Abstract
Background: Patients with a first episode of unprovoked pulmonary embolism have a high risk of recurrent venous thromboembolism (VTE) after anticoagulation is discontinued. Prolongation of anticoagulant therapy beyond the initial period of 3 to 6 months is associated with a significant reduction of recurrent VTE, but an excess of bleeding events. In addition, most studies assessing prolonged treatment did not follow the patients after treatment had been stopped. Thus, the optimal duration of anticoagulation in patients with a first unprovoked pulmonary embolism remains uncertain.
Method: In a multicenter, randomized, double-blind, controlled trial, we compared an additional 18 months of warfarin (target International Normalized Ratio, 2 to 3) with placebo in patients with a first episode of unprovoked pulmonary embolism that had been initially treated with a vitamin K antagonist for 6 uninterrupted months. In both groups, all patients were followed up for an additional median period of 2 years after treatment had been stopped. Primary outcome was the composite of recurrent VTE or major bleeding during the 18-month treatment period. Secondary outcomes included the composite outcome during the entire study period (i.e. 18 months plus a median follow-up of 2 years), deaths not caused by pulmonary embolism or major bleeding and the components of the composite outcome during the treatment period and during the entire study period. All outcomes were centrally adjudicated.
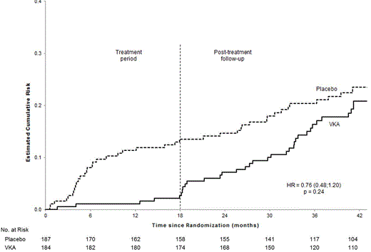
Results: A total of 371 patients were included in the study and analyzed on an intention-to-treat basis. During the treatment period, the composite outcome occurred in 6 of 184 patients (3.3%) in the warfarin group and in 25 of 187 patients (13.5%) in the placebo group (hazard ratio [HR], 0.23; 95% confidence interval [CI], 0.09-0.55; p=0.0004). Recurrent VTE occurred in 3 (1.7%) patients in the warfarin group and in 25 (13.5%) in the placebo group (HR, 0.11; 95%CI, 0.03-0.37); major bleeding occurred in 4 (2.2%) patients in the warfarin group and in 1 (0.5%) in the placebo group (HR, 4.07; 95%CI, 0.45-36.38). Two deaths not related to the study outcome occurred in each group. During the entire median study period of 41 months, the composite outcome occurred in 33 (20.8%) patients in the warfarin group and in 41 (23.5%) in the placebo group (HR, 0.76; 95%CI, 0.48-1.20; p=0.24) (Figure 1). Recurrent VTE occurred in 28 (17.9%) patients in the warfarin group and in 39 (22.1%) in the placebo group (HR, 0.67; 95%CI, 0.41-1.08); major bleeding occurred in 6 (3.5%) patients in the warfarin group and in 4 (2.5%) in the placebo group (HR, 1.57; 95%CI, 0.44-5.55). Thirteen (11.9%) patients died in the warfarin group, four deaths being related to recurrent VTE and one to major bleeding; six (3.6%) patients died in the placebo group from a cause unrelated to recurrent VTE or bleeding (p=0.08). Of the 67 episodes of recurrent VTE, 52 (77.6%) were pulmonary embolism and 58 (86.6%) were unprovoked.
Conclusion: After 6 months of anticoagulation for a first episode of unprovoked pulmonary embolism, extending anticoagulation for an additional 18 months was associated with a major reduction in the risk of recurrent VTE or major bleeding during the treatment period. However, this benefit was not maintained after discontinuation of anticoagulation. (ClinicalTrials.gov number NCT00740883).
Cumulative risk of the composite outcome (recurrent VTE or major bleeding) over the entire study period
Cumulative risk of the composite outcome (recurrent VTE or major bleeding) over the entire study period
Couturaud:Astra Zeneka: Co-investigator in clinical trial, Co-investigator in clinical trial Other, Membership on an entity's Board of Directors or advisory committees; Bayer: Co-investigator in clinical trial Other, Membership on an entity's Board of Directors or advisory committees. Sanchez:Bayer: Membership on an entity's Board of Directors or advisory committees. Mismetti:Bayer: Membership on an entity's Board of Directors or advisory committees; pfizer: Membership on an entity's Board of Directors or advisory committees; boerhinger ingelheim: Membership on an entity's Board of Directors or advisory committees; Daiichi Sankyo: Membership on an entity's Board of Directors or advisory committees; Sanofi: Membership on an entity's Board of Directors or advisory committees. Jego:Bayer: Membership on an entity's Board of Directors or advisory committees; actelion: Research Funding; GlaxoSmithKline: Research Funding. Parent:Bayer: Membership on an entity's Board of Directors or advisory committees. Lorillon:Astra Zeneka: Membership on an entity's Board of Directors or advisory committees, symposium invitation Other; Sanofi: Membership on an entity's Board of Directors or advisory committees; Pfizer: Membership on an entity's Board of Directors or advisory committees; Boehringer Ingelheim: Membership on an entity's Board of Directors or advisory committees; Bayer: Membership on an entity's Board of Directors or advisory committees. Girard:Leo Pharma: Membership on an entity's Board of Directors or advisory committees; Bayer: Membership on an entity's Board of Directors or advisory committees. Lacut:Bayer-Healthcare: Membership on an entity's Board of Directors or advisory committees; BMS: Research Funding; Boehringer Ingelheim: Research Funding. Leroyer:Novartis: Membership on an entity's Board of Directors or advisory committees; GlaxoSmithKline: Investigator in COPD clinical trials, Investigator in COPD clinical trials Other, Membership on an entity's Board of Directors or advisory committees; Astra Zeneka: Investigator in asthma clinical trials Other, Membership on an entity's Board of Directors or advisory committees. Decousus:Daiichi-Sankyo: Membership on an entity's Board of Directors or advisory committees; Bayer: Membership on an entity's Board of Directors or advisory committees. Meyer:Sanofi-Aventis: Research Funding; LEO Pharma: Research Funding; Bayer: Research Funding; Boehringer Ingelheim: Research Funding. Mottier:Pfizer: Membership on an entity's Board of Directors or advisory committees; bayer: Membership on an entity's Board of Directors or advisory committees; Boehringer Ingelheim: Membership on an entity's Board of Directors or advisory committees; Sanofi: Research Funding.
Author notes
Asterisk with author names denotes non-ASH members.
