Abstract
Adenosine diphosphate (ADP), an important platelet agonist, acts through 2 G-protein-coupled receptors (GPCRs), P2Y1 and P2Y12, which signal through Gq and Gi, respectively. There is increasing evidence for cross-talk between signaling pathways downstream of GPCRs and here we demonstrate cross-talk between these 2 ADP receptors in human platelets. We show that P2Y12 contributes to platelet signaling by potentiating the P2Y1-induced calcium response. This potentiation is mediated by 2 mechanisms: inhibition of adenylate cyclase and activation of phosphatidylinositol 3 (PI 3)-kinase. Furthermore, the Src family kinase inhibitor PP1 selectively potentiates the contribution to the calcium response by P2Y12, although inhibition of adenylate cyclase by P2Y12 is unaffected. Using PP1 in combination with the inhibitor of PI 3-kinase LY294002, we show that Src negatively regulates the PI 3-kinase-mediated component of the P2Y12 calcium response. Finally, we were able to show that Src kinase is activated through P2Y1 but not P2Y12. Taken together, we present evidence for a complex signaling interplay between P2Y1 and P2Y12, where P2Y12 is able to positively regulate P2Y1 action and P2Y1 negatively regulates this action of P2Y12. It is likely that this interplay between receptors plays an important role in maintaining the delicate balance between platelet activation and inhibition during normal hemostasis. (Blood. 2004; 104:1745-1752)
Introduction
Platelets form an integral part of the physiologic response to vascular injury, where, together with the products of the clotting cascade, they form a hemostatic plug that serves to stem the flow of blood from the injured vessel. Under normal conditions there is a fine balance between platelet activation and inhibition, and any abnormal perturbation of this balance can result in serious disease states such as unstable angina, stroke and heart attack, or bleeding disorders. Adenosine diphosphate (ADP) is an important platelet activator and has been shown to be critical for a full platelet response at sites of vascular injury.1-5 ADP activates platelets through 2 purinergic G-protein-coupled receptors (GPCRs): P2Y1 and P2Y12. P2Y1 couples to Gαq, subsequent activation of phospholipase C (PLC), and increase in cytosolic calcium.2,6-8 P2Y1 has also been shown to couple to activation of p160 Rho kinase, and this, together with the increase in cytosolic calcium, is responsible for platelet shape change in response to ADP.7,9-14 It is accepted on the basis of P2Y1 knockout studies and pharmacologic blockade that this receptor is absolutely required for both the ADP-induced rise in intracellular calcium and shape change responses, as selective inhibition of P2Y1 results in abolition of these responses.2,7,8
The molecular identity of P2Y12 remained elusive until recently5 and was originally termed P2YAC, P2T, or P2CYC. Pharmacologic studies demonstrated that P2Y1 alone was unable to account for all of the effects of ADP on platelet activation,2,9,15 and these additional activities were attributed to the P2Y12 receptor, later shown to be coupled to inhibition of adenylate cyclase through Gαi.5,9 P2Y12 was shown to play an important role in the reversible aggregation response to ADP, as well as potentiating aggregation responses to other agonists.16-19 More recently it has been questioned whether P2Y12-mediated inhibition of adenylate cyclase can account for all of the observed events downstream of P2Y12,20-22 and it has been subsequently demonstrated that P2Y12 can also couple to activation of phosphatidylinositol 3-kinase (PI3K).19,23-25 This has been shown to be important in mediating the proaggregatory properties of P2Y12, although the precise functional roles of PI3K remain to be elucidated.23,24 One possible role may involve modulation of the P2Y1-dependent calcium response by P2Y12. Although pharmacologic blockade or genetic removal of P2Y1 can ablate the calcium response to ADP, there is conflicting evidence regarding the role of P2Y12 in ADP-mediated calcium responses. Sage et al26 and Fox et al27 have shown that P2Y12 may be involved in the contribution to a cytosolic calcium rise by ADP, whereas Daniel et al22 provide evidence that P2Y12 is not involved in this process.
Two emerging themes in GPCR signaling and regulation are (1) that GPCRs from different classes may regulate each other's activities through cross-talk mechanisms, and (2) that GPCRs can couple to signaling pathways distinct from the activation of G proteins, specifically those involving tyrosine kinases. Here we address the question of interplay between these important ADP receptors, P2Y1 and P2Y12, in human platelets using a variety of pharmacologic approaches. We were able to show directly that P2Y12 modulates the P2Y1-mediated calcium response through 2 of its signaling pathways: activation of PI3K and inhibition of adenylate cyclase. In turn, we show that P2Y1 feeds back negatively upon the PI3K component of this response and that this feedback is mediated through a novel activation of Src kinase. We hypothesize that this reciprocal receptor regulation may provide a means by which the delicate balance between resting and activated platelet states is maintained.
Materials and methods
Materials
Monoclonal anti-Src antibody was from Upstate Biotechnology (Milton Keynes, United Kingdom). Polyclonal rabbit anti-Src antibody was from Santa Cruz Biotechnology (Santa Cruz, CA). Phospho-specific antibodies anti-Src (Tyr416) and anti-protein kinase B (anti-PKB; Thr308) were from Cell Signaling Technologies (New England Biolabs, Hitchin United Kingdom). Src family kinase inhibitor PP1 was from Alexis Corp (Nottingham, United Kingdom). The broad-spectrum phosphodiesterase inhibitor 3-isobutyl-1-methylxanthine (IBMX), inactive PP1 analog PP3, and Raytide peptide were from Calbiochem (La Jolla, CA). Fura 2-am, adenosine 3′5′ diphosphate (A3P5P), apyrase, forskolin, SQ22536, and bisaminophenoxyethane tetraacetic acid-acetoxymethyl ester (BAPTA-am) were from Sigma (Poole, United Kingdom). The P2Y12 antagonist ARC69931MX was a generous gift from AstraZeneca (Alderley Park, United Kingdom). The 2MeSAMP (2-methylthio-adenosine monophosphate [AMP]) was a kind gift from Dr Pamela Conley (Portola Pharmaceuticals, South San Francisco, CA). The γ-[32P]-adenosine triphosphate (ATP) was from Amersham (Amersham, United Kingdom).
