Introduction: Secondary CNS dissemination (SCNSL) is a rare but lethal event in pts with diffuse large B-cell lymphoma (DLBCL). It can occur both at presentation, in pts with systemic disease, or at relapse, during or after primary therapy. Following the experience from primary CNS lymphoma, pts with SCNSL are currently treated with high-dose-methotrexate-based chemo and autologous transplant (ASCT). However, this strategy is associated with poor control of extra-CNS disease, and only 1/3 of pts proceed to ASCT and recover from this event. Thus, we designed a multicenter phase II trial addressing an intensified chemoimmunotherapy consolidated by ASCT in HIV-neg pts with SCNSL (NCT02329080).
Methods: Inclusion criteria were: histologically confirmed DLBCL; CNS involvement at presentation (concomitant to systemic disease) or relapse (isolated or concomitant to systemic lymphoma); age 18-70 ys; ECOG-PS ≤3; no prior treatment with high-dose methotrexate. Registered pts received 3 courses of MATRIX followed by 3 courses of RICE combined with intrathecal chemo and consolidated by BCNU-thiotepa/ASCT. The primary endpoint was 1-yr PFS. The Fleming design was used; to detect a difference in 1-yr PFS from 50% (P0) to 65% (P1), 69 pts were required (one-sided, type I error 5%, power 80%), with a dropout of 10%, 76 pts were needed. If ≥41 pts were progression-free at 1 yr, the strategy would be considered effective.
Results: Between 3/2015 and 8/2018, 79 pts were enrolled at 24 centers in 4 countries; 75 pts (median age 58, range 23-70; 38 males) were assessable. CNS involvement was recorded at presentation in 32 (43%) pts and at relapse in 43 (isolated site in 15, concomitant to systemic relapse in 28). CNS sites were brain parenchyma in 34 (45%) pts, brain + eyes in 10 (13%), brain + CSF in 13 (17%), brain + CSF + eyes in 6 (8%), CSF/meninges in 8 (11%), spinal cord in 2 (3%), and eyes in 2 (3%). Median time to CNS involvement was 5 months (range 1-61) in the 43 pts registered at relapse; 20 (47%) of them had refractory disease.
320 (71%) of the 450 planned chemo courses were delivered; 64 (85%) pts received intrathecal chemo. 78 SAEs were recorded in 42 pts, mostly due to FN and infections (64) or bleeding (5); 74 (95%) SAEs were followed by recovery. The 4 lethal SAEs (TRM= 5%) and the 5 transient interruptions occurred during MATRIX. Dose reductions were indicated in 33 (10%) courses. Most common g4 toxicities were thrombocytopenia in 118 (37%) courses, neutropenia in 113 (35%) and infections in 9 (3%). Stem cells collection was successful (median of 6.75M/kg; range: 2.4 - 45) in 42 (88%) of the 48 pts referred for leukapheresis.
55 (73%; 95%CI 63-83%) pts achieved a response after 2 courses of MATRIX; 19 (95%) of the 20 pts who had a CR after 2 MATRIX maintained the response after RICE; 9 (26%) of the 35 pts who had a PR after 2 MATRIX achieved a CR after RICE. Conversely, only 3 of 16 pts with PD/SD after 2 MATRIX achieved a response from RICE. 49 pts (65%; 95%CI 54-76%) achieved a response after MATRIX-RICE induction, and 36 responders received ASCT; 13 responders did not receive ASCT due to insufficient mobilization (n=4), PD due to treatment delay (5), frailty (2), neurological decline (1), and consent withdrawal (1). 45 pts (60%; 95%CI 50-70%) had responsive disease after the whole treatment.
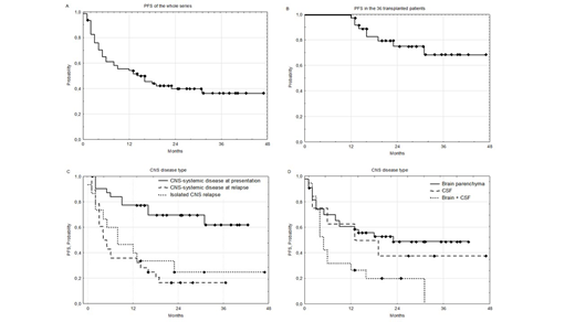
At 1 year from registration, 41 pts were progression free (efficacy threshold ≥41). At a median follow-up of 25 (12-47) months, 31 pts are progression free, with a 2-yr PFS of 42 ± 6% for the whole series and 75 ± 7% for the 36 transplanted pts (Fig. A & B). Sites of relapse/progression were CNS in 10 pts, extra-CNS organs in 9 and both in 18. Overall, 33 pts are alive, with a 2-yr OS of 42 ± 6% for the whole series and 82 ± 7% for transplanted pts. Causes of death were lymphoma (35) and toxicity (4); 3 pts died without evidence of disease due to neurological decline, PTE and sudden death.
