Abstract
Complexity has been associated with an adverse outcome in CLL (Kujawski et al. Blood 2008, 112:1993), and cytogenetic complexity often evolves as the patient progresses (Blood 2013, 121:1403). We sought to determine whether the degree of complexity as determined by cytogenetic analyses correlated with time-to-treatment (TTT) or with overall survival (OS) and its relationship with del(17p).
Patients (pts) with CLL who had cytogenetic analyses completed between December 2006 and May 2011 were identified from The Ohio State University Wexner Medical Center (OSU) databases. The first cytogenetic analysis evaluated within one year of diagnosis and prior to treatment was considered the diagnostic sample. All but one cytogenetic analyses were performed using CpG +/- pokeweed mitogen and phorbol 12-myristate 13-acetate stimulation. Cytogenetic methods and analyses were by standard laboratory protocols. Fluorescence in situ hybridization (FISH) was performed on all cases. For these analyses, probes for ATM (11q22.3) and TP53 (17p13.1) (Abbott Molecular, Des Plaines, IL) were used according to the manufacturer's recommendations. Complex karyotype (CK) was defined as ≥3 independent aberrations. Associations between CK and clinical or molecular characteristics were tested using Fisher's exact or Wilcoxon rank sum tests. TTT was calculated from the date of diagnosis until the date of treatment, censoring pts who had not started treatment at the date last seen. OS was calculated from the date of diagnosis until the date of death or last follow-up. Estimates of TTT and OS were calculated using the Kaplan-Meier method, and differences in survival distributions were compared using the log-rank test.
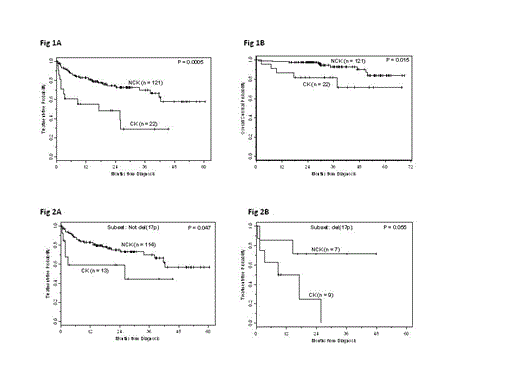
Diagnostic samples meeting the above criteria were identified in 143 pts. Median age was 58 (range 33-85), 38% were female, and 44% had Rai stage 0. Twenty pts (14%) had del(11q) and 16 (11%) had del(17p), 10 of which were identified by both FISH and karyotype, 4 by FISH alone, and 2 by karyotype alone. CK was detected in 22 pts (15%, 95% CI: 0.10-0.22). CK tended to be more prevalent in males (20% vs 7% in females, p=0.05) and in those with Rai stage ≥ I (20% vs 8% with Rai stage 0, p=0.06), but there was no significant association with age (p=0.98). Only 5 CK pts (23%) had del(11q) compared to 12% without CK (NCK; p=0.20). CK was strongly associated with del(17p), where 41% of CK pts harbored this typically high-risk aberration versus only 6% in NCK pts (p<0.0001).
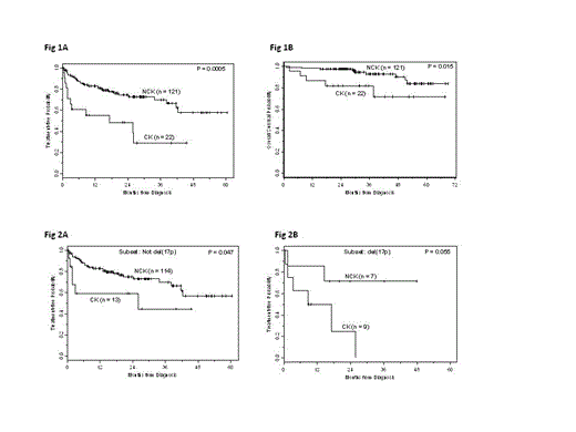
TTT was significantly shorter in pts with CK compared to NCK (p=0.0005), with 12 mos estimates of 55% (95%CI=0.31-0.74) and 83% (95%CI=0.75-0.89), respectively (Figure 1A). In the subsets of pts with and without del(17p), the negative impact of CK persisted as shown in Figures 2A-B. In a proportional hazards model for TTT, CK remained significantly associated with shorter TTT independent of del(17p) and Rai stage (hazard ratio=2.20, 95%CI=1.03-4.71; p=0.04).
With a median follow-up of 32 months for OS, there have been only 14 events. Still, early deaths tended to occur more often in those with CK than NCK; five deaths occurred in the first 12 mos following diagnosis, 3 in the CK group (13.6%) and 2 in the NCK group (1.7%), and hence there was a significant difference in OS (p=0.015; Figure 1B). The limited information prevented meaningful comparisons between CK and NCK by del(17p) subgroups.
In summary, CK is indicative of both shorter TTT and OS. Although there is a strong correlation of del(17p) with CK, presence of CK appears to predict TTT independent of del(17p). Complexity should be evaluated in a larger, prospective series to further clarify its role in clinical outcome.


No relevant conflicts of interest to declare.
Author notes
Asterisk with author names denotes non-ASH members.