Preparation and stimulation of human platelets
Human blood was drawn under informed consent from healthy, drug-free volunteers on the day of the experiment under ethical approval from the Local Research Ethics Committee, United Bristol Healthcare Trust. Acid citrate dextrose (ACD; 120 mM sodium citrate, 110 mM glucose, 80 mM citric acid, used at 1:7 vol/vol) was used as anticoagulant. Platelet-rich plasma (PRP) was prepared by centrifugation at 200g for 17 minutes, and platelets were then isolated by centrifugation for 10 minutes at 400g in the presence of 0.02 units/mL apyrase and prostaglandin E1 (PGE1; 140 nM) for all assays other than measurement of intracellular cyclic AMP (cAMP), or where otherwise indicated, where PGE1 was omitted. The pellet was resuspended to a density of 4 × 1011 platelets/mL in a modified Tyrode-HEPES (N-2-hydroxyethylpiperazine-N′-2-ethanesulfonic acid) buffer (145 mM NaCl, 2.9 mM KCl, 10 mM HEPES, 1 mM MgCl2, 5 mM glucose, pH 7.3). To this platelet suspension, 10 μM indomethacin was added as well as 0.02 units/mL apyrase to remove any leaked ADP, and a 30-minute resting period was allowed before stimulation. Stimulation of platelets was performed either in a fluorimeter for calcium measurements or in an aggregometer at 37°C, with continuous stirring at 800 rpm. For measurements of cAMP and Src activity, platelet responses were assessed in the presence of EGTA (ethyleneglycoltetraacetic acid; 1 mM) to inhibit aggregation responses.
Generation of 1321N1 astrocytoma cells stably expressing P2Y1
The 1321N1 human astrocytoma cells were maintained in Dulbecco modified Eagle medium (DMEM) supplemented with 10% fetal bovine serum, 100 units/mL penicillin G, and 100 μgmL-1 streptomycin sulfate at 37°C in a humidified atmosphere of 95% air, 5% CO2. pCMVneo containing P2Y1 was linearized before being mixed with Lipofectamine 2000 (Life Technologies, Paisley, United Kingdom) and incubated with plated cells according to the manufacturer's instructions. Briefly, 20 μg DNA was incubated with 20 units Xho and Xba. Linearized DNA was mixed with DMEM and Lipofectamine before it was added to cells in monolayer and left overnight. After 24 hours, medium was replaced with normal complete medium; after an additional day, the medium was supplemented with 400 μg/mL geneticin. Surviving colonies were expanded and cell lines expressing hemagglutinin acid (HA)-tagged P2Y1 receptor were isolated by immunofluorescent microscopy as previously described (Matharu et al28 data not shown). Receptor expression was assessed using a primary anti-HA monoclonal antibody (HA-11) and a goat antimouse fluorescein-conjugated secondary antibody.
Measurement of cytosolic calcium
Measurement of cytosolic calcium was performed as previously described.29 Briefly, 3 μM Fura 2-am was added to PRP and incubated at 30°C for 45 minutes in the presence of 10 μM indomethacin. Platelets were washed and resuspended in modified Tyrode buffer and stimulated at room temperature in the absence of EGTA. For experiments with 1321N1-P2Y1 cells, cells were grown on poly-l-lysine-coated plates to approximately 60% confluence. Cells were washed with Locke solution (154 mM NaCl, 5.6 mM KCL, 1.2 mM MgCl2, 2.2 mM CaCl2, 5 mM HEPES, 10 mM glucose, pH 7.4) and loaded with Fura 2-am (3 μM) at 37°C for 60 minutes. Cells were washed, removed by trypsinization, and resuspended in phosphate-buffered saline (PBS) in the presence of 0.02 units/mL apyrase. Cells were stimulated in suspension at room temperature. Fluorescence excitation was made at 340 nm and 380 nm, and emission at 510 nm was measured using a Hitachi F-4500 spectrofluorimeter (Hitachi, London, United Kingdom). Data are presented as the excitation fluorescence ratio (340:380 nm).
Electrophoresis of proteins and Western blotting
Following stimulation, platelets were lysed directly into an equal volume of 2 × Laemmli sample solvent and boiled for 5 minutes. Proteins were resolved by electrophoresis in 10% gradient sodium dodecyl sulfate-polyacrylamide gel electrophoresis (SDS-PAGE) gels. Samples were then transferred to polyvinylidene fluoride (PVDF) membranes using a Bio-Rad Trans-Blot SD semidry transfer cell (Hercules, CA), blocked with 10% bovine serum albumin, and incubated for 1 hour at room temperature with appropriate primary antibody (1 μg/mL). Membranes were then washed before incubation with appropriate secondary antibody followed by thorough washing. Bound peroxidase activity was detected using enhanced chemiluminescence (ECL; Pharmacia-Amersham, Cambridge, United Kingdom).