Pts with CNS disease at presentation had the best outcome (Fig. C), whereas CSF/meningeal disease (Fig. D) and age >60 ys were independently associated with poor outcome.
Conclusions: MATRIX-RICE followed by ASCT achieved the primary endpoint in this very-poor-prognosis population, without major safety concerns. Survival figures of transplanted pts seem a little better than reported in prior trials, whereas pts with MATRIX-refractory disease had no benefit from crossing to RICE. The best survival figures were recorded in chemo-naïve pts treated at presentation and in pts without CSF/meningeal disease.
Ferreri:Celgene: Membership on an entity's Board of Directors or advisory committees, Research Funding; Gilead: Membership on an entity's Board of Directors or advisory committees; Novartis: Membership on an entity's Board of Directors or advisory committees; Roche: Research Funding. Doorduijn:Roche: Honoraria, Research Funding. Nassi:Merck: Consultancy; Takeda: Consultancy; Janssen: Consultancy. McKay:Janssen: Honoraria, Speakers Bureau; Takeda: Honoraria, Membership on an entity's Board of Directors or advisory committees, Speakers Bureau; MSD: Membership on an entity's Board of Directors or advisory committees; BMS: Membership on an entity's Board of Directors or advisory committees; Gilead: Honoraria, Membership on an entity's Board of Directors or advisory committees, Speakers Bureau; Epizyme: Honoraria, Membership on an entity's Board of Directors or advisory committees; Roche: Honoraria, Membership on an entity's Board of Directors or advisory committees, Speakers Bureau. Davies:ADCT Therapeutics: Honoraria, Research Funding; Karyopharma: Membership on an entity's Board of Directors or advisory committees, Research Funding; MorphoSys AG: Honoraria, Membership on an entity's Board of Directors or advisory committees; Bayer: Research Funding; Janssen: Honoraria, Research Funding; Kite Pharma: Membership on an entity's Board of Directors or advisory committees; Gilead: Honoraria, Membership on an entity's Board of Directors or advisory committees, Research Funding; GSK: Research Funding; Takeda: Honoraria, Membership on an entity's Board of Directors or advisory committees, Research Funding; Pfizer: Honoraria, Research Funding; Roche: Honoraria, Membership on an entity's Board of Directors or advisory committees, Research Funding; Acerta Pharma: Honoraria, Research Funding; Celgene: Honoraria, Membership on an entity's Board of Directors or advisory committees, Research Funding; BioInvent: Research Funding. Fox:Celgene: Consultancy; Gilead: Consultancy; AbbVie: Consultancy; Janssen: Consultancy; Sunesis: Consultancy; Takeda Pharmaceuticals: Consultancy; Atara Biotherapeutics: Consultancy; Adienne: Other: Travel Support. Osborne:Gilead: Membership on an entity's Board of Directors or advisory committees; NIL: Employment; NIL: Other: leadership; NIL: Other: Stock & other ownership interests; Roche: Consultancy, Honoraria, Membership on an entity's Board of Directors or advisory committees, Speakers Bureau; Takeda: Consultancy, Honoraria, Membership on an entity's Board of Directors or advisory committees, Speakers Bureau; Pfizer: Honoraria, Speakers Bureau; MSD: Membership on an entity's Board of Directors or advisory committees. Liberati:Incyte: Consultancy; Novartis: Other: Clinical trial support; Janssen: Honoraria; AbbVie: Honoraria, Membership on an entity's Board of Directors or advisory committees, Other: Clinical trial support; Roche: Other: Clinical trial support; Amgen: Membership on an entity's Board of Directors or advisory committees, Other: Clinical trial support; Celgene: Honoraria, Other: Clinical trial support; Bristol-Myers Squibb: Honoraria; Takeda: Membership on an entity's Board of Directors or advisory committees; Servier: Honoraria, Membership on an entity's Board of Directors or advisory committees. Zambello:Janssen: Membership on an entity's Board of Directors or advisory committees; Celgene: Membership on an entity's Board of Directors or advisory committees. Zucca:Celltrion Helathcare: Membership on an entity's Board of Directors or advisory committees; AstraZenaca: Research Funding; Celgene: Membership on an entity's Board of Directors or advisory committees, Research Funding; Janssen: Research Funding; Merck: Research Funding; Roche: Membership on an entity's Board of Directors or advisory committees, Other: Travel Grant, Research Funding; Kite, A Gilead Company: Membership on an entity's Board of Directors or advisory committees; Abbvie: Other: Travel Grant. Cwynarski:Adienne: Consultancy; Takeda: Consultancy, Other: conference and travel support , Speakers Bureau; Roche,: Consultancy, Other: conference and travel support, Speakers Bureau; Autolus: Consultancy; KITE: Consultancy; Gilead: Consultancy, Other: conference and travel support, Speakers Bureau; Celgene: Consultancy; Atara: Consultancy; Janssen: Other: conference and travel support, Speakers Bureau.
Author notes
Asterisk with author names denotes non-ASH members.
