Abstract
Background: Chronic pediatric ITP is an autoimmune disorder characterized by increased platelet destruction and suboptimal platelet production, resulting in low platelet counts. Romiplostim, a TPO receptor agonist that stimulates platelet production, increased and maintained platelet counts in thrombocytopenic children with ITP in a phase 1/2 study. Pts who completed that study or an ongoing phase 3 study could roll over into this open-label long-term extension; data from up to 4.2 years of romiplostim in this extension are described here.
Objectives: To describe the safety and efficacy of long-term use of romiplostim in pediatric ITP.
Methods: All pts received SC romiplostim weekly (QW); the starting dose was the last dose given in the parent study or 1 μg/kg (for those who had previously received only placebo or who had not received romiplostim for >24 wk). Doses could be adjusted up to 10 µg/kg to achieve target platelet counts in the range of 50-200×109/L. The primary endpoint was incidence of adverse events (AEs). Assessments of AEs, concomitant medications, and local platelet counts were performed QW. For pts who maintained platelet counts of ≥50×109/L for ≥4 consecutive wk at a stable romiplostim dose, they or their caregivers, if deemed appropriate by the investigator, could learn to self-administer subsequent romiplostim doses. Pts who self-administered romiplostim had monthly assessments (not QW). Pts and/or their caregivers recorded dosing date, time, volume administered, and any dosing errors. Pts who turned 18 years of age were permitted to remain on study.
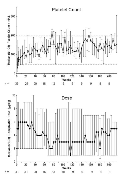
Results: 40 pts (12 from the phase 1/2 study and 28 from the phase 3 study) entered the extension; 39 received romiplostim for up to 217 wk (4.2 yrs); 1 pt withdrew consent before receiving romiplostim. At extension study baseline, median age was 11 years (range 3-16), 55% were female, and 12.5% had prior splenectomy. Median (range) romiplostim treatment duration was 40 wk (5–217); median total number of doses was 37 (5–216); median average QW romiplostim dose was 6 µg/kg (1–10 µg/kg), including dose escalation to achieve a stable dose; median maximum dose was 8 µg/kg (1–10 µg/kg). 10 pts discontinued the study: consent withdrawn (n=5), noncompliance (2), administrative decision (2), and non-response (1). No pts withdrew due to AEs and 30 continued on study. After the first wk of the extension, which for some pts was their first wk of romiplostim, median platelet counts remained >50×109/L and were in the target range of 50-200×109/L, except for wk 76 and 156, when they were just above 200×109/L (Figure). Q1 platelet counts were >50×109/L from wk 16 on. The median (Q1, Q3) romiplostim dose was 5 (1, 9) µg/kg at wk 1 and 5 (1, 6) µg/kg at wk 216 (Figure). The median dose fell from 6 µg/kg to 3 µg/kg; from Week 172 on (n≤8), it started to rise and fluctuate. 11 pts received rescue medications (for platelet counts <10×109/L, bleeding/wet purpura, or investigator decision), including IV immunoglobulin (n=4), tranexamic acid (2), prednisone (3), platelet transfusion (1), and aminocaproic acid (1). The 21 instances of rescue treatment for 11 pts occurred: in the first 3 months (12 instances), >3–6 months (4), >6–12 months (4), and after 1 year (1) of romiplostim treatment. 7 pts had 13 serious AEs (asthma, epistaxis, gastroenteritis, gastrointestinal infection, hemangioma, infection, mouth hemorrhage, pain, pharyngitis, pyrexia, tachycardia, transfusion reaction, and viral infection) and 3 had life-threatening AEs (infection, n=1, thrombocytopenia, n=2); none were fatal. None of the serious or life-threatening AEs were deemed treatment-related by the investigators. 30 pts had bleeding AEs, which were deemed treatment-related in 2 pts (gingival bleeding and petechiae). Bleeding AEs occurring in ≥2 pts included contusion (n=11), epistaxis (9), petechiae (8), gingival bleeding (7), ecchymosis (3), hemorrhage (3), injection site bruising (3), mouth hemorrhage (3), and injection site hemorrhage (2). No bone marrow biopsies were performed and no thrombotic events were reported.
Conclusion: In this open-label extension, long-term treatment with romiplostim (up to 4.2 yrs) maintained platelet counts in pediatric pts with chronic ITP without significant toxicity. Future results from this ongoing study will provide additional safety and efficacy data regarding long-term use of romiplostim in children with chronic ITP.
Bussel:Cangene: Research Funding; GlaxoSmithKline: Membership on an entity's Board of Directors or advisory committees, Research Funding; Genzyme: Research Funding; IgG of America: Research Funding; Immunomedics: Research Funding; Ligand: Membership on an entity's Board of Directors or advisory committees, Research Funding; Eisai: Membership on an entity's Board of Directors or advisory committees, Research Funding; Shionogi: Membership on an entity's Board of Directors or advisory committees, Research Funding; Sysmex: Research Funding; Portola: Consultancy; Amgen Inc.: Membership on an entity's Board of Directors or advisory committees, Research Funding. Off Label Use: Romiplostim is indicated for the treatment of thrombocytopenia in patients with chronic immune thrombocytopenia (ITP) who have had an insufficient response to corticosteroids, immunoglobulins, or splenectomy. Use of romiplostim in pediatric patients is under investigation.. Tarantino:Baxter: Membership on an entity's Board of Directors or advisory committees, Research Funding; BPL: Membership on an entity's Board of Directors or advisory committees; Grifols: Honoraria, Membership on an entity's Board of Directors or advisory committees, Research Funding, Speakers Bureau; Novo Nordisk: Membership on an entity's Board of Directors or advisory committees, Research Funding, Speakers Bureau; Octapharma: Membership on an entity's Board of Directors or advisory committees; Pfizer: Membership on an entity's Board of Directors or advisory committees; Cangene: Research Funding; UptoDate, Inc.: Patents & Royalties; Amgen Inc.: Membership on an entity's Board of Directors or advisory committees. Nie:Amgen Inc.: Employment, Equity Ownership. Franklin:Amgen Inc.: Employment, Equity Ownership. Eisen:Amgen Inc.: Employment, Equity Ownership.
Author notes
Asterisk with author names denotes non-ASH members.
