Abstract
Congenital dyserythropoietic anemia (CDA) is a rare group of red blood cell disorders characterized by ineffective erythropoiesis and increased iron absorption. To determine whether growth differentation factor 15 (GDF15) hyper-expression is associated with the ineffective erythropoiesis and iron-loading complications of CDA type I (CDA I), GDF15 levels and other markers of erythropoiesis and iron overload were studied in blood from 17 CDA I patients. Significantly higher levels of GDF15 were detected among the CDA I patients (10 239 ± 3049 pg/mL) compared with healthy volunteers (269 ± 238 pg/mL). In addition, GDF15 correlated significantly with several erythropoietic and iron parameters including Hepcidin-25, Ferritin, and Hepcidin-25/Ferritin ratios. These novel results suggest that CDA I patients express very high levels of serum GDF15, and that GDF15 contributes to the inappropriate suppression of hepcidin with subsequent secondary hemochromatosis.
Introduction
Ineffective erythropioesis in thalassemia is characterized by increased iron absorption mediated largely by down-regulation of hepcidin, the key regulator of iron hemostasis.1 Iron overload in thalassemia patients may result from inhibition of hepcidin by several mechanisms including high levels of growth differentiation factor 15 (GDF15, also named PLAB, PDF, and MIC1), a member of the transforming growth factor-β superfamily of cytokines. GDF15 suppressed hepcidin mRNA in primary human hepatocytes while depletion of GDF15 reversed hepcidin suppression ex vivo.2
Congenital dyserythropoietic anemia (CDA) is a rare group of red blood cell disorders characterized by ineffective erythropoiesis, increased iron absorption with secondary hemochromatosis and pathognomonic cytopathology of nucleated RBC in bone marrow.3 CDA type I (CDA I) is an autosomal recessive subtype with moderate to severe macrocytic anemia, binuclearity, internuclear chromatin bridges, and spongy heterchromatin of late erythroblasts.3,4 The disease has been described sporadically worldwide as well as in genetic isolates, including Israeli Bedouins.5 The gene mutated in the majority of CDA I patients (CDAN1) was cloned6 but the pathogenesis of the disease and the role of the encoded protein codanin-1 are still unknown. Most patients although transfusion-independent develop iron overload;3,4 however, the details of iron overload regulation in this disease have not been extensively studied, with hepcidin levels (urinary) determined previously in only 2 patients.7
To determine whether the elevation in serum GDF15 is unique for thalassemia or more generally associated with ineffective erythropoiesis and associated iron loading, we determined the GDF15 levels as well as other markers of erythropoiesis and iron overload (soluble transferrin receptor [sTfR], erythropoietin [EPO], ferritin, hepcidin) in patients with CDA I.
Methods
Patients
Seventeen Israeli Bedouins with CDA I followed at the Hematology Clinic in Soroka Medical Center were studied. Ten healthy donors (including 5 Bedouins) were studied for comparison. The diagnosis of CDA I was based on macrocytic anemia with typical features of bone marrow erythroblasts on light and electron microscopy. The CDA I diagnosis was confirmed in each patient by the presence of the Bedouin CDAN1 founder mutation (Arg1042Trp).6 The study was approved by the human rights committee at the Soroka Medical Center, and informed consent was obtained from both patients and controls in accordance with the Declaration of Helsinki.
Methods
GDF15 levels were measured with DuoSet (R&D Systems, Minneapolis, MN) enzyme-linked imminosorbent assay for human GDF15 following the manufacturer's protocol. Serum ferritin, sTfR, and serum EPO levels were determined as previously described.8 In the transfusion-dependent patient, blood was assayed 4 weeks after transfusion. Serum hepcidin measurements were performed in April 2008 by use of weak cation exchange chromatography before mass spectrometry, exploiting the hepcidin-25 analog hepcidin-24 as internal standard.9
Statistical significance was calculated by Student t test. Iron parameter correlations were calculated using the Spearman correlation. A P value of less than .05 was considered significant. An r value represents the Spearman rank-correlation coefficient.
Results and discussion
To evaluate a possible role for GDF15 in secondary hemochromatosis among CDA I patients, we first measured markers of erythropoiesis and iron overload in 17 Israeli Bedouin subjects, including 7 women. Clinical data are summarized in Table S1 (available on the Blood website; see the Supplemental Materials link at the top of the online article). All subjects carried the CDAN1 founder mutation,6 and it has been previously shown that their clinical picture is similar to that of sporadic patients with CDA I.10,11 All of the patients studied were young adults with a mean age of 29 years. Two patients previously underwent splenectomy, and 1 patient is currently transfusion-dependent. Three patients have received iron chelation therapy for approximately 1 year. For comparison, 10 healthy volunteers (HV) were studied.
