Abstract
Background: The paucity of prospective studies in strictly selected ET patients with long enough follow up has limited the development of prognostic models for survival, and hematological transformation (HT) to acute myeloid leukemia (AML), myelodysplastic syndrome (MDS) and myelofibrosis (MF). Indeed, ET is generally considered not to alter significantly life expectancy, and HT has been found in less than 5% of patients in prospective studies with less than 10 years of median follow-up.
Methods: 108 newly diagnosed consecutive ET patients were included in a prospective multicenter cohort study between 1979 and 1990, using hydroxyurea only as first-line cytoreductive treatment in high risk patients (66%). Decision of starting anti-aggregating agents was let free to the decision of the physician. Baseline characteristics included bone marrow biopsy and red cell mass measurement in all cases, and cytogenetics in 97 (90%) patients (abnormal in 13%), clearly excluding another type of myeloproliferative disorder. Data for individual patient, including documented HT and deaths, were collected at regular interval (at least once a year) and as far as December 2007.
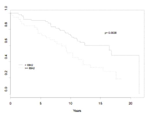
Results: Median follow-up was 22.3 years. Median age at inclusion was 62 yrs, and 58% patients were females. 56 (52%) patients had died, and median survival was 13.3 yrs (CI95%: 11.1 – 21.4). Nine baseline variables were significantly associated with poorer survival in univariate analysis: age above 60 years, male gender, history of arterial thrombosis, higher leukocyte and neutrophil (ANC) counts, higher platelet count, decreased hemoglobin and red cell mass, and abnormal karyotype. By multivariate analysis, only 3 remained significantly associated with shorter survival: age above 60 (HR: 2.8; 95%CI: 1.5–5; p=0.001), male gender (HR: 2.03; 95%CI: 1.2–3.5; p=0.01), and ANC higher than 6.8x109/l (HR: 2.03; 95%CI: 1.2–3.4; p=0.01) (Figure 1A). A total of 16 HT were observed, including 10 AML/MDS (including 1 preceded in 1 by a polycythemic phase, and 3 associated with documented MF at time of transformation), and 6 MF (1 preceded by a polycythemic phase). Cumulative incidence of HT was 11.7%, 14.9%, 20.5% at 10, 15, and 20 years, respectively (Figure 1B). Analysis of prognostic variables for the risk of HT only found higher leukocyte count (p=0.018), and ANC (p=0.019) as significant baseline adverse risk factors.
Conclusion: In this prospective cohort study of 108 newly diagnosed ET with 22.3 years of median follow-up, 16 patients evolved to AML/MDS or MF, a proportion clearly higher than reported in studies with less than 10 years of follow-up. Leukocytosis at diagnosis has been recently recognized as an important risk factor for thrombosis in ET and PV, and we have previously shown that leukocytosis at diagnosis was a significant risk factor for hematological transformation in PV (
Overall survival according to ANC at diagnosis
Cumulative incidence of HT (solid line) and deaths prior HT (dashed line)
Cumulative incidence of HT (solid line) and deaths prior HT (dashed line)
Disclosures: No relevant conflicts of interest to declare.
Author notes
Corresponding author