Src in vitro kinase assay
Src activity was assayed on kinase immunoprecipitated from basal or activated platelets. Reactions were stopped after 3-minute stimulations with agonist by lysis of platelets with an equal volume of 2 × NP-40 extraction buffer (2% Nonidet P40, 300 mM NaCl, 20 mM Tris, 1 mM phenylmethylsulphonyl fluoride, 10 mM EDTA [ethylenediaminetetraacetic acid], 2 mM Na3VO4, 10 μg/mL leupeptin, 10 μg/mL aprotinin, 1 μg/mL pepstatin, pH 7.3). Lysates were incubated with protein-A sepharose and 3 μg polyclonal rabbit anti-Src antibody overnight at 4°C. Beads were then washed and resuspended in 10 μL kinase assay (KA) buffer (5 mM MgCl2, 5 mM MnCl2, 100 mM NaCl, 10 μM ATP, 2 mM Na3VO4, 20 mM HEPES, pH 7.2), and 10 μg Raytide peptide was added to each sample. The reaction was started by addition of 10 μL ATP buffer (0.15 mM ATP, 30 mM MgCl2, and 200 μCi/mL [7.4 MBq/mL] γ-[32P]-ATP in KA buffer). After incubation at 30°C for 30 minutes, the reaction was terminated by addition of 10% phosphoric acid. Samples were applied to 3 × 3-cm squares of P81 ion exchange chromatography paper, extensively washed in 0.5% phosphoric acid, and washed in acetone. Papers were then dried and labeled Raytide was quantified by liquid scintillation counting.
Whole-cell cAMP accumulation
Platelet suspensions at 37°C, prepared as described above in “Preparation and stimulation of human platelets,” were pretreated for 5 minutes with a mixture of the phosphodiesterase inhibitor IBMX (1 mM) ± forskolin (1 μM) in the absence or presence of ADP (10 μM). Cyclic AMP accumulation was terminated by addition of ice-cold 100% trichloroacetic acid (TCA), and samples were left to lyse on ice for 1 to 2 hours. The resulting samples were spun at 4000g for 5 minutes, and the cAMP-containing supernatant was neutralized with 1 M NaOH and Tris-EDTA (TE) buffer (50 mM Tris-HCl, 4 mM EDTA, pH 7.4). Cyclic AMP levels were subsequently determined in each sample using a binding assay as previously described.30
Results
P2Y12 contributes to the ADP-induced calcium response
It is well established that the P2Y1 receptor expressed on human platelets couples to Gαq and is required for the calcium response to ADP.2,7 It is also becoming established that there is a significant degree of cross-talk and interplay between GPGRs and their signaling pathways; therefore, we were interested in investigating the possibility that P2Y12 may play a role in contributing to the ADP-induced calcium response. Figure 1A shows a representative calcium response to ADP (10 μM) and confirms the dependency of this response upon activation of P2Y1, as the selective antagonist of this receptor, A3P5P, completely abrogates the response. Interestingly however, the selective P2Y12 antagonist AR-C69931MX is also able to partially block the response. This effect of ARC69931MX could be replicated with another selective antagonist of P2Y12, 2-methylthio-AMP (2MeSAMP; Figure 1B). In order to demonstrate that these 2 antagonists had no effect upon P2Y1 receptors, 1321N1 astrocytoma cells, which express no endogenous P2 receptors,31-34 were stably transfected with P2Y1. Calcium responses in these cells were monitored in response to ADP, and there was no change in the peak response in the presence of either P2Y12 antagonist (Figure 1C).
P2Y12 potentiates the P2Y1-dependent calcium response. Fura 2-loaded platelets (A-B) or 1321N1 cells (C) were preincubated for 5 minutes with either AR-C69931MX (ARC; 1 μM), 2MeSAMP (10 μM), A3P5P (1 mM), or vehicle as control, as indicated. Cells were then stimulated with ADP (10 μM; arrow) and 340:380 fluorescence ratio was followed as shown (A-B). Traces shown are representative of at least 3 separate experiments. (C) Mean peak responses are represented relative to the control response to 10 μM ADP in the absence of P2Y12 receptor antagonists. Data shown are mean ± SEM (n = 3).
P2Y12 potentiates the P2Y1-dependent calcium response. Fura 2-loaded platelets (A-B) or 1321N1 cells (C) were preincubated for 5 minutes with either AR-C69931MX (ARC; 1 μM), 2MeSAMP (10 μM), A3P5P (1 mM), or vehicle as control, as indicated. Cells were then stimulated with ADP (10 μM; arrow) and 340:380 fluorescence ratio was followed as shown (A-B). Traces shown are representative of at least 3 separate experiments. (C) Mean peak responses are represented relative to the control response to 10 μM ADP in the absence of P2Y12 receptor antagonists. Data shown are mean ± SEM (n = 3).
In order to determine the maximal extent of inhibition of the calcium response by the P2Y12 blocker AR-C69931MX, a concentration-inhibition curve was determined. Increasing concentrations of the antagonist inhibited the ADP-induced calcium rise, which was maximally inhibited by 1 μM, although suppression of the calcium response was not complete, being reduced to between 40% and 50% of the maximal value (Figure 2A). This demonstrated that P2Y12 partially contributed to the calcium response elicited by ADP. This contribution was also demonstrated to be a potentiation of the maximal response to ADP rather than a synergistic parallel shift in the dose-response curve, since Figure 2B shows a drop in the maximal effect of ADP in the presence of AR-C69931MX (1 μM) with no significant change in EC50 to ADP (2.5 × 10-7 ± 1.0 × 10-7 in the absence of AR-C69931MX compared with 6.1 × 10-7 ± 2.0 × 10-7 in the presence of AR-C69931MX).
