Introduction: Recently, a significant impact of the kinetics of Fms-like tyrosine kinase 3 ligand concentration (FLc) during induction (day[D]1 to D22) has been reported on survivals in first-line acute myeloid leukemia (AML) patients (pts) (Peterlin et al, 2019). Three different FLc profiles were disclosed i) sustained increase of FLc (FLI group, good-risk), ii) increase from D1 to D15, then decrease at D22 (FLD group, intermediate-risk) and iii) stagnation of low levels (<1000 pg/mL, FLL group, high-risk). An update of this prospective monocentric study (www.ClinicalTrials.gov NCT02693899) is presented here evaluating also retrospectively the impact on outcomes of 6 other cytokine level profiles during induction.
Methods: Between 05/2016 and 01/2018, 62 AML pts at diagnosis (median age 59 yo [29-71], <60 yo n=33) eligible for first intensive induction were included and provided informed consent. They received standard of care first-line chemotherapy. Serum samples collected on D1, 8, 15 & 22 of induction were frozen-stored until performing ELISA for FL, TNFa, SCF, IL-1b, IL-6, IL-10, GM-CSF. Normal values were assessed in 5 healthy controls. Pts outcomes considered were relapse/leukemia-free (LFS) and overall (OS) survivals.
Results: FLI, FLD and FLL profiles were observed for 26, 22 and 14 pts respectively. A total of 372 samples were assayed for the 6 other cytokines. Median concentrations at D1, D8, D15, D22 for these 6 cytokines were as follows, considering the whole cohort (and healthy donors): TNFa: 0.53, 0, 0, 0 (0); SCF: 5.91, 0, 0, 0 (3); IL-1b : 0, 0, 0, 0 (0); IL-6: 4.85, 16.28, 10.11, 7.1 (0), IL-10: 0, 0, 0, 0 (0) and GM-CSF:1.63, 1.8, 0.67, 1.34 (9.98). Median IL-6 and GM-CSF levels, compared to healthy controls, were respectively higher and lower during induction. No significant difference was observed in terms of median cytokine concentrations at any time when comparing the three FL sub-groups or FLI vs FLD pts.
With a median follow-up of 28 months (range: 17-37), FLI and FLD pts show now similar 2-y LFS (62.9% vs 59%, p=0.63) and OS (69.2% vs 63.6%, p=0.70). FLL pts have a significantly higher rate of relapse (85,7% vs FLI 19,2% vs FLD 32%, p=0,0001). Comparing FLL vs FLI+FLD pts disclosed significantly different LFS (7.1% vs 61.1%, p<0.001) but not OS (36.7% vs 66.6%, p=0.11).
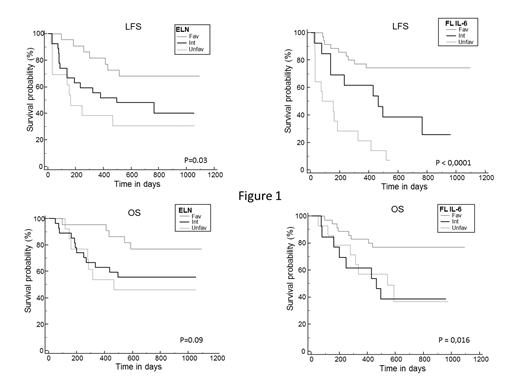
In univariate analysis, 2y LFS and OS were not affected by the concentration (< or > median) of the 7 cytokines studied except for LFS and GM-CSFc at D8 (p=0,04) and D15 (p=0,08), for LFS and FLc at D1 (p=0.06), D8 (p=0,03), D15 (p=0,04) and D22 (p=0,03) and for OS and GM-CSF at D15 (p=0.08). A significant association between LFS was observed with ELN 2017 risk stratification (2-y LFS: favorable: 68,1% vs intermediate: 48,1% vs unfavorable: 30,7%, p=0.03) but not OS (2 y: 77% vs 55,5% vs 46,1%, p=0.09). Multivariate analysis showed that no factor was independently associated with OS while LFS remained significantly associated with the FLc profile (FLL vs others, HR: 5.79. 95%CI: 2.48-13.53, p<0.0001) and GM-CSF at D15 (HR: 0.45; 95%CI: 0.20-0.98, p=0.04) but not with ELN 2017 risk stratification (p=0.06).
Cytokine levels were then assessed to try to better discriminate FLI and FLD pts. A significant higher IL-6 level at D22 was found in relapsed or deceased FLI/FLD pts (median:15,34 vs 5,42 pg/mL, p=0,04). FLI/FLD pts with low IL-6 at D22 (< median, 15.5 pg/mL, n=35 vs n=14 with high level) had significant better 2y LFS and OS (74,2% vs 38,4%, p=0,005 and 77,1% vs 38,4%, p=0,009, respectively). A new prognostic risk-stratification could thus be proposed, i.e. FLI/FLD with IL-6 <15.5 pg/mL (favorable), FLI/FLD with IL-6 >15.5 pg/mL (intermediate) and FLL (unfavorable). This new classification was considered for a second multivariate analysis, showing that it is the strongest factor associated with OS (p=0.006, ELN p=0.03, FL profile p=0.04) and LFS (p<0.0001, ELN p=0.005, GM-CSFc D15 p=0.03) (figure 1).
Conclusion: This study confirms stagnation of low FLc during AML induction as a strong poor prognosis factor. Moreover, IL-6 levels at D22 further discriminate FLI/FLD pts. Thus, a new cytokine-based risk-stratification integrating FL kinetics and IL-6 levels during induction may help to better predict outcomes in first-line AML patients. These results need to be validated on a larger cohort of AML patients while anti-IL-6 therapy should be tested in combination with standard 3+7 chemotherapy.
Peterlin:AbbVie Inc: Consultancy; Jazz Pharma: Consultancy; Daiichi-Sankyo: Consultancy; Astellas: Consultancy. Moreau:Janssen: Consultancy, Honoraria; Amgen: Consultancy, Honoraria; Takeda: Consultancy, Honoraria; AbbVie: Consultancy, Honoraria; Celgene: Consultancy, Honoraria. Chevallier:Jazz Pharmaceuticals: Honoraria; Incyte: Consultancy, Honoraria; Daiichi Sankyo: Honoraria.
Author notes
Asterisk with author names denotes non-ASH members.