Initial comparisons were made between the healthy volunteers and CDA I subjects. The mean level of GDF15 in CDA I patients was significantly elevated: 10 239 plus or minus 3049 pg/mL (range, 5530-17 008) compared with 269 plus or minus 238 pg/mL in healthy controls (P = 1.5 × 10−10; Figure 1A). Even though the GDF15 levels in CDA I patients were elevated compared with the healthy volunteers, they did not reach the high levels detected among patients with β-thalassemia (mean 66 000 ± 9600 pg/mL).2 The levels of GDF15 were the highest in the splenectomized patients (11 750 and 17 008 pg/mL, respectively; Table S1). Further study will be needed to determine whether the higher levels of GDF15 detected in the splenectomized patients were due to the lack of splenic function versus the severity of the underlying disease.
GDF15, EPO, and sTfR levels in healthy controls and congenital dyserythropoietic anemia (CDA) I patients. Serum concentrations of (A) GDF15, (B) EPO, and (C) sTfR from healthy volunteers (HV) and patients with CDA I. Mean values (bars) and levels for individual volunteers (○) are shown. *P < .05.
GDF15, EPO, and sTfR levels in healthy controls and congenital dyserythropoietic anemia (CDA) I patients. Serum concentrations of (A) GDF15, (B) EPO, and (C) sTfR from healthy volunteers (HV) and patients with CDA I. Mean values (bars) and levels for individual volunteers (○) are shown. *P < .05.
Consistent with a previous study of dyserythropoietic anemia patients,12 significantly higher levels of serum erythropoietin were detected among the CDA I population (EPO; CDA I, 118 ± 59 IU/dL; HV, 2.0 ± 1.5 IU/dL, P = 2.3 × 10−7; Figure 1B). Soluble transferrin receptor levels were also elevated (sTfR; CDA I, 86.4 ± 14.0 nmol/L; HV, 21.4 ± 6.2 nmol/L, P = 7.4 × 10−15; Figure 1C). The significant increases in GDF15,2 EPO,13 and sTfR14 were of particular interest because all 3 parameters were previously associated with suppression of hepcidin in iron-loading thalassemia syndromes.
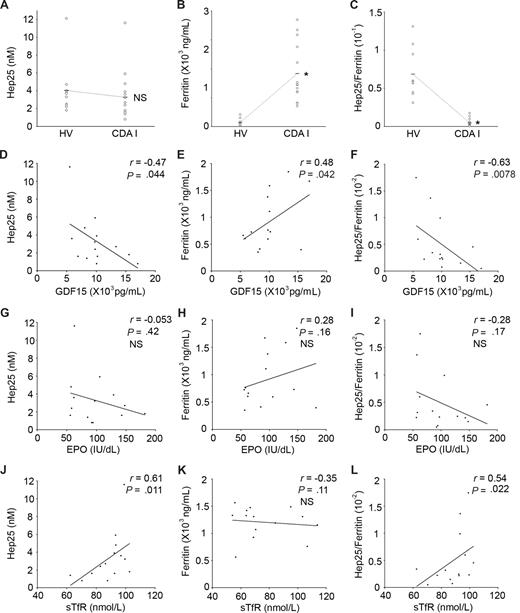
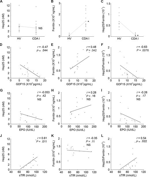
Hepcidin9 and ferritin were also studied in the HV and CDA I samples. CDA I patients 12, 13, and 14 (Table S1) had previously received more than 25 units of transfused blood and were excluded from these analyses. In a previous study of 2 CDA I patients, hepcidin was not detected in their urine.7 Serum hepcidin (Hep25) was detected in all CDA I patients in this study (mean, 3.3 ± 2.8 nM). While the levels of hepcidin were generally lower than those in HV (mean, 4.1 ± 3.0 nM), the lower level of hepcidin was subtle and did not reach statistical significance (Figure 2A). Secondary iron overload was demonstrated by the high serum ferritin levels (CDA I, 916 ± 507 ng/mL; HV, 72 ± 60 ng/mL, P = 1.4 × 10−5; Figure 2B). Hence, the significant reduction in the hepcidin to ferritin ratio (Figure 2C, Hep25/Ferritin; CDA I, 0.0050 ± 0.0051; HV, 0.069 ± 0.032, P = 6.5 × 10−5) primarily reflected increased iron stores.15
Hep25, Ferritin, and Hep25/Ferritin levels and correlations among GDF15, EPO, and sTfR in CDA I patients. (A) Hep25, (B) Ferritin, and (C) Hep25/Ferritin levels in serum from healthy volunteers (HV) and patients with CDA I are shown as open circles with mean values (bars). *P < .05. Correlations of Hep25, Ferritin, and Hep25/Ferritin with (D-F) GDF15, (G-I) EPO, or (J-L) sTfR levels in CDA I patients are shown. Trend lines and statistical values (r and P) are included. NS indicates not significant.