Concentration-dependent inhibition of calcium response by blockade of P2Y12 Fura 2-loaded platelets were incubated either in the presence of various concentrations of AR-C69931MX for 5 minutes (A) or with or without 1 μM AR-C69931MX for 5 minutes (B). Platelets were then stimulated with ADP (10 μM; A) or various concentrations of ADP (B), as shown. The peak rise in cytosolic calcium concentration was measured and plotted against log concentration of antagonist (A) or agonist (B). Data shown are mean ± SEM (n = 3).
Concentration-dependent inhibition of calcium response by blockade of P2Y12 Fura 2-loaded platelets were incubated either in the presence of various concentrations of AR-C69931MX for 5 minutes (A) or with or without 1 μM AR-C69931MX for 5 minutes (B). Platelets were then stimulated with ADP (10 μM; A) or various concentrations of ADP (B), as shown. The peak rise in cytosolic calcium concentration was measured and plotted against log concentration of antagonist (A) or agonist (B). Data shown are mean ± SEM (n = 3).
Submaximally effective A3P5P reveals a calcium response dependent upon P2Y12
Figure 3 shows a concentration-response relationship for the P2Y1-specific antagonist A3P5P. At a submaximal concentration of A3P5P (200 μM), where the calcium response to ADP was reduced to approximately 25% of the control response, addition of ARC69931MX (1 μM) was able to completely abolish the calcium response. Thus, at 200 μM A3P5P, the calcium response is dependent upon potentiation by P2Y12; therefore, this submaximal concentration of A3P5P provides a convenient means of studying the P2Y12-mediated contribution to the calcium response to ADP.
Addition of a submaximal concentration (200 μM) of A3P5P reveals a calcium response dependent upon P2Y12 activation. Fura 2-loaded platelets were preincubated with various concentrations of A3P5P with or without addition of AR-C69931MX (1 μM). Platelets were then stimulated with ADP (10 μM) and the peak rise in cytosolic calcium concentration was measured and plotted against log concentration of A3P5P as shown. Box indicates that ARC completely ablates in the presence of 200 μM A3P5P. Data shown are mean ± SEM (n = 3).
Addition of a submaximal concentration (200 μM) of A3P5P reveals a calcium response dependent upon P2Y12 activation. Fura 2-loaded platelets were preincubated with various concentrations of A3P5P with or without addition of AR-C69931MX (1 μM). Platelets were then stimulated with ADP (10 μM) and the peak rise in cytosolic calcium concentration was measured and plotted against log concentration of A3P5P as shown. Box indicates that ARC completely ablates in the presence of 200 μM A3P5P. Data shown are mean ± SEM (n = 3).
P2Y12 contributes to the calcium response to ADP through 2 mechanisms: activation of PI 3-kinase and reduction in cellular cAMP
Previous reports have shown that P2Y12 couples to PI3K and that this is important for ADP-dependent platelet aggregation.23,24 We have shown that both ADP and thrombin are able to induce phosphorylation of the kinase PKB on Thr308 using a phospho-peptide-specific antibody and that the PI3K antagonist LY294002 was able to completely abolish phosphorylation of PKB induced by ADP (Figure 4A). Threonine 308 is phosphorylated by the PI3K-dependent enzyme PDK1 (3-phosphoinositide-dependent protein kinase-1), demonstrating that both agonists were able to induce PI3K activation in agreement with previous reports.23,24 The mechanism by which the P2Y12-mediated activation of PI3K contributes to other ADP-mediated responses has not been clearly elucidated. Using the submaximal A3P5P approach described, we studied the P2Y12-dependent calcium response and noted that it was partially inhibited by LY294002, a PI3K-specific antagonist (Figure 4B-C). The calcium rise induced by ADP when LY294002 was added in conjunction with maximal AR-C69931MX, however, was no different than with AR-C69931MX alone (Figure 4C). These findings indicate that PI3K plays no role in mediating the P2Y1-induced calcium response but provides a significant component of the P2Y12-mediated contribution to the ADP-induced calcium rise.
P2Y12 component of the calcium response is mediated through PI 3-kinase and inhibition of cAMP. (A) Platelets were preincubated with LY294002 (LY; 10 μM) or vehicle as control for 25 minutes and stimulated with ADP (10 μM) or thrombin (0.1 U/mL) for 3 minutes, as indicated. Reactions were stopped by addition of an equal volume of Laemmli sample solvent, and proteins from whole-cell lysates (WCLs) were separated by SDS-PAGE and blotted using the phospho-peptide-specific anti-pThr308 PKB antibody. (B-C) Fura 2-loaded platelets were incubated for 25 minutes with or without LY294002 (10 μM), followed by incubation for 5 minutes with a submaximal concentration of A3P5P (200 μM; B-C) or AR-C69931MX (1 μM; B), as indicated. Platelets were then stimulated with ADP (10 μM), and 340:380-nm fluorescence ratios were plotted (B) or the peak rise in cytosolic calcium was calculated and represented as a bar graph (C). For panel B, data are representative of 3 separate experiments and for panel C, data shown are mean ± SEM (n = 3). (D) Platelets were pretreated for 5 minutes with AR-C69931MX and various concentrations of the adenylate cyclase inhibitor SQ22536 for 25 minutes. The peak rise in cytosolic calcium in response to ADP (10 μM) is plotted against log concentration of SQ22536. Data shown are mean ± SEM (n = 3).
