Abstract
Abstract 2262
Heparin-induced thrombocytopenia (HIT) is a complication of heparin therapy leading to platelet activation, thrombocytopenia and potentially thrombosis. Upon suspicion, current guidelines recommend heparin cessation and switching to a non-heparin anticoagulant such as argatroban or danaparoid. Fondaparinux could be potentially effective but information supporting its use is limited.
We retrospectively evaluated 239 patients admitted to London Health Sciences Centre from January 10, 2004 to June 21, 2011 receiving a non-heparin anticoagulant (133 fondaparinux, 59 danaparoid, 47 argatroban) for suspected or confirmed HIT. Using logistic regression a propensity score was constructed based on age, gender, creatinine, 4T scores and comorbidities (assessed by the Charlson comorbidity index modified by Quan) and used to match 133 patients to 60 controls. Efficacy outcome was thrombosis or thrombosis-related death. Safety outcome was major bleeding. Group comparisons were done using χ2, Fisher's exact or Mann-Whitney tests. Survival analysis was conducted using the Kaplan-Meier method. Analyses were conducted in SPSS 20.0 and R 2.12.
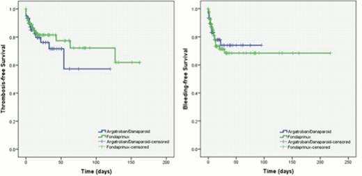
Population characteristics are shown in Table 1. Well-balanced groups were obtained after matching. There were no differences in the proportion of thrombotic or bleeding events between control and fondaparinux groups (Table 2). Subgroup analyses comparing fondaparinux versus argatroban or danaparoid and unmatched analyses showed similar results. Sensitivity analysis stratified by propensity score quintiles showed no differences in either outcome. Survival analysis showed no differences in thrombosis or bleeding (Log-rank p = 0.415 and 0.779, respectively; Figure 1). Subgroup survival analysis for the 3 drugs independently found no difference in thrombotic events (Log-rank p=0.582) and a trend towards increased major bleeding in patients on argatroban (Log-rank p=0.068). In the fondaparinux group 60% of patients received prophylactic doses.
Population characteristics for all patients
| . | Argatroban . | Danaparoid . | Fondaparinux . | p-value . |
|---|---|---|---|---|
| Total Number of Patients | 47 | 59 | 133 | NA |
| Age (IQR) | 64 (51-74) | 72 (61-78) | 68 (61-78) | 0.050 |
| Male | 22 (46.8%) | 28 (47.5%) | 64 (48.1%) | 0.987 |
| Creatinine (IQR) | 189 (115-286) | 107 (72-229) | 90 (62-125) | <0.001 |
| Length of Stay (IQR) | 36 (14-60) | 31 (15-55) | 22 (12-44) | 0.113 |
| Indication: VTE | 11 (23.4%) | 13 (22.0%) | 40 (30.1%) | 0.430 |
| Indication: Arterial Thrombosis | 4 (8.5%) | 3 (5.1%) | 10 (7.5%) | 0.764 |
| Indication: Mechanical Valve | 7 (14.9%) | 1 (1.7%) | 7 (5.3%) | 0.016 |
| 4T Score (6-8) | 18 (38.3%) | 20 (33.9%) | 35 (26.3%) | 0.080 |
| 4T Score (4-5) | 13 (27.7%) | 16 (27.1%) | 60 (45.1%) | |
| 4T Score (0-3) | 16 (34.0%) | 23 (39.0%) | 38 (28.6%) | |
| HIT Diagnosis | 15 (31.9%) | 22 (39.0%) | 44 (33.1%) | 0.677 |
| ELISA Equivocal | 5 (10.6%) | 8 (13.6%) | 14 (10.5%) | 0.957 |
| ELISA Negative | 26 (55.3%) | 31 (52.5%) | 69 (51.9%) | |
| ELISA Positive | 16 (34%) | 20 (33.9%) | 86 (35.8%) | |
