Background: Ambulatory cancer patients initiating chemotherapy are at increased risk of venous thromboembolism (VTE). The Khorana score (0 = low, 1-2 = intermediate, 3-6 = high) helps clinicians to stratify these patients according to their underlying risk of VTE. The CATS score, which incorporates additional points for elevated biomarkers (d-dimer, p-selectin), may enhance VTE risk stratification by adding up to two additional points to the Khorana score. We sought to evaluate the incidence of VTE in patients with a Khorana score of ≥ 2 and elevated biomarkers.
Methods: The AVERT trial compared apixaban to placebo for the primary prevention of VTE in ambulatory cancer patients with a Khorana score of ≥ 2. D-dimer and p-selectin measurements were performed at randomization. Patients with d-dimer or p-selectin over the 75th percentile received 1 additional point each per elevated measurement (d-dimer ≥ 2.06 ug/mL and p-selectin ≥ 44.5 ng/mL). Cumulative 6-month VTE incidences according to Khorana and CATS scores were calculated using Kaplan-Meier analysis. VTE was assessed among patients receiving placebo (control group) according to modified intention to treat analysis, whereas bleeding events were assessed among patients receiving apixaban according to per-protocol analysis. For both the Khorana and CATS scores, the highest risk groups were merged into pooled high-risk groups (Khorana ≥ 3, CATS ≥ 4) given the low number of patients in higher risk strata. Hazard ratios for VTE were calculated by univariate and multivariable Cox regression analyses. The linear association between risk scores, VTE incidence and incidence of overall bleeding was tested for statistical significance.
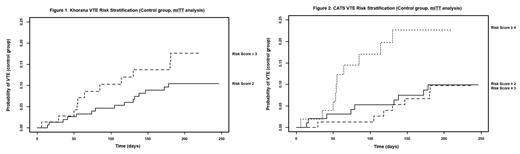
Results: A total of 466 patients were included in the analysis, 229 and 237 patients in the placebo and apixaban arms, respectively. There were 73 (31.9%) and 86 (36.3%) patients with Khorana scores ≥ 3 in the control and apixaban arms, respectively, whereas there were 52 (22.7%) and 66 (27.9%) patients with CATS scores ≥ 4 in the control and apixaban arms, respectively. Mean age was 61.0 ± 11.8 and 60.6 ± 12.6 years in the control and apixaban arms, respectively. A minority of patients, 11.5% in the control arm and 15.1% in the apixaban arm, had ECOG scores of ≥ 2. The 6-month cumulative incidence of VTE was 13% (95% CI 7 to 23) in patients with a Khorana score of ≥ 3 and 20% (95% CI 11 to 35) in patients with a CATS score of ≥ 4, respectively (Figures 1 and 2). The linear trend for association of CATS risk scores with VTE was statistically significant (p = 0.0015). The linear trend for association of Khorana risk scores with VTE did not achieve statistical significance (p = 0.059). There was a total of 7 overall bleeding events (8.1%; 95% CI 2.4 to 13.9) in patients with a Khorana score of ≥ 3, two of which were major (2.3%; 95% CI 0 to 5.5). There were 7 overall bleeding events (10.6%; 95%CI: 3.2 to 18.0) in patients with a CATS score of ≥ 4, two of which were major (3.03%; 95%CI: 0 to 7.17). Neither increasing Khorana (p = 0.85, p = 0.69) or CATS scores (p = 0.58, p = 0.54) were significantly associated with either increased major or overall bleeding, respectively.
Conclusion: Incorporation of d-dimer and p-selectin enhances VTE risk stratification in ambulatory cancer patients with a Khorana score of ≥ 2.
Carrier:BMS: Honoraria, Research Funding; Leo Pharma: Honoraria, Research Funding; Pfizer: Honoraria, Research Funding; Bayer: Honoraria; Servier: Honoraria. Key:Uniqure BV: Research Funding. Wells:BMS/Pfizer: Honoraria, Research Funding; Bayer: Honoraria; Sanofi: Honoraria; Daiichi Sankyo: Honoraria.
Author notes
Asterisk with author names denotes non-ASH members.