P2Y12 component of the calcium response is mediated through PI 3-kinase and inhibition of cAMP. (A) Platelets were preincubated with LY294002 (LY; 10 μM) or vehicle as control for 25 minutes and stimulated with ADP (10 μM) or thrombin (0.1 U/mL) for 3 minutes, as indicated. Reactions were stopped by addition of an equal volume of Laemmli sample solvent, and proteins from whole-cell lysates (WCLs) were separated by SDS-PAGE and blotted using the phospho-peptide-specific anti-pThr308 PKB antibody. (B-C) Fura 2-loaded platelets were incubated for 25 minutes with or without LY294002 (10 μM), followed by incubation for 5 minutes with a submaximal concentration of A3P5P (200 μM; B-C) or AR-C69931MX (1 μM; B), as indicated. Platelets were then stimulated with ADP (10 μM), and 340:380-nm fluorescence ratios were plotted (B) or the peak rise in cytosolic calcium was calculated and represented as a bar graph (C). For panel B, data are representative of 3 separate experiments and for panel C, data shown are mean ± SEM (n = 3). (D) Platelets were pretreated for 5 minutes with AR-C69931MX and various concentrations of the adenylate cyclase inhibitor SQ22536 for 25 minutes. The peak rise in cytosolic calcium in response to ADP (10 μM) is plotted against log concentration of SQ22536. Data shown are mean ± SEM (n = 3).
We were interested in investigating the nature of the remaining component of the P2Y12-dependent calcium response, as the response was only partially attenuated by inhibition of PI3K. In the presence of a maximal concentration of AR-C69931MX, where activation of P2Y12 is fully blocked, ADP is not able to induce a reduction in cAMP. Figure 4D shows that in the presence of this inhibitor, the calcium response to ADP is inhibited by approximately 50% and that while the adenylate cyclase inhibitor SQ22536 added in addition to AR-C69931MX is able to partially restore the calcium response, it is unable to completely recover the response from inhibition of P2Y12. This demonstrates that the P2Y12-dependent calcium response involves inhibition of cAMP as well as an additional mechanism, which we show is mediated by PI3K.
P2Y12 contribution to the calcium response is potentiated by the Src kinase inhibitor PP1
GPCRs have been shown to couple to activation of tyrosine kinases,35-37 and indeed the ADP-induced aggregation response has been shown to partially depend upon Src kinase activity.38 It was therefore important to address whether Src kinases played a role in the ADP-induced calcium response. Figure 5A shows that inhibition of Src by the selective inhibitor PP1 has no effect upon the calcium to response to ADP alone. However, in the presence of submaximal A3P5P, where the response depends upon activation of P2Y12, the response is potentiated by PP1 but not the inactive analog PP3 (Figure 5A-B). Figure 5B shows that PP1 has no effect upon a P2Y1-mediated calcium signal (ie, in the presence of a maximal concentration of AR-C69931MX) and that the effect is dependent upon PI3K activity, as it is not observable in the presence of LY294002. These data suggest that Src kinases specifically inhibit the PI3K-mediated P2Y12-dependent signaling events but not P2Y1-mediated signaling.
Src kinase inhibitor PP1 potentiates the P2Y12 component of the ADP-induced calcium response. Washed platelets previously loaded for 45 minutes with Fura 2-AM (3 μM) were incubated for 25 minutes with either PP1 (20 μM) or PP3 (20 μM) and/or 5 minutes with AR-C69931MX (1 μM) or A3P5P (200 μM), as indicated. (A) A time course of response representative of 3 separate experiments is shown. (B) The peak rise in intracellular calcium elicited by ADP (10 μM) was measured and plotted for each condition as indicated. Data shown are mean ± SEM (n > 3).
Src kinase inhibitor PP1 potentiates the P2Y12 component of the ADP-induced calcium response. Washed platelets previously loaded for 45 minutes with Fura 2-AM (3 μM) were incubated for 25 minutes with either PP1 (20 μM) or PP3 (20 μM) and/or 5 minutes with AR-C69931MX (1 μM) or A3P5P (200 μM), as indicated. (A) A time course of response representative of 3 separate experiments is shown. (B) The peak rise in intracellular calcium elicited by ADP (10 μM) was measured and plotted for each condition as indicated. Data shown are mean ± SEM (n > 3).
Src kinase does not regulate P2Y12-mediated inhibition of adenylate cyclase
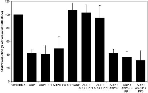
In order to further clarify the inhibition of P2Y12 by Src kinase, we decided to study a P2Y12-specific signaling event: inhibition of adenylate cyclase. Figure 6 shows that, as expected, the P2Y1-specific antagonist A3P5P had no effect on ADP-mediated inhibition of a forskolin-stimulated rise in cAMP, confirming the lack of role for P2Y1 in this event. We further showed the absence of a role for Src in this signaling pathway using PP1 and PP3, neither having any effect either alone or in conjunction with each of the receptor antagonists.
Src does not regulate P2Y12-mediated inhibition of cAMP but negatively feeds back on the PI3K component of the P2Y12-mediated contribution to the calcium response. Washed platelets were incubated with forskolin (10 μM) and IBMX (10 μM) for 60 minutes. Platelets were then incubated for 1 minute with EGTA (1 mM) and stimulated for 3 minutes with ADP (10 μM), where indicated. Some platelets were incubated prior to stimulation with either PP1 (20 μM) or PP3 (20 μM) for 25 minutes and/or A3P5P (1 mM) or AR-C69931MX (1 μM) for 5 minutes, as indicated. Reactions were stopped by addition of one-tenth volume 100% TCA and cAMP assayed as described in “Materials and methods.” The cAMP accumulation is expressed as a percentage of the accumulation for samples treated with forskolin/IBMX alone (mean ± SEM; n = 3).