| Charlson comorbidity Index (IQR) | 2 (0-3) | 1 (1-3) | 1 (0-2) | 0.93 |
| . | Argatroban . | Danaparoid . | Fondaparinux . | p-value . |
|---|---|---|---|---|
| Total Number of Patients | 47 | 59 | 133 | NA |
| Age (IQR) | 64 (51-74) | 72 (61-78) | 68 (61-78) | 0.050 |
| Male | 22 (46.8%) | 28 (47.5%) | 64 (48.1%) | 0.987 |
| Creatinine (IQR) | 189 (115-286) | 107 (72-229) | 90 (62-125) | <0.001 |
| Length of Stay (IQR) | 36 (14-60) | 31 (15-55) | 22 (12-44) | 0.113 |
| Indication: VTE | 11 (23.4%) | 13 (22.0%) | 40 (30.1%) | 0.430 |
| Indication: Arterial Thrombosis | 4 (8.5%) | 3 (5.1%) | 10 (7.5%) | 0.764 |
| Indication: Mechanical Valve | 7 (14.9%) | 1 (1.7%) | 7 (5.3%) | 0.016 |
| 4T Score (6-8) | 18 (38.3%) | 20 (33.9%) | 35 (26.3%) | 0.080 |
| 4T Score (4-5) | 13 (27.7%) | 16 (27.1%) | 60 (45.1%) | |
| 4T Score (0-3) | 16 (34.0%) | 23 (39.0%) | 38 (28.6%) | |
| HIT Diagnosis | 15 (31.9%) | 22 (39.0%) | 44 (33.1%) | 0.677 |
| ELISA Equivocal | 5 (10.6%) | 8 (13.6%) | 14 (10.5%) | 0.957 |
| ELISA Negative | 26 (55.3%) | 31 (52.5%) | 69 (51.9%) | |
| ELISA Positive | 16 (34%) | 20 (33.9%) | 86 (35.8%) | |
| Charlson comorbidity Index (IQR) | 2 (0-3) | 1 (1-3) | 1 (0-2) | 0.93 |
Thrombotic and bleeding events during Non-heparin anticoagulation in patients with suspected or confirmed Heparin-induced thrombocytopenia
| . | Thrombotic events . | Bleeding events . | ||||||
|---|---|---|---|---|---|---|---|---|
| . | Argatroban n (%) . | Danaparoid n (%) . | Fondaparinux n (%) . | p-value . | Argatroban n (%) . | Danaparoid n (%) . | Fondaparinux n (%) . | p-value . |
| Unmatched cohort | 10 (21.3%) | 11 (18.6%) | 22 (16.5%) | 0.759 | 16 (34.0%) | 11 (18.6%) | 28 (21.1%) | 0.125 |
| Matched cohort | 5 (25%) | 8 (20%) | 22 (16.5%) | 0.620 | 7 (35%) | 5 (12.5%) | 28 (21.1%) | 0.126 |
| Matched cohort pooled | 13 (21.7%) | 22 (16.5%) | 0.392 | 12 (20%) | 28 (21.1%) | 0.867 | ||
| . | Thrombotic events . | Bleeding events . | ||||||
|---|---|---|---|---|---|---|---|---|
| . | Argatroban n (%) . | Danaparoid n (%) . | Fondaparinux n (%) . | p-value . | Argatroban n (%) . | Danaparoid n (%) . | Fondaparinux n (%) . | p-value . |
| Unmatched cohort | 10 (21.3%) | 11 (18.6%) | 22 (16.5%) | 0.759 | 16 (34.0%) | 11 (18.6%) | 28 (21.1%) | 0.125 |
| Matched cohort | 5 (25%) | 8 (20%) | 22 (16.5%) | 0.620 | 7 (35%) | 5 (12.5%) | 28 (21.1%) | 0.126 |
| Matched cohort pooled | 13 (21.7%) | 22 (16.5%) | 0.392 | 12 (20%) | 28 (21.1%) | 0.867 | ||
Kaplan-Meier survival curves for thrombosis and bleeding in patients receiving non-heparin anticoagulants for suspected or confirmed heparin induced thrombocytopenia.
Kaplan-Meier survival curves for thrombosis and bleeding in patients receiving non-heparin anticoagulants for suspected or confirmed heparin induced thrombocytopenia.
Fondaparinux has similar effectiveness and safety as argatroban and danaparoid in patients with suspected HIT. Prophylactic fondaparinux doses seem to be effective if no indication for full anticoagulation exists.
Off Label Use: Fondaparinux as a treatment option in heparin-induced thrombocytopenia. Lazo-Langner:Pfizer: Honoraria; LeoPharma: Honoraria.
Author notes
Asterisk with author names denotes non-ASH members.
