells (ie, promotion of T-cell progenitor proliferation).2 Overexpression of Sfpi1 in precursor T cells because of deletion of the URE also resulted in development of T-cell leukemias.15 Because a transcription factor could function as either activator or repressor of transcription depending on the interacting cofactors, it is possible that Sox4 is an activator of Sfpi1 transcription in T-cell progenitors and its overexpression may up-regulate Sfpi1 expression through URE, leading to T-cell leukemia development.
SOX4 may serve as an important target for human AML treatment
Sox4 has been demonstrated to be an oncogene in mouse myeloid leukemia development. However, its expression in human AMLs has never been investigated. Two microarray datasets show an inverse correlation between SOX4 and PU.1. In case of the normal cytogenetics microarray dataset, the correlation was weaker, suggesting differences in the correlation between AML subtypes. In addition, PU.1 expression correlates with NCF4 (r = 0.37, P < .05), but not with FGF3 (data not shown). Interestingly, SOX4-specific antibodies were readily detected in lung cancer patients overexpressing Sox4, suggesting that SOX4 protein may be an excellent target for cancer vaccine approaches for SOX4-induced AMLs.8
In conclusion, our results show that Sox4 overexpression cooperates with Sfpi1 haploinsufficiency in myeloid leukemia induction in mice and that this cooperation, at least in part, results from down-regulation of Sfpi1 transcription from the residual allele by the binding of Sox4 protein to a critical Sfpi1 URE. SOX4 expression in human AML patient samples inversely correlates with PU.1, indicating a contributing role in human AML development.
The online version of this article contains a data supplement.
This work was presented in part at the annual meeting of the American Society of Hematology, New Orleans, LA, December 6, 2009.
The publication costs of this article were defrayed in part by page charge payment. Therefore, and solely to indicate this fact, this article is hereby marked “advertisement” in accordance with 18 USC section 1734.
Acknowledgments
The authors thank Harinder Singh for providing the Sfpi1KO/+ mice, Stefania Pittaluga for assistance in obtaining the histology images, Dan Logsdon for helping with animal husbandry, Steven Seaman for with assistance with RT-PCR, Diane Haines for assistance with histopathology, and Colin Wu for assistance with statistics.
This work was supported by the National Institutes of Health Intramural Research program, the Department of Pediatrics of the Uniformed Services University of Health Sciences, the T. J. Martell Foundation (U.P.D.), Hope Street Kids (U.P.D.), and the National Heart, Lung, and Blood Institute (grant 1K08HL089403, U.P.D.). S.B.S. was supported by the National Cancer Institute (training grant T32 CA009592). N.A.J. and N.G.C. were supported by the Biomedical Research Council, Agency for Science and Technology and Research (A*STAR), Singapore.
The publisher or recipient acknowledges right of the United States government to retain a nonexclusive, royalty-free license in and to any copyright covering the article.
National Institutes of Health
Authorship
Contribution: G.A. and Y.D. designed research, performed most of the experiments, contributed to data analysis, and wrote the paper; U.P.D., N.A.J., N.G.C., and C.E.D. designed research and wrote the paper; S.M.C., S.B.S., and M.A.W. performed ChIP and protein analyses; J.Y.M. performed RT-PCR analyses; and D.L. performed microarray analyses.
Conflict-of-interest disclosure: The authors declare no competing financial interests.
Correspondence: Cynthia E. Dunbar, Hematology Branch, National Heart, Lung, and Blood Institute, National Institutes of Health, Bldg 10, CRC Rm 4-5132, 10 Center Dr, MSC 1202, Bethesda, MD 20892-1202; e-mail: dunbarc@mail.nih.gov.
References
Author notes
G.A. and Y.D. contributed equally to this study.






This feature is available to Subscribers Only
Sign In or Create an Account Close Modal