Src does not regulate P2Y12-mediated inhibition of cAMP but negatively feeds back on the PI3K component of the P2Y12-mediated contribution to the calcium response. Washed platelets were incubated with forskolin (10 μM) and IBMX (10 μM) for 60 minutes. Platelets were then incubated for 1 minute with EGTA (1 mM) and stimulated for 3 minutes with ADP (10 μM), where indicated. Some platelets were incubated prior to stimulation with either PP1 (20 μM) or PP3 (20 μM) for 25 minutes and/or A3P5P (1 mM) or AR-C69931MX (1 μM) for 5 minutes, as indicated. Reactions were stopped by addition of one-tenth volume 100% TCA and cAMP assayed as described in “Materials and methods.” The cAMP accumulation is expressed as a percentage of the accumulation for samples treated with forskolin/IBMX alone (mean ± SEM; n = 3).
P2Y1 but not P2Y12 couples to activation of Src kinase
Although we showed that inhibition of Src kinases resulted in the selective potentiation of the PI3K component of the P2Y12-dependent contribution to the calcium response, it was important to demonstrate that Src is directly activated by ADP and to determine the receptor to which it is coupled. We chose to assess activation of Src in 2 ways: (1) identification of phosphorylation of Tyr416, which correlates with activity, and (2) direct assay of Src activity in vitro. Figure 7A shows that Src is activated directly by ADP, as phosphorylation of Tyr416 is unaffected by pretreatment of platelets with either EGTA (1 mM) to block αIIbβ3, or indomethacin (10 μM) to block thromboxane A2 generation, or both in combination where dense granule secretion is prevented.39-41 Collagen is used as a positive control in this assay and shows that the level of ADP-induced activation is equivalent to that induced by collagen. By in vitro kinase assay we were able to show that activation of Src lies selectively downstream of P2Y1, as it is prevented by pretreatment of platelets with the P2Y1-selective antagonist A3P5P but not by the P2Y12 antagonist AR-C69931MX (Figure 7B). Although the activity of Src stimulated by ADP in the presence of both P2Y1 and P2Y12 blockade (51.4% ± 5%) is slightly above basal (43.4% ± 5%), the difference is nonsignificant (Student t test, P > .05).
P2Y1, but not P2Y12, activates Src kinase. (A) Platelets were prepared with or without indomethacin pretreatment for 10 minutes as indicated. Platelets were then preincubated for 1 minute with or without EGTA (1 mM) and stimulated for a further 3 minutes with 10 μM ADP. Proteins were separated by SDS-PAGE and blotted with phospho-peptide-specific anti-Tyr416 Src antibody. IP indicates immunoprecipitate; IB, immunoblot; and coll, collagen. (B) Src was immunoprecipitated from basal platelets or platelets incubated for 1 minute with EGTA (1 mM) and stimulated for a further 3 minutes with 10 μM ADP. Some platelets had been preincubated for 5 minutes with A3P5P (1 mM), AR-C69931MX (1 μM), or both inhibitors, as indicated. Immunoprecipitates were incubated with the exogenous tyrosine kinase substrate, Raytide, and incorporation of 32P into Raytide was measured by liquid scintillation counting. Data shown are mean ± SEM (n = 3). (C) This diagram summarizes the data presented. Although P2Y1 is absolutely required for induction of a calcium response, P2Y12 is able to contribute to this response through 2 mechanisms: activation of PI3K and lowering of cellular cAMP levels. P2Y12 thus feeds forward on the P2Y1-mediated calcium response. On the other hand, P2Y1 activates Src kinase, which negatively regulates the PI3K component of the P2Y12-mediated calcium response. P2Y1 thus negatively feeds back on this part of the P2Y12-mediated response, although not upon the cAMP component of the P2Y12 signaling pathway. This demonstrates an intricate level of feedback cross-talk between these 2 receptors at the level of calcium signaling in platelets.
P2Y1, but not P2Y12, activates Src kinase. (A) Platelets were prepared with or without indomethacin pretreatment for 10 minutes as indicated. Platelets were then preincubated for 1 minute with or without EGTA (1 mM) and stimulated for a further 3 minutes with 10 μM ADP. Proteins were separated by SDS-PAGE and blotted with phospho-peptide-specific anti-Tyr416 Src antibody. IP indicates immunoprecipitate; IB, immunoblot; and coll, collagen. (B) Src was immunoprecipitated from basal platelets or platelets incubated for 1 minute with EGTA (1 mM) and stimulated for a further 3 minutes with 10 μM ADP. Some platelets had been preincubated for 5 minutes with A3P5P (1 mM), AR-C69931MX (1 μM), or both inhibitors, as indicated. Immunoprecipitates were incubated with the exogenous tyrosine kinase substrate, Raytide, and incorporation of 32P into Raytide was measured by liquid scintillation counting. Data shown are mean ± SEM (n = 3). (C) This diagram summarizes the data presented. Although P2Y1 is absolutely required for induction of a calcium response, P2Y12 is able to contribute to this response through 2 mechanisms: activation of PI3K and lowering of cellular cAMP levels. P2Y12 thus feeds forward on the P2Y1-mediated calcium response. On the other hand, P2Y1 activates Src kinase, which negatively regulates the PI3K component of the P2Y12-mediated calcium response. P2Y1 thus negatively feeds back on this part of the P2Y12-mediated response, although not upon the cAMP component of the P2Y12 signaling pathway. This demonstrates an intricate level of feedback cross-talk between these 2 receptors at the level of calcium signaling in platelets.
