Abstract
Abstract 1224
Poster Board I-246
Multiple myeloma (MM), is a monoclonal plasma cells disorder that constitutes 10% of all hematologic malignancies. Patients with a good performance status are usually offered high-dose therapy (HDT) followed by autologous stem-cell transplantation (ASCT). HDT/ASCT is associated with complete response (CR) rates of up to 40%. Although a significant proportion of patients have a durable response after HDT/ASCT, others relapse relatively quickly and do not appear to benefit from the procedure, which may impact the overall survival (OS) of these patients. We attempt here to define the role of infusing mobilized myeloma cells on the survival of patients undergoing ASCT.
After obtaining an Institutional Review Board approval, we conducted a retrospective analysis on MM patients undergoing ASCT at our center. Data of disease status, graft characteristics, and outcome were collected. As part of the flow panel used to assess the mobilized ASC, monoclonal myeloma cells were identified by gating on a population of cells that express high levels of CD38 but do not stain or weakly with CD45 (CD38+/CD45−). OS was calculated from the date of ASCT to the time of death or last contact. Survival analysis was performed using the method of Kaplan and Meier (KP). Univariate and multivariate analysis was performed using the Cox proportional hazards model.
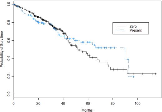
349 patients underwent ASCT between January 1999 and April 2008. Complete data on autograft characteristics were available on 303 patients. The mobilization regimen was Cyclophosphamide and GCSF for the majority of the patients and GCSF for the more recent transplants. Melphalan at 200 mg/m2 was give 18 hours prior ASC infusion. In 199 patients there was no CD38+/CD45- cells detected. Among the 104 patients with evidence of CD38+/CD45- cells the range was 0.1-10.2 ×10 6 cells/kg and there was no difference in survival in this patient group compared to the group without evidence of contaminating myeloma cells (p= 0.54). Continuous variable analysis also did not reveal any relationship between the dose of CD38+/CD45- cells and survival (p=0.84). There may be a survival advantage after 40 moths for those receiving CD38+/CD45- cells, however the scientific rational is not well understood. Neither B2 microglobulin nor the numbers of plasma cells in the bone marrow were relevant in multivariate analysis (p= 0.42 and 0.13, respectively).
The presence of myeloma cells in the autograft does not appear to influence overall survival and the inclusion of CD45 and CD38 flow cytometric analysis of mobilized stem cells may not be necessary.
No relevant conflicts of interest to declare.
Author notes
Asterisk with author names denotes non-ASH members.

This feature is available to Subscribers Only
Sign In or Create an Account Close Modal