Abstract
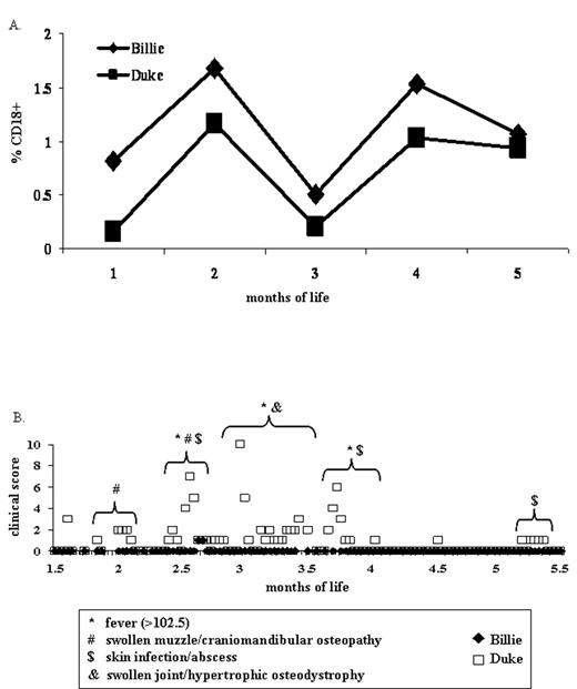
Juvenile dogs with the genetic disease leukocyte adhesion deficiency or CLAD, like children with leukocyte adhesion deficiency or LAD, experience recurrent life threatening bacterial infections due to the inability of leukocytes to migrate to sites of infection. Both CLAD and LAD result from defects in the leukocyte integrin CD18 molecule. We have used the CLAD model to develop new therapeutic approaches to children with LAD. Previous studies demonstrate that low levels of donor chimerism following matched littermate transplant reverses the disease phenotype in CLAD. However, most children with LAD lack a matched sibling donor. In utero hematopoietic stem cell transplantation (IUHCT) has been shown to result in low levels of allogeneic chimerism in the normal mouse model. In the current study we evaluate IUHCT in the CLAD model using a haploidentical paternal donor. A previously transplanted CLAD female was mated with a paternal CLAD carrier. IUHCT was performed at gestational day 50 by ultrasound guided intraperitoneal injection of 1.7E+08 paternal CD34+ enriched BM cells/kg estimated fetal weight reconstituted with nonenriched paternal BM to provide 2.4% CD3+ cells. Seven fetuses were injected. One pup was still born and one died on day 2 from maternal neglect. Flow cytometry for CD18 expression in PB, spleen, liver, thymus and BM from the two deceased pups confirmed the diagnosis of CLAD with donor cell engraftment (PB:1.3–3%, spleen:3.5–4%, liver:3.4–4.2%, thymus:1.7–4.4%, BM:3.3–21.3%). Histology demonstrated no evidence of GVHD. Of the 5 surviving pups, 3 are CLAD carriers (Louie, Miles, Ella) and 2 are CLAD offspring (Billie, Duke). Currently all 5 pups are alive at 5 months of age. Engraftment analysis in those in which it is possible by CD18 expression (Billie and Duke) or the presence of the Y chromosome (Billie and Ella) demonstrates donor cells in all analyzable pups at 5 months. The PB levels of CD18+ donor cells in CLAD offspring are low but stable and contribute to multiple lineages (Fig 1A). Clinically, Billie and Duke are alive and active at 5 months compared to historical controls with 4 and 6 month mortalities of 75% and 100%. Both have had mild leukocytosis (Billie:17.6–23.8K/uL, 21.4K/uL @ 5 months; Duke:23.4–39.5K/uL, 23.8K/uL @ 5 months) compared to historical CLAD controls of 50–100K/uL. Billie has had no clinical episodes consistent with the CLAD phenotype. Duke has experienced five CLAD phenotypic episodes which have resolved without the need for intensive care (Fig 1B). There was no evidence of GVHD in any injected animals. This study highlights the ability to safely achieve levels of haploidentical donor CD18+ leukocytes following IUHCT which markedly improve the lethal disease phenotype in a disease-specific large-animal model of a human genetic disease. It supports the potential therapeutic value of IUHCT for diseases, such as LAD, which can be successfully treated with low levels of hematopoietic chimerism.
Disclosure: No relevant conflicts of interest to declare.
Author notes
Corresponding author