Discussion
Here we present evidence for cross-talk between the 2 platelet ADP receptors where P2Y12 receptor activation positively modulates the P2Y1-dependent calcium response, whereas P2Y1 negatively modulates P2Y12 through Src kinase activation. We show that modulation of P2Y1 by P2Y12 is mediated by both PI3K and inhibition of adenylate cyclase. In turn, a negative feedback pathway from P2Y1, mediated by Src tyrosine kinase, inhibits the PI3K-dependent signaling component. These findings are summarized in Figure 7C. Calcium signaling therefore represents a point of cross-talk between these 2 ADP receptors and a means of subtly modulating the response of platelets to this important agonist.
Although it has been shown that P2Y12 is able to potentiate the platelet aggregation response to activation of a variety of platelet receptors, including the Gαq-coupled P2Y1 and protease-activated receptor-1 (PAR-1), and the collagen receptor glycoprotein VI,16-19 the signaling mechanisms underlying this potentiation are not clearly elucidated and it is also not clear whether P2Y12 is able to potentiate platelet responses such as cytosolic calcium rise. In Figure 1 we have shown that the calcium response to ADP is absolutely dependent upon activation of P2Y1, whereas there is also a component that depends upon P2Y12. This effect is achieved by a reduction in the maximum calcium response (Figure 2B), suggesting that P2Y12 is able to potentiate the P2Y1-mediated calcium response. We developed an experimental protocol shown in Figure 3 that allowed us to examine the component of the ADP-induced calcium response that was dependent upon P2Y12. The hypothesis underlying this protocol was that as the P2Y1-dependent calcium response is potentiated by P2Y12 receptor activation, under conditions where P2Y1 receptors were substantially but not completely inhibited by using a submaximal concentration of A3P5P, the calcium response observed may be completely dependent upon contribution by P2Y12 and that this would provide a useful means to study a calcium response for which P2Y12 was predominantly responsible. This is indeed the case and, at a concentration of 200 μM A3P5P, the remaining calcium response to ADP was found to be fully inhibited by the P2Y12 antagonist AR-C69931MX. Therefore, this protocol provided a useful approach to dissecting the signaling mechanisms involved in mediating the P2Y12-dependent component of the calcium response.
There is conflicting evidence in the literature regarding the possible role of P2Y12 in mediating a calcium rise. Sage et al26 and recently Fox et al27 have shown that P2Y12 may contribute to a cytosolic calcium rise to ADP, whereas it has been accepted largely on the basis of work by Daniel et al22 that P2Y12 is not involved in this response. The discrepancy between these results is most likely due to the different platelet preparation conditions used. Daniel et al22 prepared platelets without the use of either PGE1 or prostacyclin, whereas, in contrast, both Sage et al26 and Fox et al27 deliberately used PGE1 in order to assess the role of cAMP in the inhibition of the calcium response and were therefore able to reveal a Gi-mediated potentiation of the calcium response by P2Y12. We too have prepared platelets in the presence of PGE1 and it was therefore likely that blockade of the calcium response by ARC69931MX may be partially due to inhibition of the P2Y12-mediated Gαi response on adenylate cyclase. We sought to confirm this using the adenylate cyclase inhibitor SQ22536. In Figure 4 we show that SQ22536 could partially rescue inhibition of the calcium rise by AR-C69931MX and conclude that part of the P2Y12-dependent calcium response is therefore mediated by modulation of platelet cAMP levels. The inhibition of adenylate cyclase is physiologically relevant because platelets are normally continuously exposed to endothelially derived prostacyclin, and therefore in vivo calcium levels are likely to be modulated by P2Y12 inhibition of adenylate cyclase. There is substantial evidence demonstrating an inhibitory role for cAMP through activation of PKA in the control of inositol phosphate (IP3)-mediated calcium release from stores and also for activation of plasma membrane calcium ATPases extruding calcium from the cytosol.42-45
However, the rescue of the response by SQ22536 was not complete, suggesting that P2Y12 may use an additional signaling mechanism to mediate its calcium response. It is clear that P2Y12 may couple to activation of PI3K, and we therefore hypothesized that this pathway may also contribute to the calcium response seen. In the presence of LY294002, the selective PI3K inhibitor, the calcium response to ADP was indeed reduced, suggesting a contribution to the calcium signal through PI3K. Several possible mechanisms may operate, including activation of PLCγ isoforms and Bruton tyrosine kinase (Btk), which are known to be phosphatidylinositol 3,4,5-trisphosphate (PIP3)-dependent mechanisms leading to a rise in cell calcium.46-48 The response proved to be mediated by P2Y12 and not P2Y1 because in the presence of full P2Y12 blockade, where only P2Y1 would be acting to induce a calcium rise, the response was no longer attenuated by LY294002. In contrast, using the submaximal A3P5P protocol it is clear that the P2Y12-dependent component is partially suppressed by LY294002. This is consistent with data from PI 3-kinase-γ knockout mice where it has been shown that P2Y12 but not P2Y1 couples to activation of this lipid kinase,23 contributing to the platelet aggregation response. These data indicate that there are 2 signaling pathways that mediate the P2Y12-dependent calcium response: PI3K and inhibition of cAMP levels through Gi. Interestingly, SQ22536 was able to recover the P2Y12-inhibited calcium response to a level comparable to the response when PI3K was inhibited, suggesting that these 2 pathways may be the only signaling mechanisms required by P2Y12 to mediate its calcium response.
