Abstract
Recent advances in the treatment of myeloma have included the development of immunotherapies using monoclonal antibodies targeted against plasma cell specific antigens. Elotuzumab is a therapeutic antibody directed against the SLAM family member CS1, also known as CD319, SLAMF7 or CRACC. Expression of this antigen has been investigated extensively using immunohistochemistry and gene expression profiling and has been demonstrated on normal and malignant plasma cells. Clinical trials using Elotuzumab in myeloma have shown promising results, especially in combination with other therapeutic agents, such as lenalidomide and dexamethasone.
Daratumumab, a humanised antibody to CD38, has also shown encouraging responses in a percentage of refractory patients in Phase I and II trials, both as a single agent and in combination with lenalidomide. Despite this progress a significant number of patients fail to respond to these therapies for reasons which remain unclear. Monoclonal antibody-based therapy in Waldenstrom macroglobulinemia (WM) has traditionally targeted the B cell component. We have previously demonstrated that WM plasma cells are not depleted with either rituximab or alemtuzumab resulting in delayed IgM responses. Plasma cell specific antibodies may be applicable to WM and may be particularly suited to those instances when the clinical features are a consequence of the M protein such as hyperviscosity and neuropathy. There are no published data correlating quantitative surface expression data with outcome and it is possible that variability in the surface expression levels of the targets could affect efficacy of these therapeutic antibodies. The aim of this study was to evaluate the expression of CD319 and CD38 in patients with a range of plasma cell dyscrasias using multi-parametric flow cytometry.
Bone marrow aspirates from patients with myeloma, MGUS or WM along with normal staging bone marrows were analysed using 8-colour flow cytometry. Leucocytes were isolated using ammonium chloride lysis and cells were then incubated with a cocktail of surface antibodies containing CD319, CD19, CD38, CD138, CD45 and CD20. Following fixation and permeabilisation cells were then incubated with Kappa and Lambda. Plasma cells and B-cells were enumerated and monoclonal B-cell and plasma cell populations were assessed.
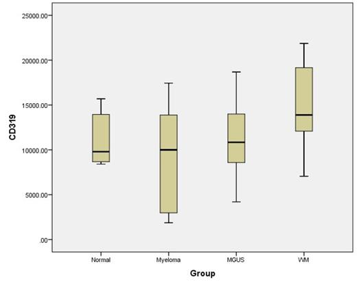
Expression of CD319 was seen on all plasma cell populations and was absent from all B-cell populations (Median fluorescent intensity (MFI) 12088 vs 114, p<0.001). There was definite heterogeneity in both CD319 and CD38 expression on plasma cells (CD319 MFI range 1871-21865; CD38 MFI range 4393-156258) and this was as a result of differences between diagnostic groups. There were significantly lower levels of expression seen in the clonal plasma cells in myeloma cases compared to normal bone marrows (CD319 MFI 7743 (1871-13880) vs 11118 (8412-15685), p=0.188; CD38 MFI 10113 (4665-28627) vs 54650 (32078-91906), p=0.003). CD319 expression was below normal levels in 33% of myeloma cases and CD38 expression was below normal in all myeloma samples. Lower levels of expression were also seen in myeloma relative to WM cases (CD319 MFI 7743 (1871-13880) vs 14488 (7056-21865), p=0.079; CD38 MFI 10113 (4665-28627) vs 47695 (15174-156258), p=0.003). There was no significant difference in CD319 or CD38 expression for WM cases when compared to normal bone marrow samples.
Although CD319 and CD38 expression was seen in all plasma cell populations, there were differences in expression levels between myeloma plasma cells and those from MGUS, WM or normal bone marrow samples. The heterogeneity in surface expression seen could potentially affect efficacy of antibody treatment and may offer some explanation for the non-responders that have been seen in early trials of Elotuzumab and Daratumumab. We have also shown that the clonal plasma cells in WM have higher levels of surface expression of both targets than those in myeloma. Following the encouraging results shown in the myeloma setting, this expression data suggests that Elotuzumab and Daratumumab may also be highly effective for eradication of the plasma cell component of WM. Prospective studies in both myeloma and WM correlating surface expression levels to outcome would be of interest.
No relevant conflicts of interest to declare.
Author notes
Asterisk with author names denotes non-ASH members.

