Abstract
The first affiliated hospital of Soochow University initiated a program of stem cell transplantation for hematological malignancies in 2001 and has done until December 2011 a total of 70 autografts to consolidate acute leukemias (61 adults and 9 children).
The EBMT presently handles a registry with information on more than 450 000 transplants including over 100 000 transplants for Acute Leukemias, of which 22800 were autografts. In order to evaluate the outcome of patients transplanted in Suzhou and to compare it with results from the EBMT, we collected the necessary information on all patients transplanted in Suzhou and we did a pair matched analysis with patients reported to the EBMT registry.
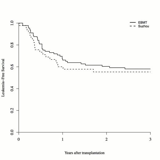
The median age of the patient population autografted in Suzhou was 32 years (4-63). The median follow up was 34 months (1-136). 59 patients (47 AML, 12 ALL) were autografted in CR1 and 11 in CR2/3. The majority of patients received a non TBI conditioning (87%) and PB as a source of stem cells (87%). For those autografted in CR1, the interval from CR1 to transplant was 203 days (75-404). At 2 years, the OS, LFS, RI and NRM were 73±7%, 52± 7%, 44±8% and 5±3% for AML and 76±14%, 67± 16%, 33±17% and 0% for ALL. 48 adult patients autografted in CR1 from Suzhou were matched with 89 patients from the ALWP EBMT registry. Matching factors were age ± 3 years, Cytogenetics and the number of induction courses to reach CR1 (1 course versus more than 1). Patients from Suzhou were transplanted more recently ; the interval from diagnosis to transplant was longer (242 days vs 172 days, p<0.0001) and TBI was less frequently used (p= 0.004 ). By univariate analyses the results were: Suzhou versus EBMT: OS 76 ± 6 vs 69 ±5 % (p= 0.33), LFS 55 ± 7 vs 60 ± 5% (p= 0.44), RI 40 ± 7 vs 33 ± 5% (p= 0.27), NRM 4 ± 3 vs 7 ± 3% (p = 0.47). By multivariate analyses adjusting for interval from diagnosis to transplant, year of transplant and use of TBI, there was no significant difference for OS (HR: 0.65, 95% CI: 0.19-2.19; p=0.49), LFS (HR: 0.97, 95% CI : 0.44-2.15; p=0.95), RI ( HR: 1.02, 95% CI : 0.46-2.28; p=0.96) .
No relevant conflicts of interest to declare.
Author notes
Asterisk with author names denotes non-ASH members.
