Abstract
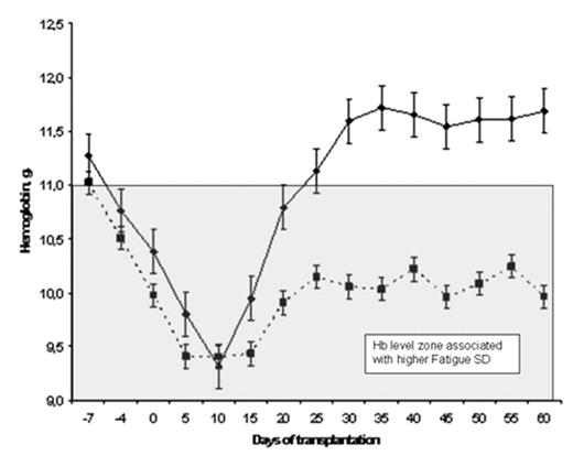
We have reported that RBCT needs inversely correlated to the conditioning intensity (Transfusion, 2004). Moreover, Hb level prior to RIC ASCT significantly influenced Hb recovery and RBCT needs (BMT, 2005). These findings invited us to test the hypothesis that post RIC allo SCT might represent an attractive setting for rHuEPO use. Here we analysed RBCT needs in the first 60 days after transplantation in 125 consecutive RIC allo geno-identical sibling PBSC ASCTs treated for lymphoid malignancies (LM) and solid tumours (ST) performed in our institution from 01/2001: age: 48 (23–68) ; M/F: 63/62 ; LM/ST: 96/39; RIC: FBA (Fludarabine (FLU)+ Busulfan (BU) + Thymoglobulin (ATG))(74), FBTLI (FLU + BU + 1 Gy TLI) (23), FLU+ 2 Gy TBI (26), FLU + Endoxan (2). 45 pts were treated with rHuEPO started on day 1 (EPO+ group). First 10 pts received epoetine-beta (Neorecormon, Roche) (10.000 IU × 3/week). The remaining 35 pts received Darbopoietine alpha (Aranesp, Amgen), (150 mkg/week: 10 pts; 500 mkg/3 weeks: 25 pts). Trt was continued until Hb level reached 12 g/dL or day +60. 80 pts did not receive EPO stimulation (EPO- group). There were no significant differences between the 2 groups in terms of patient and graft characteristics. AGVHD grade II–IV appeared before day +60 in both groups in 36% of cases. The 4 year survival probability estimates did not differ between the 2 groups (EPO+: 49.7% (32–67); EPO-: 44.7% (32–60)). Potential risk factors for RBCT needs were assessed in a univariate analysis: patient and donor age (NS), patient and donor gender (NS), donor/recipient gender compatibility (NS), ABO compatibility (NS), diagnosis (lymphoid malignancies vs solid tumours (NS)), conditioning regiments (ATG-based vs no ATG (NS) and BU-containing vs. no BU (NS)), CD34+ cell dose (<6 ×106/kg vs. ≥6 ×106/kg) (NS), Hb level prior to conditioning (Hb < 12 g/dl vs. Hb ≥ 12 g/dL (p<0.005)) and rHuEPO use (Y vs N (p<0.02)). In a multivariate analysis, Hb level (Hb < 12 g/dl vs Hb ≥ 12 g/dL; p=0.0001) and rHuEPO use (EPO+ vs EPO-; p=0.0096) independently influenced RBCT needs. The cohort of 45 EPO+ pts experienced a quicker Hb recovery allowing patients lo leave the “anaemic” zone associated with higher fatigue on day 20 (Fig) and significantly lower RBCT needs (EPO+ group: 1.8±0.3 RBC units; EPO- group 3.3±0.4 units (p<0.02)). In conclusion, in pts grafted with RIC the use of early rHuEPO is associated with a significant reduction of RBCT needs and has a major positive impact on early Hb recovery potentially limiting the fatigue syndrome post-transplant. This data provide proof of principle and rational of starting the rHuEPO early after RIC transplantation. Figure: Post graft Hb level evolution (mean ± SEM): group EPO+ (plain curve) vs. group EPO- (dashed curve).
Author notes
Disclosure: No relevant conflicts of interest to declare.

This feature is available to Subscribers Only
Sign In or Create an Account Close Modal