To the editor:
Immunoglobulin V genes and CD38 expression in CLL
The finding that the mutational status of immunoglobulin (Ig) V genes correlates with identifiable disease subsets of chronic lymphocytic leukemia (CLL) and is of prognostic importance has been documented and mutually corroborated by Damle et al1 and ourselves.2 We are aware that the ability to sequence Ig V genes is not available in most laboratories, and that an easily performed surrogate assay is desirable. Damle et al1suggested that CD38 staining might be a useful alternative.
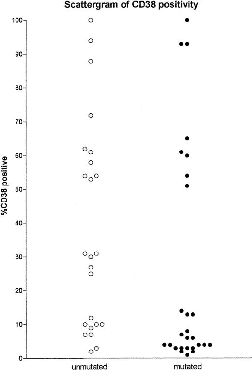
We have investigated CD38 expression in 50 of our CLL patients for whom the Ig V gene status is known. Cryopreserved cells were harvested and examined by flow cytometry on a Becton-Dickinson FACS Calibur analyzer. Staining with anti- CD19/anti-CD5 antibodies demonstrated that in each case over 95% of the harvested cells were CLL cells. Cells were then double-stained with anti-CD20 labeled with fluorescein isothiocyanate and anti-CD38 labeled with phycoerythrin (both antibodies from Becton Dickinson). 22/50 cases had >30% CD38 positive cells. Figure 1 shows the percentage of positive cells in cases with mutated and unmutated V genes respectively. There is no significant difference between the anti-CD38 staining of the 2 subsets. Further analysis shows no significant association between CD38 positivity and progressive disease, atypical morphology, advanced stage at diagnosis or trisomy 12. Unlike mutational status, which is significantly associated with the use of particular VHgenes, no such association was found with CD38 expression.
Scattergram showing percentage CD38 positivity among CLL patients with mutated and unmutated Ig VH genes.
Scattergram showing percentage CD38 positivity among CLL patients with mutated and unmutated Ig VH genes.
We plotted Kaplan-Meier survival curves on these 50 patients (Figure2). CD38 positive cases had a significantly poorer prognosis (p = .0124). Thus while CD38 positivity may be an important prognostic factor in CLL, in our series it is independent of the Ig V gene mutational status. With the current state of knowledge, CD38 staining should not be used as a surrogate assay for Ig V gene sequencing.
Kaplan-Meier survival curves comparing CD38 positive and negative CLL patients.
Why our results differ from those of Damle et al is a matter of speculation. We will be investigating whether CD38 expression is a constant over time in CLL. More importantly, it will be necessary to sequence V genes and stain for CD38 in a far larger group of patients with CLL. Drawing conclusions between the relative merits of the assays is premature.
North Shore University Hospital
Manhasset, New York
Dipartmento Oncologia Clinica e Sperimentale
Universita di Genova
Genova, Italy
North Shore University Hospital
Manhasset, New York
Dipartmento Oncologia Clinica e Sperimentale
Universita di Genova
Genova, Italy
North Shore University Hospital
Manhasset, New York
Dipartmento Oncologia Clinica e Sperimentale
Universita di Genova
Genova, Italy
North Shore University Hospital
Manhasset, New York
Dipartmento Oncologia Clinica e Sperimentale
Universita di Genova
Genova, Italy
North Shore University Hospital
Manhasset, New York
Dipartmento Oncologia Clinica e Sperimentale
Universita di Genova
Genova, Italy
North Shore University Hospital
Manhasset, New York
Dipartmento Oncologia Clinica e Sperimentale
Universita di Genova
Genova, Italy
North Shore University Hospital
Manhasset, New York
Dipartmento Oncologia Clinica e Sperimentale
Universita di Genova
Genova, Italy
Response:
Updated data on V gene mutation status and CD38 expression in B-CLL
We are gratified to read that Hamblin et al have confirmed one of the primary messages of our recent paper,1-1 that the percentage of CD38-expressing B-CLL cells can be used as a predictor of outcome in these patients. Now both of our groups, studying distinct well-characterized cohorts of B-CLL patients,1-1 1-2 have clearly established that V gene mutation status and CD38 expression are independent prognostic markers in B-CLL.
