Abstract
Abstract 2165
Few AML studies report data on AML patients (pts) with extramedullary hematopoiesis. While AML pts diagnosed with an isolated myeloid sarcoma (MS) purportedly have a better outcome than those with AML without MS, it is unknown whether these outcomes differed for pts diagnosed with MS with or without bone marrow involvement compared to AML without MS. We compared these groups, and also evaluated whether or not the diagnosis of MS increased the rate of tumor lysis syndrome (TLS), due to greater tumor volume.
We reviewed all AML pts newly diagnosed between 1994 and 2009 and treated with a cytarabine-based induction regimen. Pts with a diagnosis of MS with BM involvement (≥5% blasts) or without BM involvement (<5% blasts) were then identified and validated using the pathology database. A 1:2 case-control matching analysis was conducted, in which AML pts with MS with or without BM involvement were defined as cases, while AML pts without MS functioned as controls. Matching was based on age (± 5 years), induction regimen, WBC (± 1 log), AML etiology, diagnosis year (± 5 years), and cytogenetics (risk defined by CALGB 8461). Regression analyses further controlled for age, gender, presenting white blood cell count (WBC), and year of diagnosis. The rate of TLS was compared in univariate analyses.
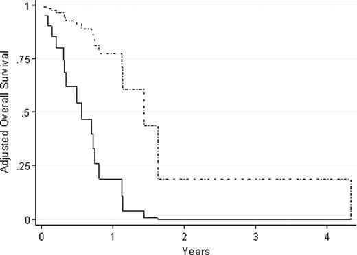
Of the 477 AML pts treated with a cytarabine-based induction regimen, 19 (4%) had MS, either with (n=12, 2.5%) or without (n=7, 1.5%) BM involvement. The mean age (+/−SD) of the entire cohort was 57.5 (14.5) years, and 58 years (24-80) for MS pts; within the entire cohort, 47% were female, 64% had de novo AML, mean WBC was 31k/ml, and 52% had good/intermediate risk cytogenetics, while for MS pts, 32% were female, 74% had de novo AML, mean WBC was 31k/ml, and 74% had good/intermediate cytogenetics. Comparing all MS cases to matched controls, baseline characteristics were similar, as expected. Outcomes were similar for the pooled case and control groups for CR rates (63.2% vs. 65.7%, p=.85) and median OS (0.7 vs. 0.8 years, p=.95). Incidence of tumor lysis syndrome was low in both groups (case 5%, control 3%, p=1.0). Focusing on comparing MS with BM involvement to matched controls, outcomes remained similar for CR rates (58% vs. 71%, p=.44), OS (.53 vs. 1.12 years, p=.4), and TLS (8% vs. 5%, p=1.0), both in univariate and regression analyses. Comparing MS pts without BM involvement to controls, however, CR rates were higher for MS patients (71% vs. 57%, OR 15.5, p=.15), as was median OS (1.14 vs. .64 years, HR .15, p=.027) in univariate and regression analyses. There were no cases of tumor lysis syndrome in either group.
AML pts diagnosed with MS without BM involvement and treated with cytarabine-based induction regimen have a superior overall survival to patients with usual presentation of AML treated with a similar regimen. There was no difference in outcome for AML pts with MS with BM involvement, compared to AML pts without MS. Patients with MS were not at significantly higher risk of TLS.
Cox model survival curve
MS without BM involvement=dotted line
AML=continuous line
HR=.15, p=.027
No relevant conflicts of interest to declare.
Author notes
Asterisk with author names denotes non-ASH members.