Having demonstrated a mechanism by which P2Y12 signaling may modulate responses to P2Y1, we were interested in investigating whether any reciprocal cross-talk may occur whereby P2Y1 signaling feeds back to influence P2Y12-mediated events. There is increasing evidence that GPCRs can initiate signaling events involving nonreceptor tyrosine kinases such as Src kinase. For example, Luttrell et al35 demonstrated that the stimulation of β2 adrenoceptors leads to the activation of Src through the binding of arrestins and that this activates the mitogen-activated protein (MAP) kinase cascade. Recently Jin et al38 have shown that the ADP-induced aggregation response relies partially upon activation of Src kinases. Platelets express multiple members of the Src tyrosine kinase family, including Src itself, which is heavily expressed and is critically involved in signaling downstream of adhesion receptor activation.49,50 In Figure 5 we were able to demonstrate that inhibition of Src by PP1 causes potentiation of the P2Y12-dependent calcium response component, although there was no effect upon the calcium response mediated by P2Y1 alone. PP1 did not alter the response to ADP alone either but potentiated the calcium response only under conditions of submaximal inhibition of P2Y1 by A3P5P. The reason for this is likely to be because when pathways are maximally activated in the absence of receptor antagonists, there is no room for potentiation of the calcium response by PP1. However, when the calcium response has been diminished partially by application of a submaximal concentration of A3P5P, a potentiation of the response by the Src inhibitor PP1 is revealed. The response is likely to occur under physiologic conditions because the potency of ADP for P2Y1 and P2Y12 is not greatly different, being 1 to 2 μM,22,51 and therefore ADP will normally activate P2Y1 and P2Y12 simultaneously.
This indicated that Src kinases may negatively regulate P2Y12 signaling, and it was therefore important to address 2 questions: (1) Which component of P2Y12 signaling was negatively regulated by Src? (2) Which receptor (P2Y1 or P2Y12) couples to activation of Src?
We addressed the first question in 2 ways. In the first instance, Figure 6 demonstrates that Src does not regulate the inhibition of adenylate cyclase mediated by P2Y12, as PP1 has no effect upon this response. On the other hand, as shown in Figure 5B, we hypothesized that if the PI3K component of the P2Y12 calcium response was potentiated by PP1, then this potentiation should be abolished in the presence of the PI3K inhibitor LY294002. This was indeed the case, where potentiation of the signal induced by PP1 was ablated in the presence of LY294002, indicating that Src kinases may negatively regulate the PI3K component of the signal from P2Y12. We had shown in Figure 4A that ADP induces a weak phosphorylation of PKB on Thr308, confirming activation of PI3K. However, we were not able to demonstrate reliably whether PP1 could potentiate this response, due to the weak nature of the response to ADP. Therefore, we cannot conclude whether Src may directly affect PI 3-kinase activity. The precise nature of the step regulated by Src kinases is not clear, but, taking the evidence from Figures 5 and 6 together, it is likely not to directly regulate the P2Y12 receptor but may target a step on the pathway from Gβγ through PI3K to modulation of calcium release or entry. The nature of this modulation step is currently the focus of ongoing investigation in our laboratory.
The second of these questions was addressed by 2 approaches to assay Src activation state: (1) Western blot analysis of phosphorylation of Tyr416, which lies in the activation loop of Src; and (2) a direct in vitro approach to assay activity. Using the first approach, we demonstrated that ADP was able to directly activate Src with no requirement for αIIbβ3 activation, or thromboxane A2, or secreted mediators. However, it was important to use a more direct and quantifiable assay of Src activity to assess the role of P2Y1 or P2Y12 in activating Src. For these reasons we chose to assay Src activity directly in vitro using standard approaches, as we have used for other platelet tyrosine kinases.29,52 Figure 7B shows that the P2Y12 receptor antagonist AR-C69931MX has no effect upon Src activation by ADP, whereas P2Y1 blockade by A3P5P reduces Src activity substantially. Therefore, we conclude that ADP activates Src kinase downstream of P2Y1 but not P2Y12. This suggests that this negative signaling role of Src regulating the PI3K component of the P2Y12 calcium response represents a point of reciprocal cross-talk between P2Y1 and P2Y12 receptors. There are a number of ways in which P2Y1 may activate Src, although these are not investigated here. It has been shown that calcium-dependent tyrosine kinase (CADTK or Pyk2) can activate Src downstream of an increase in cytosolic calcium,53,54 and Src has been shown to be linked to GPCR activation through binding to arrestins.35
In conclusion, Figure 7C summarizes the findings that P2Y12 may regulate the P2Y1-activated calcium response to ADP through activation of PI3K and inhibition of adenylate cyclase. A reciprocal feedback pathway also operates whereby P2Y1 inhibits P2Y12 signaling through Src kinase. This negative signaling specifically affects the PI3K arm of the pathway from P2Y12 to its calcium response. Details of these mechanisms are currently under investigation, as it will be important to ascertain how P2Y1 couples to Src activation and how this may negatively regulate the P2Y12 signal.
Prepublished online as Blood First Edition Paper, June 8, 2004; DOI 10.1182/blood-2004-02-0534.
Supported by project grants from the Wellcome Trust (064785 and 069572) and the British Heart Foundation (PG/2000087). A.R.H. is supported by an A. J. Clark Studentship from the British Pharmacologic Society. S.J.M. is a British Heart Foundation Research Fellow.
The publication costs of this article were defrayed in part by page charge payment. Therefore, and solely to indicate this fact, this article is hereby marked “advertisement” in accordance with 18 U.S.C. section 1734.
The authors would like to thank AstraZeneca for the generous supply of AR-C69931MX. We are grateful to Dr Pamela Conley (Portola Pharmaceuticals Inc) for generously supplying P2Y1 cDNA and 2MeSAMP.













