Abstract
Abstract 2316
Alternative donor stem cell transplantation from cord blood or haploidentical peripheral blood donors is increasingly being used for patients who lack a matched related or unrelated donor. A higher non-relapse mortality (NRM) rate has been noted with these two types of transplants, primarily due to infectious complications. We hypothesized that the time to lymphocyte recovery (absolute lymphocyte count [ALC] of ≥1000/μ L for the first 3 consecutive days) after transplant correlates with outcomes. We retrospectively analyzed 65 consecutive patients treated at our institution between 10/2001 and 5/2008 with cord blood (n=37) and T-cell depleted haploidentical (n=28) transplantation. All patients received the same myeloablative conditioning using fludarabine 160mg/m2 total dose, melphalan 140mg/m2 and thiotepa 10mg/kg. Cord blood transplant recipients received rabbit ATG (6mg/kg total dose). GVHD prophylaxis consisted of T-cell depletion for haploidentical and tacrolimus-based for cord blood transplant patients. The incidence of infectious complications was analyzed before and after lymphocyte recovery and expressed as incidence rate ratio (number of infections per number of days analyzed). To avoid a potential intrinsic selection bias, patients who did not have the chance to recover the lymphocytes, like those who developed primary graft failure (N=10) and patients who died before day 60 post transplant (N=3) were excluded from the analysis.
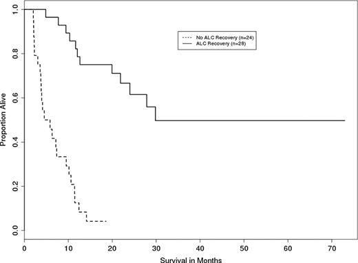
Overall, ALC recovery occurred in 51% of patients. A different pattern of lymphocyte recovery was observed between the two transplant types. Only 24% of patients treated with T-cell depleted haploidentical transplantation recover the ALC compared with 68% of cord blood transplant recipients (p=0.002); however, delays in lymphocyte recovery of up to more than a year were observed in this group. Patients with lymphocyte recovery were more likely to survive long-term than those without lymphocyte recovery (p<0.001) (Figure). A higher NRM for those without ALC recovery was apparent on day 60 post transplant (p=0.04). The difference in NRM became progressively higher if lymphocyte recovery did not occur after this time point. After adjusting for the type of transplant, the number of CD34+ cells infused had no significant effect on the recovery of any of these blood cells including ALC (p=0.16). In multivariate analysis, ALC recovery was the only independent prognostic factor associated with mortality; patients without ALC recovery were 10.5 times (95% CI: 4.3–25.4) more likely to die than those with ALC recovery (p<0.0001). This difference appeared to be related to non-relapse mortality (HR=0.1, 95% CI: 0.02–0.6, p=0.008), whereas ALC recovery did not influence the rate of disease relapse. The infection rate was significantly higher before than after lymphocyte recovery both within the first year post transplant and overall. For the entire period, the infection incidence rate was 35.5 per 1000 patient-days before vs. 6.5 per 1000 patient-days after lymphocyte recovery (p<0.0001).
These results suggest that ALC recovery is an important prognostic indicator for patients treated with cord blood and T-cell-depleted peripheral haploidentical transplants.
No relevant conflicts of interest to declare.
Author notes
Asterisk with author names denotes non-ASH members.

This feature is available to Subscribers Only
Sign In or Create an Account Close Modal