Hep25, Ferritin, and Hep25/Ferritin levels and correlations among GDF15, EPO, and sTfR in CDA I patients. (A) Hep25, (B) Ferritin, and (C) Hep25/Ferritin levels in serum from healthy volunteers (HV) and patients with CDA I are shown as open circles with mean values (bars). *P < .05. Correlations of Hep25, Ferritin, and Hep25/Ferritin with (D-F) GDF15, (G-I) EPO, or (J-L) sTfR levels in CDA I patients are shown. Trend lines and statistical values (r and P) are included. NS indicates not significant.
Additional analyses were performed for Hep25 and Ferritin parameters including correlations with GDF15, sTfR, and EPO levels within the CDA I population (Figure 2D-L). No significant correlation was detected between serum Hep25 and ferritin levels in this population (Figure S1). Only GDF15 demonstrated significant inverse correlations with Hep25 and the Hep25/Ferritin ratio. A weaker correlation with EPO was identified. Unexpectedly, sTfR was positively correlated with Hep25 and the Hep25/Ferritin ratio, despite the prediction that sTfR may inhibit hepcidin.16 Analyses of 2 separate blood collections during the last 2 years additionally failed to show the predicted sTfR correlations with hemoglobin, GDF15, EPO, or ferritin (not shown). Like sTfR, in vivo murine models have not demonstrated that EPO or GDF15 directly suppress hepcidin. Disparate murine-human results may reflect differences in model systems, interspecies variation, or additional iron regulating mechanisms in both species.
Overall, these correlation studies support the notion that high levels of GDF15 in the CDA I patients contribute to their iron loading pathology. Although the precise molecular mechanism for dyserythropoiesis in CDA I is still obscure, apoptosis and cell-cycle arrest of erythroblasts were described previously.5 It is proposed here that apoptosis associated with ineffective erythropoiesis in humans provides the molecular trigger for the pathologic increases of GDF15 in both patient groups. While similarly high levels of GDF15 were not detected among a small group of myelodysplastic patients,2 larger studies are needed to determine the scope of GDF15 expression in other hematologic disorders. Because GDF15 hyper-expression occurs in unison with ineffective erythropoiesis and positively correlates with ferritin levels in adults, it is tenable that elevated serum GDF15 levels may precede the clinical complications of iron loading or splenomegaly. If this deduction is correct, then GDF15 measurement in infancy or childhood may be explored as a disease severity marker for development of preventative treatment strategies for CDA I children or others with ineffective erythropoiesis.
The online version of this article contains a data supplement.
The publication costs of this article were defrayed in part by page charge payment. Therefore, and solely to indicate this fact, this article is hereby marked “advertisement” in accordance with 18 USC section 1734.
Acknowledgments
We are indebted to Coby Laarakkers from D.W.S.'s laboratory for his help in determining hepcidin levels.
This research was supported (in part) by the Intramural Research Program of the NIH, NIDDK.
Authorship
Contribution: H.T. analyzed and interpreted data and drafted and revised the paper; H.S. analyzed and interpreted data and drafted the paper; G.P.-A. collected and interpreted data; M.Z. performed laboratory analysis and interpreted data; I.L. collected and interpreted data; D.W.S. performed laboratory analysis of hepcidin and helped with study design; and T.T. and J.L.M. conceived, designed, and revised the paper.
Conflict-of-interest disclosure: D.W.S. and Harold Tjalsma (Radbond University Nijmegen–Medical Center, Nijmegen, The Netherlands) steer the www.hepcidinanalysis.com initiative to serve the scientific community with quantitative time-of-flight mass spectrometry–based hepcidin measurements. All other authors declare no competing financial interests.
Correspondence: Professor H. Tamary, Department of Pediatric Hematology-Oncology, Schneider Children's Medical Center of Israel, Petah Tiqva 49202, Israel; e-mail: htamary@post.tau.ac.il.



