Abstract
Abstract 2286
Poster Board II-263
The outcomes of related and unrelated donor hematopoietic stem cell transplantations (HSCT) are strongly affected by the degree of human leukocyte antigen (HLA) matching between the transplant recipient and the donor or cord blood unit. HLA matching plays an important role in engraftment, incidence and severity of graft-versus-host disease (GVHD) and also in overall survival; although this factor is still not validated yet in many hematological malignancies.
To evaluate the impact of HLA matching and difference in matching degree among transplants from unrelated donors (UD) on different outcomes in chronic lymphocytic leukemia (CLL).
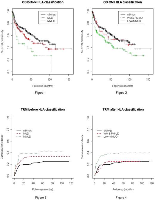
We have analyzed 370 CLL patients who underwent an allogeneic HSCT reported to the EBMT registry. There were 280 males (75%) and 90 females with a median age of 53 years (24-69). Forty-five patients (12%) have received a previous HSCT. At transplant, 294 among 317 evaluated patients had a good performance status (PS) (93%), 43 patients were in CR (12%), 160 in PR (46%), 44 in SD (13%) and 103 in PD (29%) among 349 evaluated patients. Two hundred and sixty six patients received a reduced intensity conditioning regimen (RIC) and 103 a standard (Std) conditioning; 313 patients received PBSC, 56 BM and 2 cord blood cells from 198 HLA siblings, and 172 unrelated donors (UD). There were 136 (36%) sex-mismatched (91 F/M and 45 M/F), 150 pairs (40%) had an ABO incompatibility (61 minor, 89 major) and for CMV: 78 pairs were +, 146 - and 111 mixed. The median interval between diagnosis and transplantation was 53 months (3-308). According to the registry, there were 198 HLA siblings, 135 matched UD (MUD) and 37 mismatched UD (MMUD). We focused on UD and re-analyzed all HLA typings for patients and donors, after classification we found: 24 well matched (10/10 in high resolution), 28 partially matched (7/7, 8/8 or 9/9 in high resolution), 30 matched in low resolution and 90 mismatched in high resolution, which was different from the registry classification.
After transplantation, 359 patients engrafted, 199 developed an AGVHD (gr I: 74, gr II: 79, gr III: 29 and gr IV: 17) and 171 presented a cGVHD (83 limited and 88 extensive). The cumulative incidence of AGVHD for the total population was 22% for gr II and 13% for gr > II. [Siblings: 19% and 12%; well & patially matched: 37% and 10%; low resolution & MMUD: 19.6% and 15.3% for grII & gr > II respectively]. At 1 year after transplant for the total population, the cumulative incidence of limited and extensive cGVHD was 17 % (15-19) and 18.4% (16.4-20.4)[ Siblings: 16.2% (13.6-19) and 17.2% (14.5-20); well & patially matched: 23% (17.2-29) and 23.1% (17.2-29); low resolution & MMUD: 15.8% (12.3-19.1) and 18.3% (14.8-21.8)] respectively. With a median follow up of 48 months, the probability of 3 and 5-years overall survival (OS) for the total population were 62% (56-67) and 52% (45-57) respectively. We found a high significant difference in term of OS between the siblings, well & partially matched groups versus low & MMUD groups (p=0.002) (figure 2). [OS at 3 & 5 years; Siblings: 68.3% (61.8-75.5) and 57.2% (49.8-65.6); well & patially matched: 60.8% (47.6-77.7) and 53.3% (39.2-72.4), low resolution & MMUD: 49% (40.3-59.5) and 38.5% (29.5-50.2) respectively]. We observed also a high significant difference in term of transplant related mortality (TRM) between the same groups (p=0.0022) (figure 4). The multivariate analysis using Cox model studying age, pre-transplant status; gender, PS, cells source, ABO compatibility, conditioning and different HLA groups, showed a significant impact of 4 factors on OS: age: HR=1.04 (1.01-1.6) p=0.001, disease status (PD): HR=3.08 (1.2-7.1) p=0.02, PS: HR=2.37 (1.1-5.1) p=0.02 and HLA MMUD group: HR= 1.62 (1.02-2.59) p=0.03. The same factors were also highly significant in multivariate analysis in term of TRM (age: HR=1.04 (1.001-1.07) p=0.009, disease status (PD): HR=5.49 (1.29-23.4) p=0.02, PS: HR=3.8 (1.7-8.4) p=0.01 and HLA MMUD group: HR= 1.9 (1.07-3.37) p=0.02.
This large retrospective analysis pointed out the high impact of HLA matching in terms of OS and TRM (in addition of age, disease status and PS), without any difference between HLA siblings, MUD and partially matched groups. Moreover, we demonstrated the importance of HLA classification when registering patients in the EBMT registry and its impact on different outcomes.
No relevant conflicts of interest to declare.
Author notes
Asterisk with author names denotes non-ASH members.

This feature is available to Subscribers Only
Sign In or Create an Account Close Modal