Background
Following the advances in genetic tests, including next-generation sequencing, there have been new insights into hereditary hematopoietic malignancies. The germline mutation in DDX41 was included in a new category, myeloid neoplasms with germline predisposition, of the updated 2016 WHO classification. Based on the reported data to date, there seem to be racial differences in the mutation variants of DDX41 gene, which were found in patients with myelodysplastic syndrome (MDS) or acute myeloid leukemia (AML). Idiopathic cytopenia of undetermined significance (ICUS) is known to be a precursor lesion of MDS, but the DDX41 mutations have not been evaluated in patients with ICUS. In this study, we aimed to reveal the incidence, genetic characteristics, and clinical features of the DDX41 mutations in patients with ICUS, MDS, and AML.
Methods
We performed targeted deep sequencing of 141 genes with a MiSeqDx sequencer (Illumina) using bone marrow (BM) samples obtained from the patients with ICUS (n=77), MDS (n=175), and AML (n=148) between May 2009 and June 2019. ICUS was defined by the proposed criteria of 2007 Consensus Group. The cut-off level of variant allele frequency (VAF) was set to 2.0% of mutant allele reads. We divided ICUS into clonal cytopenia of undetermined significance (CCUS), which was defined as ICUS with ≥ 2% VAF of somatic mutations of myeloid malignancy-associated genes and non-CCUS.
Results
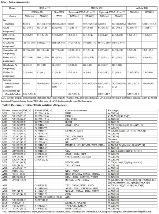
Overall, DDX41 mutations were detected in 6 (7.8%) of 77 ICUS, 19 (10.9%) of 175 MDS, and 8 (5.4%) of 148 AML patients. Thirty-eight (49.4%) of 77 ICUS patients had CCUS. Of 6 DDX41 mutated patients with CCUS, 5 showed biallelic mutations with the median VAF of 44.7% (range, 29.3−50.0) and 10.2% (range, 3.3−25.4), indicating that one germline and one somatic mutation exists. Of 175 MDS patients, 78 were categorized into lower-risk MDS (revised international prognostic scoring system [IPSS-R] < 3.5) and 97 into higher-risk MDS (IPSS-R ≥ 3.5), and DDX41 mutations were identified in 6 (7.7%) of 78 lower-risk MDS and 13 (13.4%) of 97 higher-risk MDS patients. Interestingly, biallelic mutations were found in 16 of 18 DDX41-mutated MDS patients with the median VAF of 47.75% (range, 43.4−55.6) and 13.8% (range, 2.7−35.8). In contrast, only one of 8 DDX41-mutated AML patients had biallelic mutation. Patients with DDX41 mutations typically showed hypocellular marrow (median BM cellularity, 30%; range, 5−95) with significant neutropenia (median neutrophil counts, 607/μL; range, 142−1675), male predominance (29/33, 87.9%), and relatively older age (median age, 64 years; range, 41−79) at diagnosis. In addition, we found novel mutation locations, which were different between presumed germline and somatic variants: V152G in germline, and T227M in somatic (Table 2). During a median follow-up duration of 2.9 years, 1 of 6 ICUS patients progressed to MDS-EB-1 after 17.3 months and 1 to non-severe aplastic anemia after 51.3 months.
Conclusion
Our data show that a significant proportion of ICUS, MDS, and AML patients had DDX41 mutations, many of which are presumably germline. These findings suggest that careful consideration of the predisposing germline mutation is important when selecting a familial donor for allogeneic HCT. We also found novel mutation locations of DDX41 gene which were different between somatic and germline variants. Further studies are warranted to define the clinical and molecular characteristics of DDX41 mutations and therapeutic implications in myeloid neoplasms.
No relevant conflicts of interest to declare.
Author notes
Asterisk with author names denotes non-ASH members.