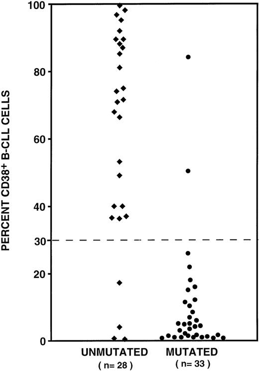
However, we are surprised that Hamblin et al did not find an inverse correlation between the percentage of CD38-bearing B cells and the presence of Ig V gene mutations in these cells. The accompanying Figure illustrates our most recent data correlating VH and/or VLmutations with CD38 expression in 61 B-CLL patients. The updated results still demonstrate a strong inverse correlation between these two parameters (κ = −0.81). Currently, the specificity of at least 30% CD38+ B-CLL cells indicating the unmutated genotype is 94% and the sensitivity is 86% with a positive predictive value of 94.6%. The specificity of less than 30% CD38+ B-CLL cells indicating the mutated genotype is 94% and the sensitivity 86% with a negative predictive value of 84.6%. These CD38 criteria define V gene mutation status with 90% accuracy. All of these values compare quite favorably to those we reported previously based on 37 patients.1-1
Percentage of CD38+/CD5+/CD19+ cells among mutated and unmutated B-CLL cases.
The percentage of CD38-expressing B-CLL cells among 61 patients whose Ig VH and VL gene sequences we have determined. Unmutated cases (⧫) display less than 2.0% differences from the most similar germline gene; mutated samples (•) display at least 2% differences. PBMC were analyzed for surface expression of CD19/CD5/CD38 by triple color immunofluorescence using anti-CD19-APC, anti-CD5-FITC, and anti-CD38-PE (all from Becton Dickinson Immunocytometry Systems, San Jose, CA). Isotype-matched negative controls were used in all assays to determine positive from negative results.
Percentage of CD38+/CD5+/CD19+ cells among mutated and unmutated B-CLL cases.
The percentage of CD38-expressing B-CLL cells among 61 patients whose Ig VH and VL gene sequences we have determined. Unmutated cases (⧫) display less than 2.0% differences from the most similar germline gene; mutated samples (•) display at least 2% differences. PBMC were analyzed for surface expression of CD19/CD5/CD38 by triple color immunofluorescence using anti-CD19-APC, anti-CD5-FITC, and anti-CD38-PE (all from Becton Dickinson Immunocytometry Systems, San Jose, CA). Isotype-matched negative controls were used in all assays to determine positive from negative results.
The reason for the discrepancy between the two laboratories in this regard is unclear, although technical differences should be considered. Perhaps the CD20 antibody used by Hamblin et al in their 2-color immunofluorescent analyses underestimated the numbers of CD38+ leukemic cells, given that CD20 can be significantly under-expressed in some B-CLL cases1-3,1-4 and this may be inversely related to CD5 expression.1-5 Our data were generated using 3-color immunofluorescence with anti-CD19-APC, anti-CD5-FITC, and anti-CD38-PE. This approach may be more sensitive and specific since it assures that CD5+ CD19+leukemic cells are analyzed for CD38 expression.
We believe, however, that the major issue is not whether one or another marker is superior or whether they are interchangeable, but rather that they independently predict clinical course and outcome. It is our hypothesis that both markers reflect a common feature, such as the maturation stage (eg, pre- vs postgerminal center reaction) or the type of signal (eg, T-dependent vs T-independent) received by the B cell at the time of leukemic transformation, and that this feature influences outcome. Although each of the two markers will likely have its own relative merits and shortcomings, they should help us unravel important aspects of the leukemogenic process by allowing us to identify and focus on the cellular and molecular differences that lead to such strikingly different clinical courses in this disease.


